leetcode 142. 环形链表 II
一、题目

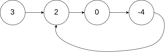
输入:head = [3,2,0,-4], pos = 1
输出:返回索引为 1 的链表节点
解释:链表中有一个环,其尾部连接到第二个节点。
二、解法
快慢指针。

slow跑了a+b,fast跑了a+b+n(b+c)(n大于等于1的正整数),则有 2(a+b)=a+b+n(b+c),化简得a=(n-1)(b+c)+c,可见,如果相遇后把slow重新放回head,和fast每次进一步,slow和fast将在环起点处相遇。
/**
* Definition for singly-linked list.
* class ListNode {
* int val;
* ListNode next;
* ListNode(int x) {
* val = x;
* next = null;
* }
* }
*/
public class Solution {
public ListNode detectCycle(ListNode head) {
ListNode slow=head,fast=head;
do{
if(fast==null||fast.next==null) return null;
fast=fast.next.next;
slow=slow.next;
}while(slow!=fast);
slow=head;
while(slow!=fast){
slow=slow.next;
fast=fast.next;
}
return fast;
}
}

浙公网安备 33010602011771号