二叉树层次遍历

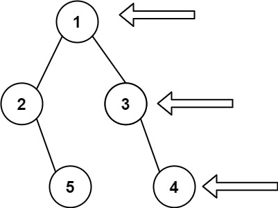
二叉树的右视图

给定一个二叉树的 根节点 root,想象自己站在它的右侧,按照从顶部到底部的顺序,返回从右侧所能看到的节点值。

示例 1:
image
输入: [1,2,3,null,5,null,4]
输出: [1,3,4]

示例 2:
输入: [1,null,3]
输出: [1,3]

示例 3:
输入: []
输出: []

提示:
二叉树的节点个数的范围是 [0,100]
-100 <= Node.val <= 100

这个就是二叉树的层次遍历,然后遍历到最右边的就输出就行

/**
 * Definition for a binary tree node.
 * struct TreeNode {
 *     int val;
 *     TreeNode *left;
 *     TreeNode *right;
 *     TreeNode() : val(0), left(nullptr), right(nullptr) {}
 *     TreeNode(int x) : val(x), left(nullptr), right(nullptr) {}
 *     TreeNode(int x, TreeNode *left, TreeNode *right) : val(x), left(left), right(right) {}
 * };
 */
class Solution {
public:
    vector<int> rightSideView(TreeNode* root) {
        TreeNode* r=root;
        vector<int> v;
        queue<TreeNode*>q;
        if(root) q.push(root);
        while(!q.empty()){
            int cnt=q.size();
            for(int i=0;i<cnt;i++){
                auto node =q.front();
                q.pop();
                if(node->left) q.push(node->left);
                if(node->right) q.push(node->right);
                if(i==cnt-1) v.push_back(node->val);
            }
        }
        return v;
    }
};

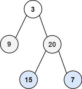
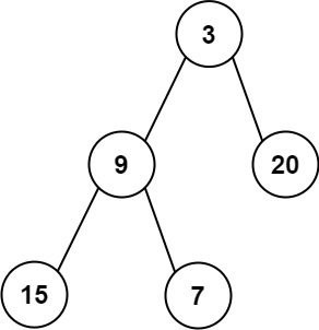
二叉树的层平均值

给定一个非空二叉树的根节点 root , 以数组的形式返回每一层节点的平均值。与实际答案相差 \(10^{-5}\) 以内的答案可以被接受。

示例 1:
image
输入:root = [3,9,20,null,null,15,7]
输出:[3.00000,14.50000,11.00000]
解释:第 0 层的平均值为 3,第 1 层的平均值为 14.5,第 2 层的平均值为 11 。
因此返回 [3, 14.5, 11] 。

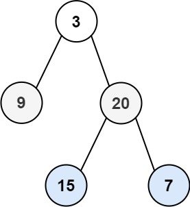
示例 2:
image
输入:root = [3,9,20,15,7]
输出:[3.00000,14.50000,11.00000]

提示:
树中节点数量在 [1, 104] 范围内
\(-2^{31} <= Node.val <= 2^{31} - 1\)

/**
 * Definition for a binary tree node.
 * struct TreeNode {
 *     int val;
 *     TreeNode *left;
 *     TreeNode *right;
 *     TreeNode() : val(0), left(nullptr), right(nullptr) {}
 *     TreeNode(int x) : val(x), left(nullptr), right(nullptr) {}
 *     TreeNode(int x, TreeNode *left, TreeNode *right) : val(x), left(left), right(right) {}
 * };
 */
class Solution {
public:
    vector<double> averageOfLevels(TreeNode* root) {
        TreeNode* r=root;
        vector<double> v;
        queue<TreeNode*>q;
        q.push(root);
        while(!q.empty()){
            int cnt=q.size();
            double sum=0;
            for(int i=0;i<cnt;i++){
                auto node =q.front();
                q.pop();
                if(node->left) q.push(node->left);
                if(node->right) q.push(node->right);
                sum+=node->val;
            }
            v.push_back(sum/(1.0*cnt));
        }
        return v;
    }
};

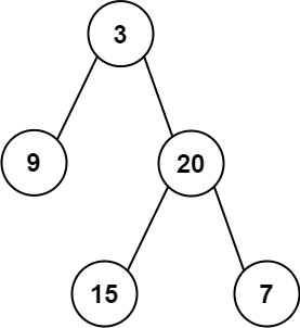
二叉树的层序遍历

给你二叉树的根节点 root ,返回其节点值的 层序遍历 。 (即逐层地,从左到右访问所有节点)。

示例 1:
image
输入:root = [3,9,20,null,null,15,7]
输出:[[3],[9,20],[15,7]]

示例 2:
输入:root = [1]
输出:[[1]]

示例 3:
输入:root = []
输出:[]

提示:

树中节点数目在范围 [0, 2000] 内
\(-1000 <= Node.val <= 1000\)

/**
 * Definition for a binary tree node.
 * struct TreeNode {
 *     int val;
 *     TreeNode *left;
 *     TreeNode *right;
 *     TreeNode() : val(0), left(nullptr), right(nullptr) {}
 *     TreeNode(int x) : val(x), left(nullptr), right(nullptr) {}
 *     TreeNode(int x, TreeNode *left, TreeNode *right) : val(x), left(left), right(right) {}
 * };
 */
class Solution {
public:
    vector<vector<int>> levelOrder(TreeNode* root) {
        queue<TreeNode*>q;
        q.push(root);
        vector<vector<int>>ans;
        if (!root) {
            return ans;
        }
        while(!q.empty()){
            int c=q.size();
            vector<int>tmp;
            for(int i=0;i<c;i++){
                TreeNode* node=q.front();
                q.pop();
                tmp.push_back(node->val);
                if(node->left){
                    q.push(node->left);
                }
                if(node->right){
                    q.push(node->right);
                }
            }
            ans.push_back(tmp);
        }
        return ans;
    }
};

二叉树的锯齿形层序遍历

给你二叉树的根节点 root ,返回其节点值的 锯齿形层序遍历.(即先从左往右,再从右往左进行下一层遍历,以此类推,层与层之间交替进行)。

示例 1:
image
输入:root = [3,9,20,null,null,15,7]
输出:[[3],[20,9],[15,7]]

示例 2:
输入:root = [1]
输出:[[1]]

示例 3:
输入:root = []
输出:[]

提示:
树中节点数目在范围 [0, 2000] 内
-100 <= Node.val <= 100

/**
 * Definition for a binary tree node.
 * struct TreeNode {
 *     int val;
 *     TreeNode *left;
 *     TreeNode *right;
 *     TreeNode() : val(0), left(nullptr), right(nullptr) {}
 *     TreeNode(int x) : val(x), left(nullptr), right(nullptr) {}
 *     TreeNode(int x, TreeNode *left, TreeNode *right) : val(x), left(left), right(right) {}
 * };
 */
class Solution {
public:
    vector<vector<int>> zigzagLevelOrder(TreeNode* root) {
        queue<TreeNode*>q;
        q.push(root);
        vector<vector<int>>ans;
        if (!root) {
            return ans;
        }
        int cnt=1;
        while(!q.empty()){
            int c=q.size();
            vector<int>tmp;
            for(int i=0;i<c;i++){
                TreeNode* node=q.front();
                q.pop();
                tmp.push_back(node->val);
                if(node->left) q.push(node->left);
                if(node->right) q.push(node->right);
            }
            if(cnt%2==0) reverse(tmp.begin(),tmp.end());
            cnt++;
            ans.push_back(tmp);
        }
        return ans;
    }
};
posted @ 2023-12-29 17:29  lipu123  阅读(39)  评论(0)    收藏  举报