浅谈元素化学
浅谈元素化学
引言
本文基于 B 站 UP 主 pain_shang 的化学课写作,可将其视为笔者的化学课笔记,其内容基本都出自课程,笔者进行了一些整理。
虽然笔者尽可能摘录、还原了所有课程内容,但是由于文字作为一种不得已的工具,所能承载的信息在所难免地无法传递所有视频的内容,所以笔者强烈建议先观看 B 站上的视频课程,再将本文作为一个复习的工具,学习效果应该更好。
本文是一篇关于高中元素化学的文章,阅读前要求读者掌握了化学基本理论的内容,不会可以观看 pain_shang 的化学基本理论课。
因为笔者水平有限,并且本文的写作有些仓促,而且全文由笔者一人完成,所以内容难免有疏漏错误,欢迎各位同学、老师联系我指正,并且如果文中有一些重要内容并没有覆盖,也可以联系我进行添加,希望大家一同集思广益,一同改善本文。
笔者创作本文的初衷是因为笔者在市面上并没有找到一本贴近目前考试要求并且能系统讲解目前元素化学知识的教辅,很多教材都很老,比如将 \(\ce{Al(OH)4-}\) 写作 \(\ce{AlO2-}\),而元素化学又强调积累,笔者为了自己的化学学习,便决定自己写点笔记,本着互联网精神,便将本文发布,笔者的期望是它能够成为一本深入浅出的高中化学的学习教材。
希望大家阅读本文能有所收获。
—— I_LOVE_MATH(林天辰)
第一章 氯气与次氯酸
一、氯气
1. 物理性质
- 色、味、态:常温常压下黄绿色,有刺激性气味的气体
- 溶解性:氯气 \(1:2\) 溶于水且与水反应;难溶于饱和食盐水(通过增大氯离子浓度使如下反应逆向移动);易溶于 \(\ce{CCl4}\) 和苯\[\ce{Cl2 + H2O <=> H+ + Cl- + HClO} \]
- 其他性质:氯气密度比空气大,易液化为液氯
2. 化学性质
- 酸性(广义)
- 与水反应\[\ce{Cl2 + H2O <=> H+ + Cl- + HClO} \]
- \(\ce{HClO}\) 为弱酸,是弱电解质\[\ce{HClO <=> H+ + ClO-} \]
- 新制氯水中所有的微粒:\(\ce{Cl2}\)、\(\ce{HClO}\)、\(\ce{H2O}\)、\(\ce{H+}\)、\(\ce{OH-}\)、\(\ce{Cl-}\)、\(\ce{ClO-}\)
- \(\ce{HClO}\) 见光会分解\[\ce{2HClO \xlongequal{光照} 2HCl + O2 ^} \]
- 氯水在光亮处久置后,溶液中的微粒:\(\ce{H2O}\)、\(\ce{H+}\)、\(\ce{OH-}\)、\(\ce{Cl-}\)
- 在密封、避光下能够短暂地保存氯水
- \(\ce{HClO}\) 为弱酸,是弱电解质
- 与 \(\ce{NaOH}\) 反应,制得 84 消毒液\[\ce{Cl2 + 2OH- \xlongequal{\quad} Cl- + ClO- + H2O} \]
-
可视为氯气先和水反应生成 \(\ce{HCl}\),\(\ce{HClO}\),然后和 \(\ce{OH-}\) 反应(最后写成等号,因为其能消耗 \(\ce{H+}\),使次氯酸电解的平衡正向移动)
-
84 消毒液要在空气中放一会才能生效
\[酸性\quad\ce{H2CO3 > HClO > HCO3-} \]\[碱性\quad\ce{HCO3- < ClO- < CO3^2-} \]\[\ce{CO2 + H2O + NaClO \xlongequal{\quad} NaHCO3 + HClO} \]
-
- 与 \(\ce{Ca(OH)2}\) 反应,制备漂白粉(用氯气和消石灰制备,而非澄清石灰水(成本太高),所以不能写成离子方程式)\[\ce{2Cl2 + 2Ca(OH)2 \xlongequal{\quad} CaCl2 + Ca(ClO)2 + 2H2O} \]
- 生效\[\ce{CO2 + H2O + Ca(ClO)2 \xlongequal{\quad} CaCO3 v + 2HClO} \]
-
发现 \(\ce{NaClO}\) 与 \(\ce{Ca(ClO)2}\) 与空气反应一个生成碳酸氢盐一个生成碳酸盐,给出如下解释:
我们有
\[\ce{CO2 + H2O + ClO- \xlongequal{\quad} HCO3- + HClO}\quad K = 15.3 \]\[\ce{ClO- + HCO3- <=> HClO + CO3^2-}\quad K = 1.6\times 10^{-3} \]那么此反应程度则很小
\[\ce{CO2 + H2O + 2ClO- <=> CO3^2- + 2HClO}\quad K = 2.4 \times 10^{-2} \]但是 \(\ce{Ca^2+}\) 与 \(\ce{CO3^{2-}}\) 生成沉淀的反应程度特别大
\[\ce{Ca^2+ + CO2^{2-} \xlongequal{\quad} CaCO3 v}\quad K = 3.6\times 10^8 \]于是加入 \(\ce{Ca^2+}\) 后,此反应便可以发生
\[\ce{CO2 + H2O + Ca(ClO)2 \xlongequal{\quad} CaCO3 v + 2HClO}\quad K = 8.8\times 10^6 \]定性地,我们也可以理解为 \(\ce{Ca^2+}\) 使 \(c(\ce{CO3^2-})\) 减小,使平衡正向移动,反应发生
-
- 漂白粉主要成分为 \(\ce{Ca(ClO)2}\)、\(\ce{CaCl2}\)、\(\ce{Ca(OH)2}\),有效成分为 \(\ce{Ca(ClO)2}\),通过物理或化学手段去除杂质后可得到主要为 \(\ce{Ca(ClO)2}\) 的飘粉精
- 生效
- 与水反应
- 氧化性\[\begin{array}{} \text{还原性} & \stackrel{-2}{\ce{S}} & \approx & \stackrel{+4}{\ce{S}} & > & \ce{I-} & > & \ce{Fe^{2+}} & > & \ce{Br-} & > & \ce{NO} & > & \ce{NO2} & > & \ce{Cl-} & > & \ce{Mn^{2+}} \\ \text{氧化性} & \ce{S} & \approx & \ce{SO4^{2-}} & < & \ce{I2} & < & \ce{Fe^{3+}} & < & \ce{Br2} & < & \text{稀}\ce{HNO3} & < & \text{浓}\ce{HNO3} & < & \ce{Cl2} & < & \ce{MnO4-} \end{array} \]
- 与金属单质反应
- 与钠反应(现象:钠在氯气里剧烈燃烧,产生大量的白烟,火焰呈黄色,放热)\[\ce{2Na + Cl2 \xlongequal{点燃} 2NaCl} \]
- 与镁反应(现象:剧烈地燃烧,生成白色的烟)\[\ce{Mg + Cl2 \xlongequal{点燃} MgCl2} \]
- 与铝反应(现象:剧烈地燃烧,生成白色的烟)\[\ce{2Al + 3Cl2 \xlongequal{点燃} 2AlCl3} \]
- 与铁反应(现象:铁丝在氯气里剧烈燃烧,瓶里充满棕褐色烟,加少量水后,溶液呈棕黄色)\[\ce{2Fe + 3Cl2 \xlongequal{点燃} 2FeCl3} \]
- 与铜反应(现象:红热的铜丝剧烈燃烧,瓶里充满棕黄色的烟,加少量水后,溶液呈蓝绿色)\[\ce{Cu + Cl2 \xlongequal{点燃} CuCl2} \]
- 与钠反应(现象:钠在氯气里剧烈燃烧,产生大量的白烟,火焰呈黄色,放热)
- 与非金属单质反应
-
与氢气反应(光照爆炸;点燃时,安静地燃烧,火焰呈苍白色,产生白雾,滴入石蕊试液后变红)
\[\ce{H2 + Cl2 \xlongequal{光照} 2HCl} \]\[\ce{H2 + Cl2 \xlongequal{点燃} 2HCl} \] -
与磷反应(产生白色烟雾)
\[\ce{2P + 3Cl2 \xlongequal{点燃} 2PCl3} \]\[\ce{2P + 5Cl2 \xlongequal{点燃} 2PCl5} \]
-
- 与金属单质反应
3. 氯气的制备
-
氯气的实验室制备
\[\ce{MnO2 + 4HCl(浓) \xlongequal{\,\triangle\,} MnCl2 + Cl2 ^ + 2H2O} \]- 原料:二氧化锰(\(\ce{MnO2}\),黑色粉末固体)、浓盐酸(质量分数约为 \(37\%\))
- 采用浓盐酸是因为稀盐酸浓度低,还原性不够,不能与二氧化锰反应,浓盐酸浓度高,能够增大还原性,可以发生反应
- 使用 \(1\,\mathrm{mol}\,\ce{MnO2}\) 和足量浓盐酸制得的氯气多于使用含 \(4\,\mathrm{mol}\,\ce{HCl}\) 的浓盐酸的足量 \(\ce{MnO2}\),因为浓盐酸会变稀盐酸
- 除杂:用饱和食盐水除去 \(\ce{Cl2}\) 中的 \(\ce{HCl}\)(不用水因为氯气会溶于水,会损失)
- 验满:湿润的淀粉 \(\ce{KI}\) 试纸在瓶口变蓝(\(\ce{Cl2}\) 的检验方法)
-
氯气的快速制法(固液常温)
- 将氯酸钾与浓盐酸混合\[\ce{KClO3 + 6HCl \xlongequal{\quad} KCl + 3Cl2 ^ + 3H2O} \]
- 将次氯酸钠与浓盐酸混合\[\ce{NaClO + 2HCl \xlongequal{\quad} NaCl + Cl2 ^ + H2O} \]
- 向高锰酸钾中加入浓盐酸\[\ce{2KMnO4 + 16HCl \xlongequal{\quad} 2KCl + 5Cl2 ^ + 2MnCl2 + 8H2O} \]
- 将氯酸钾与浓盐酸混合
-
氯气的工业制法(电解饱和食盐水)
\[\ce{2NaCl + 2H2O \xlongequal{通电} 2NaOH + Cl2 ^ + H2 ^} \]- 阳极(氧化反应)\[\ce{2Cl- - 2e- \xlongequal{\quad} Cl2} \]
- 电极材料采用石墨,不能用铁,因为铁会被氧化
- 阴极(还原反应)\[\ce{2H2O + 2e- \xlongequal{\quad} H2 + 2OH-} \]
- 由 \(\ce{2H+ + 2e- \xlongequal{\quad} H2}\) 和 \(\ce{H2O <=> H+ + OH-}\) 叠加
- 电极材料可以用石墨或铁
- 电流流向\[\ce{正 -> 阳 -> 液 -> 阴 -> 负}\quad(回路) \]
- 电子流向\[\ce{负 -> 阳\quad 断\quad 阳 -> 正} \]
- 离子移动方向\[\ce{Cl- -> 阳\quad Na+ -> 阴} \]
- 阳极(氧化反应)
- 氯碱工业
-
食盐由盐田法(海水晒盐)得到
-
粗盐不能直接电解,阴极会变浑,因为有 \(\ce{Mg^2+}\) 和 \(\ce{Cu^2+}\) 与 \(\ce{OH-}\) 反应生成沉淀
-
粗盐提纯
-
氯碱工业
- 阳离子交换膜只允许阳离子通过不允许阴离子通过,使得得到的 \(\ce{NaOH}\) 中不含 \(\ce{NaCl}\)
-
二、次氯酸
1. 化学性质
- 氧化性
- 酸性条件下 \(\ce{HClO}\) 与 \(\ce{FeSO4}\) 的反应(还原产物为 \(\ce{Cl-}\))\[\ce{2Fe^2+ + HClO + H+ \xlongequal{\quad} 2Fe^3+ + Cl- + H2O} \]
- 84 消毒液和老式洁厕灵(成分为 \(5\%\sim 10\%\) 的盐酸)混用\[\ce{ClO- + Cl- + 2H+ \xlongequal{\quad} Cl2 ^ + H2O} \]
- 酸性条件下 \(\ce{HClO}\) 与 \(\ce{FeSO4}\) 的反应(还原产物为 \(\ce{Cl-}\))
- 其他性质
-
漂白性
- 氯气没有漂白性(氯气不能使干燥有色布条褪色),次氯酸有漂白性(氯气能使湿润有色布条褪色)
-
不稳定性
\[\ce{2HClO \xlongequal{光照} 2HCl + O2 ^} \]\[\ce{3HClO \xlongequal{\,\triangle\,} 2HCl + HClO3} \]- 次氯酸盐也有类似性质
- 次氯酸钠固体分解\[\ce{2NaClO \xlongequal{光照} 2NaCl + O2 ^} \]
- 次氯酸钠溶液分解\[\ce{3NaClO \xlongequal{\,\triangle\,} 2NaCl + NaClO3} \]
- 次氯酸钠固体分解
- 制备 84 消毒液过程中可能会有如下副反应(因此制备过程中最好将反应体系放入冰水浴)\[\ce{3Cl2 + 6OH- \xlongequal{\,\triangle\,} 5Cl- + ClO3- + 3H2O} \]
- 次氯酸盐也有类似性质
-
第二章 氯化氢
一、氯化氢
1. 物理性质
- 色、味、态:常温常压下、有刺激性气味的气体
- 溶解性:\(1:500\) 溶于水(极易溶),水溶液称为盐酸;难溶于 \(\ce{CCl4}\) 和苯(氯化氢中混有氯气,通入 \(\ce{CCl4}\) 或苯)
- 其他性质:盐酸易挥发
2. 化学性质
-
酸性
-
盐酸和铁反应(也可以说是氧化性)
\[\ce{Fe + 2HCl \xlongequal{\quad} FeCl2 + H2 ^} \] -
盐酸和碳酸钠反应
\[\ce{HCl(少) + Na2CO3 \xlongequal{\quad} NaHCO3 + NaCl} \]\[\ce{2HCl(过) + Na2CO3 \xlongequal{\quad} 2NaCl + CO2 ^ + H2O} \] -
氯化氢检验
- 湿润的蓝色石蕊试纸靠近,试纸变红
- 蘸有浓氨水的玻璃棒靠近,产生白烟\[\ce{HCl + NH3 \xlongequal{\quad} NH4Cl} \]
-
-
还原性
\[\begin{array}{} \text{还原性} & \stackrel{-2}{\ce{S}} & \approx & \stackrel{+4}{\ce{S}} & > & \ce{I-} & > & \ce{Fe^{2+}} & > & \ce{Br-} & > & \ce{NO} & > & \ce{NO2} & > & \ce{Cl-} & > & \ce{Mn^{2+}} \\ \text{氧化性} & \ce{S} & \approx & \ce{SO4^{2-}} & < & \ce{I2} & < & \ce{Fe^{3+}} & < & \ce{Br2} & < & \text{稀}\ce{HNO3} & < & \text{浓}\ce{HNO3} & < & \ce{Cl2} & < & \ce{MnO4-} \end{array} \]\(\ce{HCl}\) 作还原剂时通常选用浓盐酸,增加浓度增大 \(\ce{Cl-}\) 的还原性
-
其他性质
- 与 \(\ce{AgNO3}\) 反应\[\ce{Cl- + Ag+ \xlongequal{\quad} AgCl v} \]
- 氯离子的检验:加入硝酸酸化的硝酸根,若出现白色沉淀,则证明有 \(\ce{Cl-}\)
- \(\ce{Cl-}\) 的穿透作用:\(\ce{Cl-}\) 可以穿透金属表面的氧化膜,例如 \(\ce{Al}\) 有 \(\ce{Al2O3}\) 包裹,放入 \(\ce{CuSO4}\) 中无法置换出 \(\ce{Cu}\),但放入 \(\ce{CuCl2}\) 可以置换出 \(\ce{Cu}\)
- 与 \(\ce{AgNO3}\) 反应
3. 氯化氢的制备
-
氯化氢的实验室制备
\[\ce{NaCl(s) + H2SO4(浓) \xlongequal{微热} NaHSO4 + HCl ^} \]- 发生原因:虽然是强酸制强酸,但是氯化氢易挥发,使得其浓度减小,平衡正向移动,并且采用氯化钠固体,不含水,使得氯化氢不会溶于水,另外也需要浓硫酸的难挥发性,满足以上条件的可以制得氯化氢,例如 \(\ce{KCl}\) 固体和浓磷酸
- 尾气吸收需防倒吸
-
氯化氢的快速制法
- 加热浓盐酸
- 浓盐酸滴入浓硫酸中
-
氯化氢的工业制备
\[\ce{H2 + Cl2 \xlongequal{点燃} 2HCl} \]- 采用氯气在氢气中燃烧的反应
- \(\ce{H2}\) 要过量,防止有毒的氯气污染空气
第三章 溴和碘
一、卤素单质
1. 物理性质
- 卤素单质物理性质的递变
- 颜色:\(\ce{F2}\) 浅黄绿色,\(\ce{Cl2}\) 黄绿色,\(\ce{Br2}\) 深棕红色,\(\ce{I2}\) 紫黑色
- 状态(标况):\(\ce{F2}\)、\(\ce{Cl2}\) 气态,\(\ce{Br2}\) 液态(唯一一个在常温下为液态的非金属单质),\(\ce{I2}\) 固态
- 熔点依次升高
- 沸点依次升高
- 溶解性:\(\ce{F2}\) 与水反应,\(\ce{Cl2}\) \(1:2\) 溶于水且与水反应,\(\ce{Br2}\) 可溶于水且与水反应,\(\ce{I2}\) 微溶于水且与水反应
- 溴(\(\ce{Br2}\))
- 色、味、态:深棕红色、有恶臭的液体
- 溶解性:在水中可溶且与水反应,颜色黄 \(\sim\) 橙;在苯或 \(\ce{CCl4}\) 中易溶,颜色红棕色
- 其他性质:易挥发
- 保存:棕色细口瓶
- 碘(\(\ce{I2}\))
- 色、味、态:紫黑色固体
- 溶解性:在水中微溶且与水反应,颜色黄 \(\sim\) 棕;在苯或 \(\ce{CCl4}\) 中易溶,颜色紫色
- 其他性质:易升华
- 保存:棕色广口瓶
2. 化学性质
- 酸性
-
与水反应(\(\ce{F2}\) 与水反应特殊,其他反应通式相同,但与水反应的程度逐渐减弱)
\[\ce{2F2 + 2H2O \xlongequal{\quad} 4HF + O2} \]\[\ce{Cl2 + H2O <=> HCl + HClO} \]\[\ce{Br2 + H2O <=> HBr + HBrO} \]\[\ce{I2 + H2O <=> HI + HIO} \]- 通式\[\ce{X2 + H2O <=> H+ + X- + HXO} \]
- 通式
-
溴、碘与 \(\ce{NaOH}\) 反应
\[\ce{X2 + 2OH- \xlongequal{\quad} X- + XO- + H2O} \] -
溴、碘与热的 \(\ce{NaOH}\) 反应
\[\ce{3X2 + OH- \xlongequal{\,\triangle\,} 5X- + XO3- + H2O} \]-
\(\ce{XO-}\) 的分解
\[\ce{3ClO- \xlongequal{\quad} 2Cl- + ClO3-}\quad K = 10^{-10} \]\[\ce{3BrO- \xlongequal{\quad} 2Br- + BrO3-}\quad K = 1.01 \]\[\ce{3IO- \xlongequal{\quad} 2I- + IO3-}\quad K = 10^{20} \]故以下反应事实上可以在室温下进行
\[\ce{3I2 + 6OH- \xlongequal{\quad} 5I- + IO3- + 3H2O} \]
-
-
- 氧化性\[\begin{array}{} \text{还原性} & \stackrel{-2}{\ce{S}} & \approx & \stackrel{+4}{\ce{S}} & > & \ce{I-} & > & \ce{Fe^{2+}} & > & \ce{Br-} & > & \ce{NO} & > & \ce{NO2} & > & \ce{Cl-} & > & \ce{Mn^{2+}} \\ \text{氧化性} & \ce{S} & \approx & \ce{SO4^{2-}} & < & \ce{I2} & < & \ce{Fe^{3+}} & < & \ce{Br2} & < & \text{稀}\ce{HNO3} & < & \text{浓}\ce{HNO3} & < & \ce{Cl2} & < & \ce{MnO4-} \end{array} \]
-
与金属反应
-
与铁反应
\[\ce{2Fe + 3Br2 \xlongequal{\,\triangle\,} 2FeBr3} \]\[\ce{Fe + I2 \xlongequal{\,\triangle\,} FeI2} \] -
与铜反应
\[\ce{Cu + Br2 \xlongequal{\,\triangle\,} CuBr2} \]\[\ce{2Cu + I2 \xlongequal{\,\triangle\,} 2CuI} \] -
与锌反应
\[\ce{Zn + Br2 \xlongequal{\,\triangle\,} ZnBr2} \]\[\ce{Zn + I2\xlongequal{\,\triangle\,} ZnI2} \] -
可以发现,碘的氧化性弱,只能将铁、铜氧化为低价态(原子半径大,得电子能力弱)
-
-
与 \(\ce{H2}\) 反应
\[\ce{H2 + F2 \xlongequal{暗处爆炸} 2HF} \]\[\ce{H2 + Cl2 \xlongequal{光照爆炸/点燃} 2HCl} \]\[\ce{H2 + Br2 \xlongequal{\,\triangle\,} 2HBr} \]\[\ce{H2 + I2 <=>[\triangle] 2HI} \]- 反应的通式相同,与 \(\ce{H2}\) 的反应条件越来越困难,其中碘与 \(\ce{H2}\) 反应可逆
-
- 其他性质
- 碘在水溶液中能被 \(\ce{Cl2}\) 氧化为 \(\ce{HIO3}\)(溴不能被 \(\ce{Cl2}\) 氧化)\[\ce{5Cl2 + I2 + 6H2O \xlongequal{\quad} 2HIO3 + 10HCl} \]
- 从中可知氧化性 \(\ce{HBrO3 > Cl2 > HIO3}\),因为强可以制弱,弱不能制强
- 在淀粉 \(\ce{KI}\) 溶液中通入过量 \(\ce{Cl2}\),溶液先变蓝后褪色
- 碘在水溶液中能被 \(\ce{Cl2}\) 氧化为 \(\ce{HIO3}\)(溴不能被 \(\ce{Cl2}\) 氧化)
3. 溴和碘的工业制备
-
海水提溴
- 地球上 \(99\%\) 的溴元素以 \(\ce{Br-}\) 的形式存在于海水中
- 不能直接蒸馏得到溴,因为海水中溴以 \(\ce{Br-}\) 形式存在,而我们想要得到 \(\ce{Br2}\)
- 要先用硫酸酸化再通氯气,因为海水呈弱碱性,\(\ce{OH-}\) 会与 \(\ce{Cl2}\) 反应,不酸化 \(\ce{Cl2}\) 利用率低
- 提取流程:向溶液中鼓入热空气,通常控制温度是 \(80℃\sim 90℃\),使溴和一些水蒸气一起挥发出来,再经过冷凝后得到粗溴
- 溴易挥发,所以可以用热空气吹出
- 温度低于 \(80℃\),挥发出的 \(\ce{Br2}\) 少,\(\ce{Br2}\) 的吹出率低;温度高于 \(\ce{90℃}\),\(\ce{Br2}\) 中则混有大量水蒸气
-
粗溴的精制
\[\ce{3Br2 + 3CO3^2- \xlongequal{\quad} 5Br- + BrO3- + 3CO2} \]\[\ce{5Br- + BrO3- + 6H+ \xlongequal{\quad} 3Br2 + 3H2O} \]- 缺点:\(\ce{H+}\) 由 \(\ce{H2SO4}\) 提供,会产生 \(\ce{Na2SO4}\) 废液,污染环境且原子利用率不高
于是我们有如下改进方法:\(\ce{SO2}\) 精制法(以下内容是在实验室模拟溴的精制过程)
\[\ce{SO2 + Br2 + 2H2O \xlongequal{\quad} SO4^2- + 2Br- + 4H+} \]- 萃取分液流程:分液漏斗倒置,振荡,放气,重复 \(2\) 到 \(3\) 次
- 有机溶剂可以循环利用
- 缺点:生成的酸会腐蚀设备
-
海带提碘
- 海洋中海带等海藻类植物具有富集碘的能力
- 用氯气氧化碘离子时,氯气不宜过多,因为会发生反应\[\ce{5Cl2 + I2 + 6H2O \xlongequal{\quad} 10Cl- + 2IO3- + 12H+} \]
-
在实际工业生产中,由于气体不便运输,通常改用二氧化锰或双氧水来氧化碘离子
\[\ce{MnO2 + 2I- + 4H+ \xlongequal{\quad} Mn^2+ + I2 + 2H2O} \]\[\ce{H2O2 + 2I- + 2H+\xlongequal{\quad} I2 + 2H2O} \]
-
-
碘的精制
- 通过蒸馏很难得到单质碘,因为受热时,在苯挥发的同时也有部分 \(\ce{I2}\) 升华
- 工业实际生产中,采用反萃法将 \(\ce{I2}\) 从苯溶液中提取出来
- 向已经富集了 \(\ce{I2}\) 的苯溶液中,加入 \(\ce{40\%}\) 的 \(\ce{NaOH}\) 溶液,直到苯层无色为止\[\ce{3I2 + 6OH- \xlongequal{\quad} 5I- + IO3- + 3H2O} \]
- 生成的 \(\ce{I-}\) 和 \(\ce{IO3-}\) 进入水溶液中,分液
- 向得到的水溶液中加入硫酸酸化,重新生成 \(\ce{I2}\),从而使 \(\ce{I2}\) 又重新富集在水中,又由于 \(\ce{I2}\) 在水中的溶解度很小,可沉淀析出,过滤分离后即可获取固态碘\[\ce{5I- + IO3- + 6H+ \xlongequal{\quad} 3I2 + 3H2O} \]
- 向已经富集了 \(\ce{I2}\) 的苯溶液中,加入 \(\ce{40\%}\) 的 \(\ce{NaOH}\) 溶液,直到苯层无色为止
二、溴和碘的化合物
1. 化学性质
- 溴离子和碘离子的检验
- 溴离子和碘离子的硝酸银检验方法
- \(\ce{AgF}\),白色或黄棕色固体,易溶于水
- \(\ce{AgCl}\) 白色固体,\(\ce{AgBr}\) 浅黄色固体,\(\ce{AgI}\) 黄色固体,三者均难溶于水,颜色依次加深,溶解度依次减小
- 故检验方法为:加入硝酸酸化的硝酸银,产生 \(x\) 色沉淀(不要先加硝酸,因为会将溴离子或碘离子氧化,而加入硝酸酸化的硝酸银,由于沉淀反应优先,所以可以生成相应沉淀,不受硝酸氧化性影响)
- 向 \(\ce{AgCl}\) 悬浊液中滴加 \(\ce{NaBr}\) 溶液(现象:白色沉淀转化为浅黄色)\[\ce{AgCl + NaBr \xlongequal{\quad} AgBr + NaCl} \]
- 检验指纹\[\ce{2AgCl \xlongequal{\quad} 2Ag + Cl2} \]
- 溴离子和碘离子的萃取检验方法
-
向溶液中通入适量氯气,再加入四氯化碳或苯,振荡、静置后,观察有机层颜色
\[\ce{2Br- + Cl2 \xlongequal{\quad} Br2 + 2Cl-} \]\[\ce{2I- + Cl2 \xlongequal{\quad} I2 + 2Cl-} \]
-
- 碘离子的碘粉检验方法
- 向溶液中通入适量氯气,再加入淀粉,若变蓝,则证明含有碘离子
- 溴离子和碘离子的硝酸银检验方法
- 氢溴酸与氢碘酸
- 氢卤酸的性质
- 沸点:\(\ce{HF > HI > HBr > HCl}\)(\(\ce{HF}\) 有氢键连接,所以沸点最大,其余正常)
- 热稳定性(分解温度):\(\ce{HF > HCl > HBr > HI}\)
- 酸性:\(\ce{HI > HBr > HCl > HF}\)
- 还原性:\(\ce{HI > HBr > HCl > HF}\)
- 氢卤酸的制备
- 制备 \(\ce{HF}\)(仪器:铅皿)\[\ce{CaF2 + H2SO4 \xlongequal{\,\triangle\,} CaSO4 + 2HF ^} \]
- 制备 \(\ce{HCl}\)(仪器:玻璃仪器)\[\ce{NaCl(s) + H2SO4(浓) \xlongequal{微热} NaHSO4 + HCl ^} \]
- 制备 \(\ce{HBr}\)(仪器:玻璃仪器)\[\ce{NaBr(s) + H3PO4(浓) \xlongequal{微热} NaH2PO4 + HBr ^} \]
- 制备 \(\ce{HI}\)(仪器:玻璃仪器)\[\ce{NaI(s) + H3PO4(浓) \xlongequal{微热} NaH2PO4 + HI ^} \]
- \(\ce{HCl}\)、\(\ce{HBr}\)、\(\ce{HI}\) 都利用了浓硫酸或浓磷酸的难挥发性,后两个不采用浓硫酸因为其有氧化性
- \(\ce{HF}\) 有腐蚀玻璃的特性,故 \(\ce{HF}\) 被保存在塑料瓶中\[\ce{4HF + SiO2 \xlongequal{\quad} SiF4 + 2H2O} \]
- \(\ce{HCl}\)、\(\ce{HBr}\)、\(\ce{HI}\) 均可保存在玻璃瓶中
- 制备 \(\ce{HF}\)(仪器:铅皿)
- 氢卤酸的性质
- 卤素的含氧酸
- 含氧酸的命名
- 氢氯酸(盐酸)\(\ce{HCl}\),次氯酸 \(\ce{HClO}\),亚氯酸 \(\ce{HClO2}\),(正)氯酸 \(\ce{HClO3}\),高氯酸 \(\ce{HClO4}\)
- 特例:氟氧酸 \(\ce{HFO}\)(因为 \(\ce{F}\) 负一价),高碘酸 \(\ce{H5IO6}\),偏高碘酸 \(\ce{HIO4}\)(意为在原来的酸中去掉一些水,以此为例,它在高碘酸基础上去掉了两个 \(\ce{H2O}\))
- 含氧酸的性质
- 同一卤素含氧酸的酸性随化合价升高而增强,如 \(\ce{HClO4 > HClO3 > HClO2 > HClO}\)
- 氧化性不满足此结论,例如氧化性 \(\ce{HClO > HClO4}\),又如 \(\ce{HBrO3 > HClO3 > HIO3}\)
- 含氧酸的命名
第四章 硫单质
一、硫单质
1. 物理性质
- 色、味、态:常温常压下,硫单质为淡黄色粉末,有臭味(高中三种淡黄粉末:\(\ce{AgBr}\)、\(\ce{S}\)、\(\ce{Na2O2}\))
- 溶解性:难溶于水,微溶于酒精,易溶于 \(\ce{CS2}\)、\(\ce{CCl4}\) 和苯等有机溶剂
- 易升华:硫在大约 \(95℃\) 左右开始升华
2. 化学性质
- 弱氧化性
- 与 \(\ce{Na}\) 反应(现象:研磨爆炸,生成白色固体)\[\ce{2Na + S \xlongequal{研磨爆炸} Na2S} \]
- 与 \(\ce{Fe}\) 反应(现象:生成黑色固体;\(\ce{S}\) 氧化性弱,只能将其氧化到正二价)\[\ce{Fe + S \xlongequal{\,\triangle\,} FeS} \]
- 与 \(\ce{Cu}\) 反应(现象:生成黑色固体;\(\ce{S}\) 氧化性弱,只能将其氧化到正一价)\[\ce{2Cu + S \xlongequal{\,\triangle\,} Cu2S} \]
- 与 \(\ce{Hg}\) 反应(现象:生成黑色固体)\[\ce{Hg + S \xlongequal{\quad} HgS} \]
- 与 \(\ce{Ag}\) 反应(现象:生成黑色固体)\[\ce{2Ag + S \xlongequal{\,\triangle\,} Ag2S} \]
- 与 \(\ce{H2}\) 反应(现象:生成臭鸡蛋气味气体)\[\ce{H2 + S \xlongequal[隔绝空气]{\triangle} H2S} \]
- 与 \(\ce{Na}\) 反应(现象:研磨爆炸,生成白色固体)
- 中强还原性\[\begin{array}{} \text{还原性} & \stackrel{-2}{\ce{S}} & \approx & \stackrel{+4}{\ce{S}} & > & \ce{I-} & > & \ce{Fe^{2+}} & > & \ce{Br-} & > & \ce{NO} & > & \ce{NO2} & > & \ce{Cl-} & > & \ce{Mn^{2+}} \\ \text{氧化性} & \ce{S} & \approx & \ce{SO4^{2-}} & < & \ce{I2} & < & \ce{Fe^{3+}} & < & \ce{Br2} & < & \text{稀}\ce{HNO3} & < & \text{浓}\ce{HNO3} & < & \ce{Cl2} & < & \ce{MnO4-} \end{array} \]
- 与氧气反应(唯一反应)\[\ce{S + O2 \xlongequal{点燃} SO2} \]
- 与浓硫酸反应\[\ce{2S + H2SO4(浓) \xlongequal{\,\triangle\,} 3SO2 ^ + 2H2O} \]
- 与氧气反应(唯一反应)
- 其他性质
- 硫可溶于热的碱(可以用此反应除去黏附在试管壁上的硫,当然还可选用有机溶剂)\[\ce{3S + 6NaOH \xlongequal{\quad} Na2SO3 + 2Na2S + 3H2O} \]
- 制备黑火药\[\ce{S + 2KNO3 + 3C \xlongequal{点燃} K2S + N2 ^ + 3CO2 ^} \]
- 硫可溶于热的碱(可以用此反应除去黏附在试管壁上的硫,当然还可选用有机溶剂)
第五章 硫化氢
一、硫化氢
1. 物理性质
- 色、味、态:常温常压下味无色、有臭鸡蛋气味的气体
- 密度:密度大于空气
- 溶解性:硫化氢 \(1:2.6\) 溶于水(微溶于水)
2. 化学性质
-
酸性
-
电离
\[\ce{H2S <=> H+ + HS-} \]\[\ce{HS- <=> H+ + S^2-} \]
-
少量 \(\ce{H2S}\) 通入 \(\ce{NaOH}\) 溶液
\[\ce{H2S + 2OH- \xlongequal{\quad} S^2- + 2H2O} \] -
\(\ce{H2S}\) 通入 \(\ce{Na2S}\) 溶液
\[\ce{H2S + S^2- \xlongequal{\quad} 2HS-} \] -
\(\ce{Na2S}\) 与少量 \(\ce{HCl}\) 反应
\[\ce{S^2- + H+ \xlongequal{\quad} HS-} \] -
\(\ce{FeS}\) 黑色固体与 \(\ce{HCl}\) 反应
\[\ce{FeS + 2H+ \xlongequal{\quad} Fe^2+ + H2S ^} \] -
\(\ce{H2S}\) 通入 \(\ce{FeCl2}\) 中不产生 \(\ce{FeS}\) 黑色沉淀(弱酸不能制强酸),加碱后平衡正向移动,可以生成沉淀
-
\(\ce{H2S}\) 通入 \(\ce{FeCl3}\)
\[\ce{H2S + 2FeCl3 \xlongequal{\quad} 2FeCl2 + S v + 2HCl} \]
-
-
还原性
\[\begin{array}{} \text{还原性} & \stackrel{-2}{\ce{S}} & \approx & \stackrel{+4}{\ce{S}} & > & \ce{I-} & > & \ce{Fe^{2+}} & > & \ce{Br-} & > & \ce{NO} & > & \ce{NO2} & > & \ce{Cl-} & > & \ce{Mn^{2+}} \\ \text{氧化性} & \ce{S} & \approx & \ce{SO4^{2-}} & < & \ce{I2} & < & \ce{Fe^{3+}} & < & \ce{Br2} & < & \text{稀}\ce{HNO3} & < & \text{浓}\ce{HNO3} & < & \ce{Cl2} & < & \ce{MnO4-} \end{array} \]-
硫化氢与氧气(理想化为一个分子一个分子通入)
-
硫化氢中通氧气
\[\ce{2H2S + O2 \xlongequal{点燃} 2S + 2H2O} \]\[\ce{S + O2 \xlongequal{点燃} SO2} \]- 总反应\[\ce{2H2S + 3O2 \xlongequal{点燃} 2SO2 + 2H2O} \]
- 总反应
-
氧气中通硫化氢
\[\ce{2H2S + 3O2 \xlongequal{点燃} 2SO2 + 2H2O} \]\[\ce{2H2S + SO2 \xlongequal{点燃} 3S + 2H2O} \]- 总反应\[\ce{2H2S + O2 \xlongequal{点燃} 2S + 2H2O} \]
- 总反应
-
-
-
其他性质
- 不稳定性
- 硫化氢隔绝空气加热至 \(300℃\) 左右会分解\[\ce{H2S \xlongequal[隔绝空气]{\triangle 300℃} S + H2} \]
- 硫化氢隔绝空气加热至 \(300℃\) 左右会分解
- 将气体通入 \(\ce{CuSO4}\) 溶液(现象:产生黑色沉淀;这是高中唯一一个不是氧化还原且强酸制弱酸的反应)\[\ce{H2S + CuSO4 \xlongequal{\quad} CuS v + H2SO4} \]
-
原因
溶液中存在如下的沉淀溶解平衡
\[\ce{FeS(s) <=> FeS(aq) \xlongequal{\quad} Fe^2+(aq) + S^2-(aq)}\quad K_{sp} = [\ce{Fe^2+}][\ce{S^2-}] \]\[\ce{CuS(s) <=> Cu^2+(aq) + S^2-(aq)}\quad K_{sp} = [\ce{Cu^2+}][\ce{S^2-}] \]那么这个反应的平衡常数可写作:(\(M\) 为 \(\ce{Fe}\) 或 \(\ce{Cu}\);\(K_{a1}\)、\(K_{a2}\) 分别为 \(\ce{H2S}\) 的两步电离的平衡常数)
\[\begin{aligned} K &= \frac{[\ce{H+}]^2}{[\ce{H2S}] [\ce{M^2+}]} \\ &= \frac{[\ce{H+}]^2 [\ce{S^2-}]}{[\ce{H2S}] [\ce{M^2+}] [\ce{S^2-}]} \\ &= \frac{K_{a1}\times K_{a2}}{K_{sp}} \end{aligned} \]因为 \(K_{a1}\times K_{a2} \approx 10^{-20} \sim 10^{-30}\),\(\ce{FeS}\) 的 \(K_{sp} \approx 10^{-20}\),\(\ce{CuS}\) 的 \(K_{sp} \approx 10^{-35}\)
所以 \(\ce{H2S}\) 不与 \(\ce{FeS}\) 反应,但与 \(\ce{CuS}\) 反应
-
- 湿润的醋酸铅试纸(白色)靠近,试纸变黑\[\ce{Pb(CH3COO)2 + H2S \xlongequal{\quad} PbS v + 2CH3COOH} \]
- 不稳定性
3. 硫化氢的制备
-
实验室制备
\[\ce{FeS + 2HCl \xlongequal{\quad} FeCl2 + H2S ^} \]\[\ce{FeS + H2SO4 \xlongequal{\quad} FeSO4 + H2S ^} \]- 原料:\(\ce{FeS}\)(黑色块状固体)、稀酸(稀盐酸或稀硫酸)
- 除杂:用饱和 \(\ce{NaHS}\) 除去 \(\ce{H2S}\) 中的 \(\ce{HCl}\)
- 干燥:用 \(\ce{CaCl2}\) 干燥 \(\ce{H2S}\)(用浓硫酸会将其氧化)
- 验满:湿润的醋酸铅试纸在瓶口变黑
-
快速制法
\[\ce{Al2S3 + 12H2O \xlongequal{\quad} 2Al(OH)3 v + 3H2S ^} \]- 将适量的硫化铝放入烧瓶中,从滴液漏斗中缓慢加水,就可以成功地产生非常纯净的硫化氢气体
第六章 二氧化硫与三氧化硫
一、二氧化硫
1. 物理性质
- 色、味、态:常温常压下为无色、有刺激性气味的气体
- 溶解性:二氧化硫 \(1:40\) 溶于水(易溶于水)且与水反应,溶液为亚硫酸
2. 化学性质
-
酸性
-
与水反应
\[\ce{SO2 + H2O <=> H2SO3} \] -
亚硫酸的电离(亚硫酸氢根偏酸性)
\[\ce{H2SO3 <=> H+ + HSO3-} \]\[\ce{HSO3- <=> H+ + SO3-} \]- 少量 \(\ce{SO2}\) 通入 \(\ce{NaOH}\) 溶液\[\ce{SO2 + 2OH- \xlongequal{\quad} SO3^2- + H2O} \]
- 少量 \(\ce{SO2}\) 通入石灰水\[\ce{SO2 + 2OH- + Ca^2+ \xlongequal{\quad} CaSO3 v + H2O} \]
- \(\ce{SO2}\) 与亚硫酸钠反应\[\ce{SO2 + H2O + SO3^2- \xlongequal{\quad} 2HSO3-} \]
- \(\ce{NaHSO3}\) 与 \(\ce{NaOH}\) 反应\[\ce{HSO3- + OH- \xlongequal{\quad} SO3^2- + H2O} \]
- 少量 \(\ce{SO2}\) 通入 \(\ce{NaOH}\) 溶液
-
高中常用弱酸酸性强弱(作 \(N\) 型转化;亚硫酸是高中阶段最强弱酸)
\[\ce{酸性 H2SO3 > CH3COOH > H2CO3 > HClO > HCO3- > Al(OH)3} \]\[\ce{碱性 HSO3- < CH3COO- < HCO3- < ClO- < CO3^2- < Al(OH)4} \]- \(\ce{SO2}\) 与 \(\ce{NaHCO3}\) 反应\[\ce{SO2 + HCO3- \xlongequal{\quad} HSO3- + CO2} \]
- \(\ce{CO2}\) 中混有 \(\ce{SO2}\),通入饱和 \(\ce{NaHCO3}\) 即可
- \(\ce{SO2}\) 与 \(\ce{NaHCO3}\) 反应
-
-
还原性
\[\begin{array}{} \text{还原性} & \stackrel{-2}{\ce{S}} & \approx & \stackrel{+4}{\ce{S}} & > & \ce{I-} & > & \ce{Fe^{2+}} & > & \ce{Br-} & > & \ce{NO} & > & \ce{NO2} & > & \ce{Cl-} & > & \ce{Mn^{2+}} \\ \text{氧化性} & \ce{S} & \approx & \ce{SO4^{2-}} & < & \ce{I2} & < & \ce{Fe^{3+}} & < & \ce{Br2} & < & \text{稀}\ce{HNO3} & < & \text{浓}\ce{HNO3} & < & \ce{Cl2} & < & \ce{MnO4-} \end{array} \]- \(\ce{SO2}\) 与双氧水反应\[\ce{SO2 + H2O2 \xlongequal{\quad} SO4^2- + 2H+} \]
- \(\ce{SO2}\) 与 \(\ce{HClO}\) 反应\[\ce{SO2 + ClO- + H2O \xlongequal{\quad} Cl- + SO4^2- + 2H+} \]
- \(\ce{SO2}\) 与 \(\ce{O2}\) 反应\[\ce{2SO2 + O2 <=>[V2O5][450℃] 2SO3} \]
- \(\ce{SO2}\) 与双氧水反应
-
氧化性
-
\(\ce{SO2}\) 与氢硫酸反应
\[\ce{SO2 + 2H2S \xlongequal{\quad} 3S v + 2H2O} \]
-
-
综合
- \(\ce{SO2}\) 通入 \(\ce{BaCl2}\) 不产生沉淀(弱酸不能制强酸)\[\ce{SO2 + H2O + BaCl2 <=> BaSO3 v + HCl} \]
- 加碱可产生沉淀,因为可使氯化氢浓度减小,平衡正向移动,生成 \(\ce{BaSO3}\) 沉淀
- 加氧化剂可产生沉淀,例如氯气(叠加 \(\ce{Cl2 + SO2 + 2H2O \xlongequal{\quad} SO4^2- + 2Cl- + 4H+}\))\[\ce{Ba^2+ + Cl2 + SO2 + 2H2O \xlongequal{\quad} BaSO4 v + 2Cl- + 4H+} \]
- 加 \(\ce{H2S}\),生成 \(\ce{S}\) 沉淀
- \(\ce{SO2}\) 通入 \(\ce{BaCl2}\) 不产生沉淀(弱酸不能制强酸)
-
其他性质
-
漂白性
\[\ce{品红 ->[SO2] 无色 ->[\triangle] 恢复红色} \]\[\ce{品红 ->[Cl2] 无色 ->[\triangle] 仍然无色} \]- \(\ce{SO2}\) 结合漂白(可逆,是选择性漂白,不能漂白石蕊)
- \(\ce{Cl2}\) 氧化漂白(不可逆)
- \(\ce{SO2}\) 和 \(\ce{Cl2}\) 混用效果减弱,因为本身会反应
-
3. 二氧化硫的实验室制备
-
制法一
\[\ce{Na2SO3 + H2SO4(浓) \xlongequal{\quad} Na2SO4 + SO2 ^ + H2O} \]- 浓硫酸质量分数应控制在 \(70\%\),太高水太少,不利离子反应发生,太低会使 \(\ce{SO2}\) 溶于水,不利于 \(\ce{SO2}\) 溢出
- 验满:湿润品红试纸在瓶口褪色
-
制法二
\[\ce{Cu + 2H2SO4(浓) \xlongequal{\,\triangle\,} CuSO4 + SO2 + 2H2O} \]- \(1\,\mathrm{mol}\,\ce{Cu}\) 和足量浓硫酸制得气体多于足量 \(\ce{Cu}\) 和 \(2\,\mathrm{mol}\) 浓硫酸,因为浓会变稀
二、三氧化硫
1. 物理性质
- 色、味、态:标况下为无色玻璃状固体
- 溶解性:极易溶于水,易溶于浓硫酸(\(\ce{SO2}\) 中混有 \(\ce{SO3}\),通入浓硫酸)
2. 化学性质
- 与水反应
- 三氧化硫是硫酸的酸酐,与水反应生成硫酸\[\ce{SO3 + H2O \xlongequal{\quad} H2SO4} \]
- 三氧化硫是硫酸的酸酐,与水反应生成硫酸
- 与碱反应
- 少量 \(\ce{SO3}\) 与 \(\ce{NaOH}\) 反应生成硫酸盐\[\ce{SO3 + 2NaOH \xlongequal{\quad} Na2SO4 + H2O} \]
- 过量 \(\ce{SO3}\) 与 \(\ce{NaOH}\) 反应生成硫酸氢盐\[\ce{SO3 + NaOH \xlongequal{\quad} NaHSO4} \]
- \(\ce{NaHSO4}\) 在高中阶段为强电解质\[\ce{NaHSO4 \xlongequal{\quad} Na+ + H+ + SO4^2-} \]
- \(\ce{NaHSO4}\) 在高中阶段为强电解质
- 少量 \(\ce{SO3}\) 与 \(\ce{NaOH}\) 反应生成硫酸盐
第七章 硫酸
一、硫酸
1. 物理性质
-
色、味、态:纯净的硫酸味无色油状液体
-
熔沸点:为难挥发性酸(制易挥发性 \(\ce{HCl}\)、\(\ce{HNO3}\),不能制 \(\ce{HBr}\)、\(\ce{HI}\),因为其有较强还原性,要用浓磷酸)
\[\ce{NaCl(s) + H2SO4(浓) \xlongequal{微热} NaSO4 + HCl ^} \]\[\ce{NaNO3(s) + H2SO4(浓) \xlongequal{微热} NaSO4 + HNO3 ^} \] -
溶解性:与水任意比互溶,通常认为质量分数大于 \(70\%\)(或浓度大于 \(9\,\mathrm{mol/L}\))的硫酸为浓硫酸
-
其他性质:浓硫酸具有吸水性,可以用作气体干燥剂(四种不能干燥气体:\(\ce{NH3}\)、\(\ce{HBr}\)、\(\ce{HI}\)、\(\ce{H2S}\))
2. 化学性质
-
酸性
- 电离\[\ce{H2SO4 \xlongequal{\quad} 2H+ + SO4^2-} \]
- 与碱反应\[\ce{H+ + OH- \xlongequal{\quad} H2O} \]
- 与 \(\ce{Ba(OH)2}\) 反应\[\ce{Ba^2+ + 2OH- + 2H+ + SO4^2- \xlongequal{\quad} BaSO4 v + 2H2O} \]
- 与 \(\ce{Ba(OH)2}\) 反应
- 酸的通性(酸性)\[\ce{Zn + H2SO4 \xlongequal{\quad} ZnSO4 + H2 ^} \]
- 其中 \(\ce{H}\) 变价,可以称氧化性,但是更好的说法是体现了酸的通性,也就是酸性
- 电离
-
强氧化性
加一个“强”字,为了与上面的酸的通性的氧化性区分,还原产物为 \(\ce{SO2}\)
-
\(\ce{Cu}\) 和浓硫酸在加热时反应(浓硫酸体现酸性和强氧化性)
\[\ce{Cu + 2H2SO4(浓) \xlongequal{\,\triangle\,} CuSO4 + SO2 ^ + 2H2O} \]- 生成绿色溶液:\(\ce{Cu^2+}\) 浓溶液为绿色
- 看到大量灰白色沉淀:\(\ce{CuSO4}\) 饱和,以 \(\ce{CuSO4 * 5H2O}\) 晶体析出,又在浓硫酸作用下变成白色无水 \(\ce{CuSO4}\),另外还有副反应生成黑色 \(\ce{CuS}\)、\(\ce{Cu2S}\),所以最后混在一起变成灰白色
- 品红褪色:有 \(\ce{SO2}\) 生成
- 将前面的绿色溶液连着沉淀倒入水中,看到蓝色溶液(不能直接在其中加水,因为有浓硫酸残留,会飞溅)
-
与金属反应
\[\ce{2Al + 6H2SO4(浓) \xlongequal{\,\triangle\,} Al2(SO4)3 + 3SO2 ^ + 6H2O} \]\[\ce{Zn + 2H2SO4(浓)\xlongequal{\,\triangle\,} ZnSO4 + SO2 ^ + 2H2O} \]- 以上两种金属过量,会收集到 \(\ce{SO2}\)、\(\ce{H2}\),因为浓会变稀(\(\ce{Cu}\) 不会手机到 \(\ce{H2}\) 因为不会和氢气反应)
- 钝化:常温下,浓硫酸的强氧化性会使 \(\ce{Al}\)/\(\ce{Fe}\) 的表面产生一层致密的氧化膜 \(\ce{AlO3}\)/\(\ce{Fe3O4}\) 阻碍反应进行
-
与非金属反应(可只体现强氧化性)
\[\ce{C + 2H2SO4(浓) \xlongequal{\,\triangle\,} CO2 ^ + 2SO2 ^ + 2H2O} \]\[\ce{H2S + H2SO4(浓) \xlongequal{\quad} S + SO2 ^ + 2H2O} \]
-
-
其他性质
- 脱水性:浓硫酸可以将有机物中的 \(\ce{H}\) 和 \(\ce{O}\) 按 \(2 : 1\) 脱去
- 与蔗糖反应(黑面包实验;浓硫酸体现三种性质:吸水性(吸收生成的水)、脱水性、强氧化性)\[\ce{C12H22O11 ->[浓 H2SO4] 12C + 11H2O} \]\[\ce{C + 2H2SO4(浓) \xlongequal{\,\triangle\,} CO2 ^ + 2SO2 ^ + 2H2O} \]
- 浓硫酸不能用 \(pH\) 试纸测 \(pH\),因为它将其脱水,破一个洞
- 与蔗糖反应(黑面包实验;浓硫酸体现三种性质:吸水性(吸收生成的水)、脱水性、强氧化性)
- 脱水性:浓硫酸可以将有机物中的 \(\ce{H}\) 和 \(\ce{O}\) 按 \(2 : 1\) 脱去
第八章 氮气与氮氧化物
一、氮气
1. 物理性质
- 色、味、态:常温常压下,氮气为无色无味气体
- 溶解性:氮气难溶于水和酒精
2. 化学性质
-
稳定性
由于破坏氮气中氮氮三键需要很高能量,故氮气很稳定,很难发生化学反应,故氮气参与化学反应通常需要很苛刻的条件
- 体现 \(\ce{N2}\) 氧化性的反应
- 在催化剂(通常为铁触媒)、高温高压下,氮气可以与氢气反应\[\ce{N2 + 3H2 <=>[铁催化剂][高温高压] 2NH3} \]
- 活泼的碱土金属可以与氮气反应,生成氮化物\[\ce{3Mg + N2 \xlongequal{点燃} Mg3N2} \]
- \(\ce{Mg3N2}\) 只有干态\[\ce{Mg3N2 + 6H2O \xlongequal{\quad} 3Mg(OH)2 v + 2NH3 ^} \]
- \(\ce{Mg3N2}\) 只有干态
- 在催化剂(通常为铁触媒)、高温高压下,氮气可以与氢气反应
- 体现 \(\ce{N2}\) 还原性的反应
- 氮气和氧气在放电或高温的情况下,能够化合为 \(\ce{NO}\)\[\ce{N2 + O2 \xlongequal{放电} 2NO} \]
- 氮气和氧气在放电或高温的情况下,能够化合为 \(\ce{NO}\)
- 氮气的固定
-
氮的固定是指将空气中游离态的氮转化为含氮化合物的过程
-
大气固氮(雷雨发庄稼)
\[\ce{N2 + O2 \xlongequal{放电} 2NO} \]\[\ce{2NO + O2 \xlongequal{\quad} 2NO2} \]\[\ce{3NO2 + H2O \xlongequal{\quad} 2HNO3 + NO} \] -
生物固氮:一些植物的根瘤能将氮气转化为铵态氮肥
-
人工固氮
\[\ce{N2 + 3H2 <=>[铁催化剂][高温高压] 2NH3} \]
-
- 体现 \(\ce{N2}\) 氧化性的反应
二、笑气(\(\ce{N2O}\))
1. 物理性质
- 色、味、态:常温常压下,是无色、有甜味的气体,俗称笑气
三、一氧化氮
1. 物理性质
- 色、味、态:常温常压下,是无色、无味的气体
- 溶解性:难溶于水
2. 化学性质
- 不稳定性
- \(\ce{NO}\) 与空气或氧气接触,生成红棕色气体 \(\ce{NO2}\)\[\ce{2NO + O2 \xlongequal{\quad} 2NO2} \]
- \(\ce{NO}\) 难溶于水,但可以在氧气的存在下被水吸收(可由一氧化氮生成二氧化氮和二氧化氮溶于水推出)\[\ce{4NO + 3O2 + 2H2O \xlongequal{\quad} 4HNO3} \]
- \(\ce{NO}\) 与空气或氧气接触,生成红棕色气体 \(\ce{NO2}\)
四、三氧化二氮
1. 物理性质
- 色、味、态:红棕色气体,低温时为深蓝色液体或固体
- 溶解性:极易溶于水且与水反应生成亚硝酸
2. 化学性质
- 酸性氧化物
- \(\ce{N2O3}\) 俗称亚硝酐,是亚硝酸的酸酐,与水反应生成亚硝酸\[\ce{N2O3 + H2O \xlongequal{\quad} 2HNO2} \]
- \(\ce{HNO2}\) 是弱酸,既有氧化性(可以让碘粉碘化钾试纸变蓝),又有还原性(可与酸性高锰酸钾反应)
- \(\ce{N2O3}\) 俗称亚硝酐,是亚硝酸的酸酐,与水反应生成亚硝酸
五、二氧化氮与四氧化二氮
1. 物理性质
- 色、味、态:常温下,\(\ce{NO2}\) 为红棕色气体,\(\ce{N2O4}\) 为无色气体,均有刺激性气味
- 溶解性:\(\ce{NO2}\) 和 \(\ce{N2O4}\) 均能与水反应,可溶于 \(\ce{CCl4}\) 等有机溶剂
2. 化学性质
-
自聚
-
\(\ce{NO2}\) 会自聚生成 \(\ce{N2O4}\),故 \(\ce{NO2}\) 和 \(\ce{N2O4}\) 总是共存的,没有绝对纯净的 \(\ce{NO2}\)(放热反应,升高温度,向吸热反应方向移动)
\[\ce{2NO2 <=> N2O4 \quad \Delta H < 0} \]
-
-
不成盐氧化物
- 与水反应(歧化)\[\ce{3NO2 + H2O \xlongequal{\quad} 2HNO3 + NO} \]
- 与碱反应(歧化)\[\ce{2NO2 + 2NaOH \xlongequal{\quad} NaNO2 + NaNO3 + H2O} \]
- 可看作二氧化氮先和水反应生成硝酸和一氧化氮,然后发生归中反应 \(\ce{NO + NO2 + 2NaOH \xlongequal{\quad} 2NaNO2 + H2O}\)
- 在氧气的存在下,\(\ce{NO2}\) 可以被水吸收生成硝酸\[\ce{4NO2 + O2 + 2H2O \xlongequal{\quad} 4HNO3} \]
- 与水反应(歧化)
-
氧化性
- 可以使湿润的淀粉 \(\ce{KI}\) 试纸变蓝\[\ce{NO2 + 2KI + H2O \xlongequal{\quad} NO ^ + I2 + 2KOH} \]
- 可以使湿润的淀粉 \(\ce{KI}\) 试纸变蓝
-
氮氧化物的去除
-
可用 \(\ce{NaOH}\)、\(\ce{Na2CO3}\) 等碱性溶液将氮氧化物 \(\ce{NO_x}\) 吸收
\[\ce{NO + NO2 + 2NaOH \xlongequal{\quad} 2NaNO2 + H2O} \]\[\ce{2NO2 + 2NaOH \xlongequal{\quad} NaNO2 + NaNO3 + H2O} \]- 用碱吸收 \(\ce{NO_x}\),\(x\) 至少为 \(1.5\)(否则可以通氧气再吸收)
-
使用氨气吸收
\[\ce{6NO + 4NH3 \xlongequal{催化剂} 5N2 + 6H2O} \]\[\ce{6NO + 8NH3 \xlongequal{催化剂} 7N2 + 12H2O} \]
-
六、五氧化二氮
1. 化学性质
- 酸性氧化物
- \(\ce{N2O5}\) 俗称硝酐,是硝酸的酸酐,与水反应生成硝酸\[\ce{N2O5 + H2O \xlongequal{\quad} 2HNO3} \]
- \(\ce{N2O5}\) 俗称硝酐,是硝酸的酸酐,与水反应生成硝酸
第九章 氨气
一、氨气
1. 物理性质
- 色、味、态:常温常压下,无色有刺激性气味气体
- 溶解性:氨气 \(1 : 700\) 溶于水(极易溶于水),且与水反应,溶于水后称氨水
- 其他性质:氨气易液化
2. 化学性质
-
碱性气体
- 氨气极易溶于水且与水反应,生成一水合氨\[\ce{NH3 + H2O <=> NH3 * H2O} \]
- 一水合氨是一元弱碱,在水溶液中会电离出氢氧根离子
\[\ce{NH3 * H2O <=> NH4+ + OH-} \]- 虽然氨气会与水反应,但由于氨气溶解度极大,在水溶液中的主要的存在形式仍然为 \(\ce{NH3}\) 分子,故氨水的溶质主要以 \(\ce{NH3}\) 计
- 氨水密度比水小,浓度越大,密度越小
- 一水合氨不稳定,受热分解为氨气\[\ce{NH3 * H2O \xlongequal{\,\triangle\,} NH3 ^ + H2O} \]
- 新制氨水中有 \(6\) 种微粒,为 \(\ce{NH3}\)、\(\ce{H2O}\)、\(\ce{NH3 * H2O}\)、\(\ce{NH4+}\)、\(\ce{OH-}\)、\(\ce{H+}\)
- 与酸反应
- 氨气与酸反应\[\ce{NH3 + H+ \xlongequal{\quad} NH4+} \]
- 与 \(\ce{HCl}\)(现象:产生白烟)\[\ce{NH3 + HCl \xlongequal{\quad} NH4Cl} \]
- 与 \(\ce{H2SO4}\)(无现象)\[\ce{2NH3 + H2SO4 \xlongequal{\quad} (NH4)2SO4} \]
- 与 \(\ce{HNO3}\)(现象:产生白烟)\[\ce{NH3 + HNO3 \xlongequal{\quad} NH4NO3} \]
- 与 \(\ce{HCl}\)(现象:产生白烟)
- 一水合氨与酸反应\[\ce{NH3 * H2O + H+ \xlongequal{\quad} NH4+ + H2O} \]
- 氨气与酸反应
- 氨气的检验
- 用湿润的红色石蕊试纸靠近,试纸变蓝,则证明是氨气
- 用蘸有浓盐酸的玻璃棒靠近,产生白烟,则证明是氨气
- 氨气极易溶于水且与水反应,生成一水合氨
-
还原性
氨气中的 \(\ce{N}\) 为 \(-3\) 价,处于 \(\ce{N}\) 的最低价态,使得氨气有还原性
-
氨气与氯气反应(氨气体现碱性与还原性,现象:产生白烟)
\[\ce{8NH3 + 3Cl2 \xlongequal{\quad} 6NH4Cl + N2} \] -
氨气与氧气的反应
-
氨气在纯氧中燃烧(在空气中很难点燃)
\[\ce{4NH3 + 3O2 \xlongequal{点燃} 2N2 + 6H2O} \] -
氨气制硝酸(生成的 \(\ce{NO}\) 与水反应即制得稀硝酸;催化剂常选用 \(\ce{Pt}\) 或 \(\ce{Cr2O3}\))
\[\ce{4NH3 + 5O2 \xlongequal[\triangle]{催化剂} 4NO + 6H2O} \]- 移走酒精灯,催化剂保持红热,因为反应放热
- 生成红棕色气体,因为 \(\ce{NO}\) 被氧化生成 \(\ce{NO2}\)
- 产生白雾,因为 \(\ce{NO2}\) 与氧气和水反应生成硝酸
- 产生白烟,因为硝酸与氨气生成 \(\ce{NH4NO3}\)
-
-
氨气还原氧化铜(现象:固体由黑变蓝,无水硫酸铜变蓝)
\[\ce{2NH3 + CuO \xlongequal{\,\triangle\,} N2 + Cu + 3H2O} \]
-
氨气处理氮氧化物
\[\ce{6NO + 4NH3 \xlongequal{催化剂} 5N2 + 6H2O} \]\[\ce{6NO + 8NH3 \xlongequal{催化剂} 7N2 + 12H2O} \]
-
3. 氨气的制备
-
氨气的实验室制备
\[\ce{Ca(OH)(s) + 2NH4Cl(s) \xlongequal{\,\triangle\,} CaCl2 + 2NH3 ^ + 2H2O} \]- 原料使用 \(\ce{Ca(OH)2}\) 而非 \(\ce{NaOH}\),因为后者易吸潮使氨气溶于水,并且加热还会腐蚀玻璃
- 试管口要向下倾斜
- 导管不能伸到试管底部,\(\ce{CaCl}\) 会堵塞导管
- 不用无水 \(\ce{CaCl2}\),因为会吸收氨气,生成 \(\ce{CaCl2 * 8NH3}\)
- 用棉花塞住试管口,防止 \(\ce{NH3}\) 与空气对流,使收集到的气体更纯净
- 可以用水或稀硫酸尾气处理,但是由于氨气极易溶于水,要注意防倒吸
-
氨气的快速制法
- 加热浓氨水
- 加热 \(\ce{NH4HCO3}\)(只有它可以放在试管中加热生成氨气)\[\ce{NH4HCO3 \xlongequal{\,\triangle\,} NH3 ^ + CO2 ^ + H2O ^} \]
- \(\ce{NH4Cl \xlongequal{\quad} NH3 ^ + HCl ^}\),分解后的两物质极易生成氯化铵,不能采用
- \(\ce{(NH4)2SO4 \xlongequal{\,\triangle\,} 2NH3 ^ + H2SO4}\),试管向下倾斜,硫酸会流走
- \(\ce{NH4NO3}\) 两个氮会中和,加热不会生成氨气(有可能是 \(\ce{N2}\)、\(\ce{N2O}\)、\(\ce{NO}\) 等等),而且会爆炸
- \(\ce{(NH4)CO3}\) 不存在,在水中会迅速生成碳酸氢铵\[\ce{NH4+ + CO3^2- + H2O \xlongequal{\quad} NH3 * H2O + HCO3-} \]
二、铵盐
1. 化学性质
- 酸性\[\ce{NH4+ + OH- \xlongequal{\quad} NH3 * H2O} \]\[\ce{NH4+ + OH- \xlongequal{\,\triangle\,} NH3 ^ + H2O} \]
- 检验 \(\ce{NH4+}\):加碱,加热,生成气体使湿润红色石蕊试纸变蓝
- 还原性(铵根较稳定,只有次氯酸才可氧化它)\[\ce{3ClO- + 2NH4+ \xlongequal{\quad} 3Cl- + N2 ^ + 2H+ + 3H2O} \]
- 反应 \(pH\) 应该控制在弱酸性(\(6.0 \sim 6.5\)),太高氨气会溢出,太低会形成次氯酸,易分解
- 不稳定性(见氨气快速制法)
第十章 硝酸与硝酸盐
一、硝酸
1. 物理性质
- 色、味、态
- 常温常压下,硝酸是无色、具有刺激性气味的透明液体
- 浓硝酸通常因为溶有二氧化氮而呈黄色
- \(85\%\) 以上的浓硝酸在空气中猛烈发烟,被称为发烟硝酸
- 溶解性:硝酸与水混溶,通常质量分数 \(\ge 68 \%\) 的硝酸,或浓度 \(> 15\,\mathrm{mol/L}\) 的硝酸被认为是浓硝酸
- 挥发性:硝酸易挥发,在空气中产生白雾
2. 化学性质
- 强酸性
-
硝酸为一元强酸,稀硝酸能使石蕊变红(浓硝酸会使石蕊先变红后褪色)
-
电离
\[\ce{HNO3 \xlongequal{\quad} H+ + NO3-} \] -
与碱反应
\[\ce{NaOH + HNO3 \xlongequal{\quad} NaNO3 + H2O} \]\[\ce{NH3 + HNO3 \xlongequal{\quad} NH4NO3} \] -
\(\ce{K} \sim \ce{Ag}\) 可溶与硝酸,\(\ce{Pt}\)、\(\ce{Au}\) 不溶,溶于王水(浓盐酸和浓硝酸按 \(3 : 1\) 配得)
-
- 氧化性\[\begin{array}{} \text{还原性} & \stackrel{-2}{\ce{S}} & \approx & \stackrel{+4}{\ce{S}} & > & \ce{I-} & > & \ce{Fe^{2+}} & > & \ce{Br-} & > & \ce{NO} & > & \ce{NO2} & > & \ce{Cl-} & > & \ce{Mn^{2+}} \\ \text{氧化性} & \ce{S} & \approx & \ce{SO4^{2-}} & < & \ce{I2} & < & \ce{Fe^{3+}} & < & \ce{Br2} & < & \text{稀}\ce{HNO3} & < & \text{浓}\ce{HNO3} & < & \ce{Cl2} & < & \ce{MnO4-} \end{array} \]
-
与 \(\ce{Cu}\) 反应(浓会变稀)
\[\ce{Cu + 4HNO3(浓) \xlongequal{\quad} Cu(NO3)2 + 2NO2 ^ + 2H2O} \]\[\ce{Cu + 8HNO3(稀) \xlongequal{\quad} 3Cu(NO3)2 + 2NO ^ + 4H2O} \]- 若铜过量,在反应后的溶液中加入稀硫酸,\(\ce{Cu}\) 会继续溶解(\(\ce{NO3-}\) 有剩余,\(\ce{H+}\) 由稀硫酸提供)
\[\ce{3Cu + 2NO3- + 8H+ \xlongequal{\quad} 3Cu^2+ + 2NO ^ + 4H2O} \] -
与 \(\ce{Fe}\) 反应
- \(\ce{Fe}\) 与浓硝酸反应(常温钝化;不会生成二价铁因为浓会变稀)
\[\ce{Fe + 6HNO3(浓) \xlongequal{\,\triangle\,} Fe(NO3)3 + 3NO2 ^ + 3H2O} \]- \(\ce{Fe}\) 与稀硝酸反应
\[\ce{Fe + NO3- + 4H+ \xlongequal{\quad} Fe^3+ + NO ^ + 2H2O} \]- 过量 \(\ce{Fe}\) 与稀硝酸反应(与 \(\ce{Fe + 2Fe^3+ \xlongequal{\quad} 3Fe^2+}\) 叠加)
\[\ce{3Fe + 2NO3- + 8H+ \xlongequal{\quad} 3Fe^2+ + 2NO ^ + 4H2O} \]
-
- 其他性质
- 不稳定性:硝酸不稳定,在加热或见光时会分解出 \(\ce{NO2}\),浓度越大越容易分解(生成气体不能使带火星木条复燃)\[\ce{4HNO3 \xlongequal{\triangle 或见光} 4NO2 ^ + O2 ^ + 2H2O} \]
- 浓硝酸有漂白性,稀硝酸没有漂白性(氧化性不够)
- 不稳定性:硝酸不稳定,在加热或见光时会分解出 \(\ce{NO2}\),浓度越大越容易分解(生成气体不能使带火星木条复燃)
3. 硝酸的制备
-
硝酸的实验室制备
- 原料:碳酸钠固体和浓硫酸
- 仪器:采用曲颈甑盛装试剂
- 反应方程式(利用浓硫酸的难挥发性;不能使用强热因为硝酸会分解;所有仪器由玻璃制成,因为硝酸腐蚀橡胶)\[\ce{NaNO3(s) + H2SO4(浓) \xlongequal{微热} NaHSO4 + HNO3 ^} \]
-
硝酸的工业制备
-
步骤
\[\ce{4NH3 + 5O2 \xlongequal[\triangle]{催化剂} 4NO + 6H2O} \]\[\ce{2NO + O2 \xlongequal{\quad} 2NO2} \]\[\ce{3NO2 + H2O \xlongequal{\quad} 2HNO3 + NO} \] -
装置
- 热交换器通过 \(\ce{2NO + O2 \xlongequal{\quad} 2NO2}\) 放热预热,节约能耗
- 吸收塔逆流吸收,增大气体与液体接触面积
-
二、硝酸盐
1.化学性质
-
受热分解
第十一章 钠和钠的化合物
一、金属钠
1. 物理性质
- 色、味、态:常温常压下,钠为具有银白色光泽的固体(大多数金属有金属光泽,除 \(\ce{Cu}\) 紫红色,\(\ce{Au}\) 金色;大多数金属粉末为黑色,除 \(\ce{Mg}\)、\(\ce{Al}\) 粉银白色,\(\ce{Cu}\) 粉红色)
- 熔沸点:钠的熔点比较低,为 \(97.8℃\)
- 密度:固态密度介于水和煤油之间(故 \(\ce{Na}\) 存放在水中)
- 其他性质:钠质软,可以用小刀切割
2. 化学性质
-
与水反应显碱性
\[\ce{2Na + 2H2O \xlongequal{\quad} 2NaOH + H2 ^} \]- 现象
- 浮:\(\ce{Na}\) 密度小于水,浮在水面上
- 熔:反应放热,\(\ce{Na}\) 熔点低,形成小球
- 游:生成 \(\ce{H2}\),推动 \(\ce{Na}\) 游走
- 响:\(\ce{H2}\) 放热会燃爆,发出嘶嘶响声
- 红:滴入酚酞,\(\ce{NaOH}\) 与酚酞变红
- \(\ce{Na}\) 与 \(\ce{HCl}\) 反应(与 \(\ce{NaOH + HCl \xlongequal{\quad} NaCl + H2O}\) 叠加)\[\ce{2Na + 2HCl \xlongequal{\quad} 2NaCl + H2 ^} \]
- \(\ce{Na}\) 与 \(\ce{CuSO4}\) 反应(与 \(\ce{CuSO4 + 2NaOH \xlongequal{\quad} Cu(OH)2 + Na2SO4}\) 叠加)\[\ce{2Na + 2H2O + CuSO4 \xlongequal{\quad} Cu(OH)2 v + Na2SO4 + H2 ^} \]
- 现象
-
还原性(与 \(\ce{O2}\)、\(\ce{S}\)、\(\ce{Cl2}\)、\(\ce{H2}\) 等可以反应)
- 与 \(\ce{S}\) 反应\[\ce{2Na + S \xlongequal{研磨爆炸} Na2S} \]
- 与 \(\ce{Cl2}\) 反应\[\ce{2Na + Cl2 \xlongequal{点燃} 2NaCl} \]
- 与 \(\ce{H2}\) 反应\[\ce{2Na + H2 \xlongequal{\,\triangle\,} 2NaH} \]
- \(\ce{NaH}\) 与 \(\ce{H2O}\) 反应\[\ce{NaH + H2O \xlongequal{\quad} NaOH + H2 ^} \]
- \(\ce{NaH}\) 与 \(\ce{H2O}\) 反应
- 与 \(\ce{O2}\) 反应
- \(\ce{Na}\) 放置在室内中\[\ce{\underset{银白}{Na} ->[O2] \underset{变暗}{Na2O} ->[H2O] \underset{吸潮}{NaOH} ->[CO2] \underset{白色固体}{Na2CO3}} \]
- \(\ce{Na}\) 与 \(\ce{O2}\) 点燃\[\ce{2Na + O2 \xlongequal{点燃} Na2O2(淡黄色固体)} \]
- \(\ce{Na2O2}\) 由 \(\ce{Na+}\) 和 \(\ce{O2^{2-}}\) 组成
- \(\ce{Li+}\) 与 \(\ce{O^2-}\) 生成 \(\ce{Li2O}\),\(\ce{Na+}\) 与 \(\ce{O2^2-}\) 生成 \(\ce{Na2O2}\),\(\ce{K+}\) 与 \(\ce{O2^-}\)(超氧根)生成 \(\ce{KO2}\)(半径依次增大)
- \(\ce{Na}\) 放置在室内中
- 与 \(\ce{S}\) 反应
二、氧化钠
1. 物理性质
- 白色粉末状固体
1. 化学性质
- 与水反应呈碱性(碱性氧化物)\[\ce{Na2O + H2O \xlongequal{\quad} 2NaOH} \]
三、过氧化钠
1. 物理性质
- 淡黄色粉末状固体
2. 化学性质
- 与水反应呈碱性,但不是碱性氧化物(碱性氧化物和水反应只生成碱,和酸反应只生成盐和水),同时也是歧化反应\[\ce{Na2O2 + H2O \xlongequal{\quad} 4NaOH + O2 ^} \]
- \(\ce{Na2O2}\) 与 \(\ce{CO2}\) 反应(与 \(\ce{CO2 + 2NaOH \xlongequal{\quad} Na2CO3 + H2O}\) 叠加;可以发现 \(\ce{H2O}\) 是这个反应的催化剂,因为它先消耗后生成)\[\ce{2Na2O2 + 2CO2 \xlongequal{\quad} 2Na2CO3 + O2 ^} \]
- \(\ce{Na2O2}\) 与 \(\ce{CuSO4}\) 反应(配平方法:把 \(\ce{Na2O2}\) 定 \(1\) 拆和)\[\ce{2Na2O2 + 2Cu^2+ + 2H2O \xlongequal{\quad} 2Cu(OH)2 v + 4Na+ + O2 ^} \]
- \(\ce{Na2O2}\) 与 \(\ce{FeCl2}\) 反应(配平方法:把 \(\ce{2Na2O2 + 2Fe^2+ + 2H2O \xlongequal{\quad} 2Fe(OH)2 v + 4Na+ + O2 ^}\) 与 \(\ce{4Fe(OH)2 + O2 + 2H2O \xlongequal{\quad} 4Fe(OH)3}\) 叠加)\[\ce{4Na2O2 + 4Fe^2+ + 6H2O \xlongequal{\quad} 4Fe(OH)3 v + 8Na+ + O2 ^} \]
- \(\ce{Na2O2}\) 与 \(\ce{CO2}\) 反应(与 \(\ce{CO2 + 2NaOH \xlongequal{\quad} Na2CO3 + H2O}\) 叠加;可以发现 \(\ce{H2O}\) 是这个反应的催化剂,因为它先消耗后生成)
- 氧化性与还原性
- \(\ce{Na2O2}\) 与 \(\ce{Na2SO3}\) 反应(主要体现氧化性)\[\ce{Na2O2 + SO3^2- + H2O \xlongequal{\quad} SO4^2- + 2Na+ + 2OH-} \]
- \(\ce{Na2O2}\) 与酸性 \(\ce{KMnO4}\) 反应(遇到较强氧化剂,体现还原性)\[\ce{2MnO4- + 5Na2O2 + 16H+ \xlongequal{\quad} 2Mn^2+ + 5O2 ^ + 10Na+ + 8H2O} \]
- 投入酚酞,先变红,后褪色
- \(\ce{Na2O2}\) 与 \(\ce{Na2SO3}\) 反应(主要体现氧化性)
四、氢氧化钠、碳酸钠与碳酸氢钠
1. 物理性质与俗称
- \(\ce{NaOH}\) 俗称烧碱,\(\ce{Na2CO3}\) 俗称苏打、纯碱,\(\ce{NaHCO3}\) 俗称小苏打
- 溶解度 \(\ce{NaHCO3} < \ce{Na2CO3}\)
- \(\ce{NaOH}\) 易潮解吸湿
2. 化学性质
-
\(\ce{CO2}\) 通入 \(\ce{Na2CO3}\)
\[\ce{CO2 + CO3^2- + H2O \xlongequal{\quad} 2HCO3-} \]\(\ce{CO2}\) 通入饱和 \(\ce{Na2CO3}\)(溶解度 \(\ce{NaHCO3} < \ce{Na2CO3}\),所以有沉淀)
\[\ce{CO2 + CO3^2- + H2O + 2Na+ \xlongequal{\quad} 2NaHCO3 v} \] -
向 \(\ce{Na2CO3}\) 中逐滴加 \(\ce{HCl}\)(现象:先无气泡,后产生气泡)
\[\ce{CO3^2- + H+ \xlongequal{\quad} HCO3-} \]\[\ce{HCO3- + H+ \xlongequal{\quad} CO2 ^ + H2O} \] -
向 \(\ce{HCl}\) 中逐滴加 \(\ce{Na2CO3}\)(现象:直接有气泡)
\[\ce{2H+ + CO3^2- \xlongequal{\quad} CO2 ^ + H2O} \]- 鉴别 \(\ce{Na2CO3}\) 与 \(\ce{HCl}\) 只需互滴
-
\(\ce{NaHCO3}\) 与 \(\ce{NaOH}\) 反应
\[\ce{NaHCO3 + NaOH \xlongequal{\quad} Na2CO3 + H2O} \] -
反应图像
-
在一个有 \(\ce{NaHCO3}\)、\(\ce{Na2CO3}\)、\(\ce{NaOH}\) 的其中两种的溶液中逐滴加 \(\ce{HCl}\),三者碱性依次增大,反应顺序先和碱性强的反应
-
\(\ce{NaOH}\) 与 \(\ce{Na2CO3}\) 混合滴 \(\ce{HCl}\)
\[\frac{n(\ce{NaOH})}{n(\ce{Na2CO3})} = \frac{a - (b - a)}{b - a} \] -
\(\ce{NaHCO3}\) 与 \(\ce{Na2CO3}\) 混合滴 \(\ce{HCl}\)
\[\frac{n(\ce{NaHCO3})}{n(\ce{Na2CO3})} = \frac{(b - a) - a}{a} \]
-
-
与 \(\ce{H2SO3}\) 的 \(N\) 形转换
\[酸性:\ce{H2SO3 > H2CO3 > HSO3- > HCO3-} \]\[碱性:\ce{HSO3- < HCO3- < SO3^2- < CO3^2-} \]- 少量 \(\ce{SO2}\) 通入 \(\ce{Na2CO3}\)\[\ce{SO2 + H2O + 2CO3^2- \xlongequal{\quad} SO3^2- + 2HCO3-} \]
- 过量 \(\ce{SO2}\) 通入 \(\ce{Na2CO3}\)\[\ce{2SO2 + H2O + CO3^2- \xlongequal{\quad} 2HSO3^- + CO2} \]
- 少量 \(\ce{SO2}\) 通入 \(\ce{Na2CO3}\)
-
碳酸氢钠受热分解
\[\ce{2NaHCO3 \xlongequal{\,\triangle\,} Na2CO3 + CO2 ^ + H2O} \]- \(a\,\mathrm{g}\) \(\ce{NaHCO3}\) 与 \(\ce{Na2CO3}\) 的混合物加热变为 \(b\,\mathrm{g}\),\(m(\ce{NaHCO3}) = \frac{a - b}{44 + 18} \times 2 \times 84\)
第十二章 铝及其化合物
一、氢氧化铝与铝盐
1. 物理性质
- 氢氧化铝是白色胶状沉淀,铝离子和四羟基合铝酸根离子都是无色离子
2. 化学性质
-
电离
\[\ce{Al(OH)3 <=> Al^3+ + 3OH-}\quad 碱式电离 \]\[\ce{Al(OH)3 + H2O <=> Al(OH)4- + H+}\quad 酸式电离 \]
-
向 \(\ce{AlCl3}\) 中逐滴加入 \(\ce{NaOH}\)(现象:先生成白色沉淀,后白色沉淀溶解)
\[\ce{Al^3+ + 3OH- \xlongequal{\quad} Al(OH)3 v} \]\[\ce{Al(OH)3 + OH- \xlongequal{\quad} Al(OH)4-} \]
-
向 \(\ce{NaOH}\) 中逐滴加入 \(\ce{AlCl3}\)(现象:先无沉淀,后生成白色沉淀)
\[\ce{Al^3+ + 4OH- \xlongequal{\quad} Al(OH)4-} \]\[\ce{Al^3+ + 3Al(OH)4- \xlongequal{\quad} 4Al(OH)3 v} \]
-
向 \(\ce{AlCl3}\) 中滴加 \(\ce{NH3 * H2O}\) 或反滴(只发生此反应,\(\ce{NH3 * H2O}\) 为弱碱,\(\ce{Al(OH)3}\) 不溶于它)
\[\ce{Al3+ + 3NH3 * H2O \xlongequal{\quad} Al(OH)3 v + 3NH4+} \] -
向 \(\ce{Na[Al(OH)4]}\) 中逐滴加 \(\ce{HCl}\)(现象:先生成沉淀,后沉淀消失)
\[\ce{Al(OH)4- + H+ \xlongequal{\quad} Al(OH)3 v + H2O} \]\[\ce{Al(OH)3 + 3H+ \xlongequal{\quad} Al^3+ + 3H2O} \]
-
向 \(\ce{HCl}\) 中逐滴加 \(\ce{Na[Al(OH)4]}\)(现象:先无沉淀,后出现沉淀)
\[\ce{Al(OH)4- + 4H+ \xlongequal{\quad} Al^3+ + 3H2O} \]\[\ce{Al^3+ + 3Al(OH)4- \xlongequal{\quad} 4Al(OH)3 v} \]
-
向 \(\ce{Na[Al(OH)4]}\) 中通 \(\ce{CO2}\)
\[\ce{2Al(OH)4- + CO2 \xlongequal{\quad} 2Al(OH)3 v + CO3^2- + H2O} \]\[\ce{CO2 + CO3^2- + H2O \xlongequal{\quad} 2HCO3-} \] -
离子反应顺序:中和反应 \(>\) 沉淀 \(>\) 溶液反应 \(>\) 沉淀溶解
-
向含 \(1\,\mathrm{mol}\,\ce{HCl}\)、\(1\,\mathrm{mol}\,\ce{AlCl3}\)、\(1\,\mathrm{mol}\,\ce{MgCl2}\)、\(1\,\mathrm{mol}\,\ce{NH4Cl}\) 的混合溶液中,逐滴加 \(\ce{NaOH}\)
\[1.\,\ce{H+ + OH- \xlongequal{\quad} H2O} \]\[2.\,\ce{Al^3+ + 3OH- \xlongequal{\quad} Al(OH)3 v} \]\[\quad\ce{Mg^2+ + 2OH- \xlongequal{\quad} Mg(OH)2 v} \]\[3.\,\ce{NH4+ + OH- \xlongequal{\quad} NH3 * H2O} \]\[4.\,\ce{Al(OH)3 + OH- \xlongequal{\quad} Al(OH)4-} \]
-
-
复杂图像:设少量为 \(1\)(因为少量一定会被反应完)
-
\(\ce{Al2(SO4)3}\) 中滴加 \(\ce{Ba(OH)2}\)
\[\ce{3Ba^2+ + 6OH- + 3SO4^2- + 2Al^3+ \xlongequal{\quad} 2Al(OH)3 v + 3BaSO4 v} \]\[\ce{Al(OH)3 + OH- \xlongequal{\quad} Al(OH)4-} \]
-
\(\ce{NH4Al(SO4)2}\) 中滴加 \(\ce{Ba(OH)2}\)
\[\ce{Ba^2+ + 2OH- + 3SO4^2- + 2Al^3+ \xlongequal{\quad} 2Al(OH)3 v + 3BaSO4 v} \]\[\ce{Ba^2+ + 2OH- + SO4^2- + 2NH4+ \xlongequal{\quad} BaSO4 v + 2NH3 * H2O} \]\[\ce{OH- + Al(OH)3 \xlongequal{\quad} Al(OH)4-} \]
-
-
二、氧化铝
1. 物理性质
- 白色固体,不溶于水
2. 化学性质
- 氢氧化铝的其他性质——受热分解\[\ce{2Al(OH)3 \xlongequal{\,\triangle\,} Al2O3 + 3H2O} \]
- 氧化铝与酸、碱的反应
- 氧化铝的电离(氧化铝不溶于水,反应程度非常小,加酸或碱后反应正向移动)\[\ce{Al2O3 + 3H2O <=> 2Al(OH)3} \]
- 氧化铝与酸反应\[\ce{Al2O3 + 6H+ \xlongequal{\quad} 2Al^3+ + 3H2O} \]
- 氧化铝与碱反应\[\ce{Al2O3 + 2OH- + 3H2O \xlongequal{\quad} 2Al(OH)4-} \]
- 氧化铝的电离(氧化铝不溶于水,反应程度非常小,加酸或碱后反应正向移动)
三、金属铝
1. 物理性质
银白色金属,粉末也为银白色
2.化学性质
- 与水、与酸、与碱的反应
- 与水反应(加酸、碱,平衡正向移动)\[\ce{2Al + 6H2O \xlongequal{沸水} 2Al(OH)3 + 3H2 ^} \]
- 与酸反应\[\ce{2Al + 6H+ \xlongequal{\quad} 2Al^3+ + 3H2 ^} \]
- 与碱反应(\(\ce{H2O}\) 为氧化剂,\(\ce{OH-}\) 只体现碱性)\[\ce{2Al + 2OH- + 3H2O \xlongequal{\quad} 2Al(OH)4- + 3H2 ^} \]
- 与水反应(加酸、碱,平衡正向移动)
- 还原性
-
与 \(\ce{O2}\)、\(\ce{Cl2}\)、\(\ce{S}\) 等反应(\(\ce{Al2S3}\) 与水反应生成 \(\ce{Al(OH)3}\)、\(\ce{H2S}\))
\[\ce{4Al + 3O2 \xlongequal{\quad} 2AlO3} \]\[\ce{4Al + 3Cl2 \xlongequal{点燃} 2AlCl3} \]\[\ce{2Al + 3S \xlongequal{\,\triangle\,} Al2S3} \] -
铝热反应(\(\ce{Al}\) 与 \(\ce{Fe2O3}\) 为铝热剂)
\[\ce{2Al + Fe2O3 \xlongequal{高温} Al2O3 + 2Fe} \] -
与氧化性酸反应(常温钝化,需加热)
\[\ce{2Al + 6H2SO4(浓) \xlongequal{\quad} Al2(SO4)3 + 3SO2 ^ + 6H2O} \]\[\ce{Al + 6HNO3(浓) \xlongequal{\quad} Al(NO3)3 + 3NO2 ^ + 3H2O} \]
-
第十三章 铁及其化合物
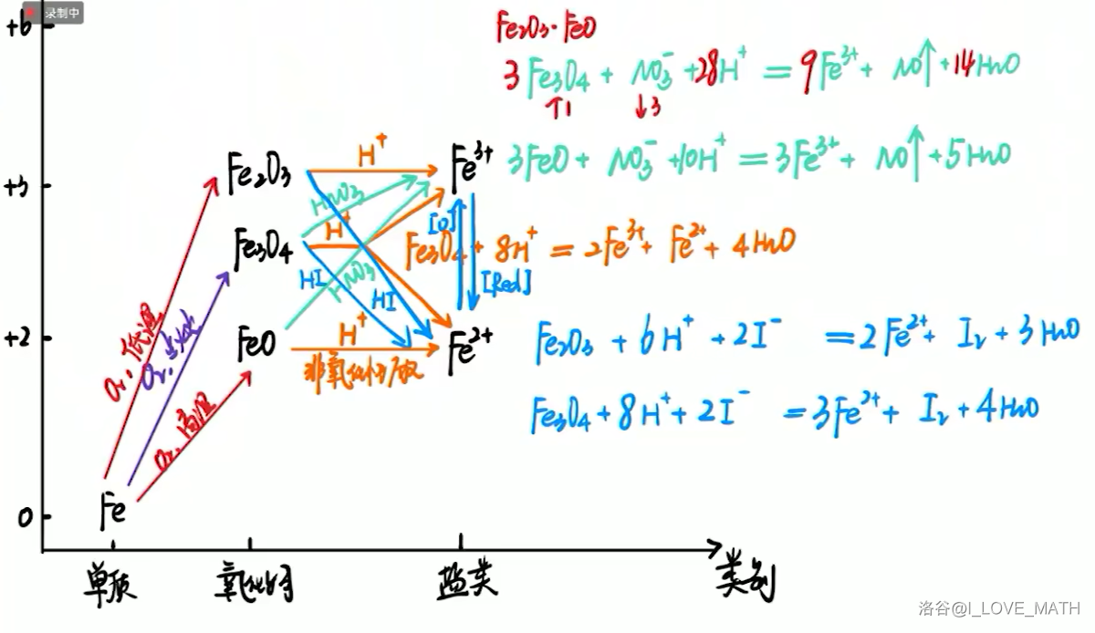
一、价类二维图与含铁物质的基本性质介绍
二、含铁物质间的转化关系
-
铁盐之间的转化
\[\ce{[O]} : \ce{Cl2,Br2,H2O2,KMnO4,NaClO}\cdots \]\[\ce{[Red]} : \ce{I-,S2-,SO2,Fe,Cu,H2O2}\cdots \]-
双氧水与铁盐反应
\[\ce{2Fe^2+ + H2O2 + 2H+ \xlongequal{\quad} 2Fe^3+ + 2H2O} \]\[\ce{2Fe^3+ + H2O2 \xlongequal{\quad} 2Fe^2+ + O2 ^ + 2H+} \]- 总反应(铁盐是双氧水分解的催化剂)\[\ce{2H2O2 \xlongequal{\ce{Fe^2+(或Fe^3+)}} 2H2O + O2 ^} \]
- 总反应(铁盐是双氧水分解的催化剂)
-
硫离子与铁盐反应
\[\ce{2Fe^3+ + S^2- \xlongequal{\quad} 2Fe^2+ + S v} \]\[\ce{Fe^2+ + S^2- \xlongequal{\quad} FeS v} \]- 总反应\[\ce{2Fe^3+ + 3S^2- \xlongequal{\quad} 2FeS v + S v} \]
- \(\ce{FeS}\) 是沉淀(黑)
- 总反应
-
硫化氢与铁盐反应
\[\ce{2Fe^3+ + H2S \xlongequal{\quad} 2Fe^2+ + S v + 2H+} \]- 此反应为唯一反应,\(\ce{Fe^2+ + H2S \xlongequal{\quad} FeS + 2H+}\) 不发生,因为弱酸不能制强酸(但可加碱,使平衡正向移动)
-
-
碱的反应
- \(\ce{Fe(OH)2}\) 被氧化(现象:白色沉淀,迅速变为灰绿色,最终变为红褐色)\[\ce{Fe(OH)2 + O2 + 2H2O \xlongequal{\quad} 4Fe(OH)3} \]
-
看到白色沉淀的方法:煮沸 \(\ce{NaOH}\),除去溶解氧,再油封,最后滴入加 \(\ce{Fe}\) 粉煮沸的 \(\ce{FeSO4}\)(仍然会有灰绿色因为胶头滴管内有空气)
-
更好方法
- \(\ce{H2SO4}\) 滴下,产生 \(\ce{H2}\) 打开 \(K\)
- 验纯后,关闭 \(K\),\(\ce{FeSO4}\) 从左侧被压到右侧,可长时间看到白色沉淀
-
- \(\ce{Fe(OH)2}\) 被氧化(现象:白色沉淀,迅速变为灰绿色,最终变为红褐色)
-
由 \(\ce{Fe(OH)3}\) 制备 \(\ce{FeO4^2-}\):碱性条件通 \(\ce{Cl2}\)(氧化性 \(\ce{Cl2 > FeO4^2-}\))
\[\ce{3Cl2 + 2Fe(OH)3 + 10OH- \xlongequal{\quad} 2FeO4^2- + 6Cl- + 8H2O} \]- 酸性条件(加 \(\ce{H2SO4}\))\[\ce{4FeO4^2- + 20H+ \xlongequal{\quad} 4Fe^3+ + 3O2 + 10H2O} \]
- 酸性条件(加 \(\ce{HCl}\);氧化性 \(\ce{Cl2 < FeO4^2-}\))\[\ce{2FeO4^2- + 6Cl- + 16H+ \xlongequal{\quad} 2Fe^3+ + 3Cl2 + 8H2O} \]
- 中性条件(\(\ce{FeO4^2-}\) 体现氧化性,能消毒,\(\ce{K2FeO4}\) 是高效净水剂;\(\ce{Fe(OH)3(胶体)}\) 有吸附性,能净水)\[\ce{4FeO4^2- + 10H2O \xlongequal{\quad} 4Fe(OH)3(胶体) + 3O2 ^ + 8OH-} \]
- 酸性条件(加 \(\ce{H2SO4}\))
三、几个重要的反应模型
-
过量铁和浓硝酸反应
-
\(\ce{Fe}\) 与浓 \(\ce{HNO3}\) 常温钝化
-
加热
\[\ce{Fe + H + 3NO3- \xlongequal{\,\triangle\,} Fe^3+ + 3NO2 ^ + 3H2O} \] -
浓 \(\ce{HNO3}\) 变稀
\[\ce{Fe + 4H+ + NO3- \xlongequal{\quad} Fe^3+ + NO ^ + 2H2O} \] -
\(\ce{Fe}\) 粉过量
\[\ce{Fe + 2Fe^3+ \xlongequal{\quad} 3Fe^2+} \] -
\(\ce{Fe(NO3)2 + HCl}\)
\[\ce{3Fe^2+ + NO3- + 4H+ \xlongequal{\quad} 3Fe^3+ + NO ^ + 2H2O} \]\[\ce{2Fe^3+ + Fe \xlongequal{\quad} 3Fe^2+} \]- 叠加:\(\ce{Fe}\) 粉溶解的过程
-
-
表面生锈的铁钉放入稀硫酸中
\[\begin{array}{} \text{还原性} & \ce{Zn} & > & \ce{Fe} & > & \ce{H2} & > & \ce{Cu} & > & \ce{Fe^2+} & > & \ce{Ag} \\ \text{氧化性} & \ce{Zn^2+} & < & \ce{Fe^2+} & < & \ce{H+} & < & \ce{Cu^2+} & < & \ce{Fe^3+} &< & \ce{Ag+} \end{array} \]- \(\ce{Fe2O3}\) 先反应(因为附着在表面)\[\ce{Fe2O3 + 6H+ \xlongequal{\quad} 2Fe^3+ + 3H2O} \]
- \(\ce{Fe^3+}\) 由于氧化性强,先和铁单质反应\[\ce{Fe + 2Fe^3+ \xlongequal{\quad} 3Fe^2+} \]
- \(\ce{Fe}\)、\(\ce{H2SO4}\) 都有剩余\[\ce{Fe + 2H+ \xlongequal{\quad} Fe^2+ + H2 ^} \]
- \(\ce{Fe2O3}\) 先反应(因为附着在表面)
四、铁离子和亚铁离子的检验方法
- \(\ce{Fe^2+}\) 浅绿,\(\ce{Fe^3+}\) 棕黄,但在稀溶液中看不出
- \(\ce{Fe^3+}\) 检验:加入 \(\ce{KSCN}\),溶液变成血红色(\(\ce{Fe(SCN)3}\) 溶液血红色)\[\ce{Fe^3+ + 3SCN- <=> Fe(SCN)3} \]
- \(\ce{Fe^2+}\) 检验:加入 \(\ce{KSCN}\),无现象,再加 \(\ce{H2O2}\),溶液变为血红色
- \(\ce{Fe^2+}\)、\(\ce{Fe^3+}\) 混合溶液检验:\(\ce{Fe^3+}\) 用 \(\ce{KSCN}\),检验 \(\ce{Fe^2+}\) (在无其他还原性离子情况下)滴入酸性 \(\ce{KMnO4}\),紫色褪去,则有 \(\ce{Fe^2+}\)(本方法使用前提是需要提前知道含两种离子)
第十四章 元素周期表
一、周期表背诵要求
| 周期 | 1 | 2 | 3 | 4 | 5 | 6 | 7 | 8 | 9 | 10 | 11 | 12 | 13 | 14 | 15 | 16 | 17 | 18 |
|---|---|---|---|---|---|---|---|---|---|---|---|---|---|---|---|---|---|---|
| 1 | \(\ce{H}\) 氢 |
\(\ce{He}\) 氦 |
||||||||||||||||
| 2 | \(\ce{Li}\) 锂 |
\(\ce{Be}\) 铍 |
\(\ce{B}\) 硼 |
\(\ce{C}\) 碳 |
\(\ce{N}\) 氮 |
\(\ce{O}\) 氧 |
\(\ce{F}\) 氟 |
\(\ce{Ne}\) 氖 |
||||||||||
| 3 | \(\ce{Na}\) 钠 |
\(\ce{Mg}\) 镁 |
\(\ce{Al}\) 铝 |
\(\ce{Si}\) 硅 |
\(\ce{P}\) 磷 |
\(\ce{S}\) 硫 |
\(\ce{Cl}\) 氯 |
\(\ce{Ar}\) 氩 |
||||||||||
| 4 | \(\ce{K}\) 钾 |
\(\ce{Ca}\) 钙 |
\(\ce{Sc}\) 钪 |
\(\ce{Ti}\) 钛 |
\(\ce{V}\) 钒 |
\(\ce{Cr}\) 铬 |
\(\ce{Mn}\) 锰 |
\(\ce{Fe}\) 铁 |
\(\ce{Co}\) 钴 |
\(\ce{Ni}\) 镍 |
\(\ce{Cu}\) 铜 |
\(\ce{Zn}\) 锌 |
\(\ce{Ga}\) 镓 |
\(\ce{Ge}\) 锗 |
\(\ce{As}\) 砷 |
\(\ce{Se}\) 硒 |
\(\ce{Br}\) 溴 |
\(\ce{Kr}\) 氪 |
| 5 | \(\ce{Rb}\) 铷 |
\(\ce{Sr}\) 锶 |
\(\ce{Y}\) 钇 |
\(\ce{Zr}\) 锆 |
\(\ce{Nb}\) 铌 |
\(\ce{Mo}\) 钼 |
\(\ce{Tc}\) 锝 |
\(\ce{Ru}\) 钌 |
\(\ce{Rh}\) 铑 |
\(\ce{Pd}\) 钯 |
\(\ce{Ag}\) 银 |
\(\ce{Cd}\) 镉 |
\(\ce{In}\) 铟 |
\(\ce{Sn}\) 锡 |
\(\ce{Sb}\) 锑 |
\(\ce{Te}\) 碲 |
\(\ce{I}\) 碘 |
\(\ce{Xe}\) 氙 |
| 6 | \(\ce{Cs}\) 铯 |
\(\ce{Ba}\) 钡 |
* | \(\ce{Hf}\) 铪 |
\(\ce{Ta}\) 钽 |
\(\ce{W}\) 钨 |
\(\ce{Re}\) 铼 |
\(\ce{Os}\) 锇 |
\(\ce{Ir}\) 铱 |
\(\ce{Pt}\) 铂 |
\(\ce{Au}\) 金 |
\(\ce{Hg}\) 汞 |
\(\ce{Tl}\) 铊 |
\(\ce{Pb}\) 铅 |
\(\ce{Bi}\) 铋 |
\(\ce{Po}\) 钋 |
\(\ce{At}\) 砹 |
\(\ce{Rn}\) 氡 |
| 7 | \(\ce{Fr}\) 钫 |
\(\ce{Ra}\) 镭 |
** | \(\ce{Rf}\) 𬬻 |
\(\ce{Db}\) 𬭊 |
\(\ce{Sg}\) 𬭳 |
\(\ce{Bh}\) 𬭛 |
\(\ce{Hs}\) 𬭶 |
\(\ce{Mt}\) 鿏 |
\(\ce{Ds}\) 𫟼 |
\(\ce{Rg}\) 𬬭 |
\(\ce{Cn}\) 鿔 |
\(\ce{Nh}\) 鿭 |
\(\ce{Fl}\) 𫓧 |
\(\ce{Mc}\) 镆 |
\(\ce{Lv}\) 𫟷 |
\(\ce{Ts}\) 鿬 |
\(\ce{Og}\) 鿫 |
镧系元素(Lanthanides)
| * | \(\ce{La}\) 镧 |
\(\ce{Ce}\) 铈 |
\(\ce{Pr}\) 镨 |
\(\ce{Nd}\) 钕 |
\(\ce{Pm}\) 钷 |
\(\ce{Sm}\) 钐 |
\(\ce{Eu}\) 铕 |
\(\ce{Gd}\) 钆 |
\(\ce{Tb}\) 铽 |
\(\ce{Dy}\) 镝 |
\(\ce{Ho}\) 钬 |
\(\ce{Er}\) 铒 |
\(\ce{Tm}\) 铥 |
\(\ce{Yb}\) 镱 |
\(\ce{Lu}\) 镥 |
|---|
锕系元素(Actinides)
| ** | \(\ce{Ac}\) 锕 |
\(\ce{Th}\) 钍 |
\(\ce{Pa}\) 镤 |
\(\ce{U}\) 铀 |
\(\ce{Np}\) 镎 |
\(\ce{Pu}\) 钚 |
\(\ce{Am}\) 镅 |
\(\ce{Cm}\) 锔 |
\(\ce{Bk}\) 锫 |
\(\ce{Cf}\) 锎 |
\(\ce{Es}\) 锿 |
\(\ce{Fm}\) 镄 |
\(\ce{Md}\) 钔 |
\(\ce{No}\) 锘 |
\(\ce{Lr}\) 铹 |
|---|
二、金属性与非金属性的定义
1. 金属性与非金属性(元素)
- 金属性:元素原子的失电子能力
- 非金属性:元素原子的得电子能力
- 变化规律
- 同周期,从左到右,非金属性增强,金属性减弱
- 同主族,从上到下,金属性增强,非金属性减弱
- 金属性与非金属性针对主族元素
2. 失电子能力与得电子能力(原子)
-
失电子能力
- 定量表述:电离能(元素原子(气态)失去 \(\ce{e-}\) 所需要的能量)
- 定量表述:电离能(元素原子(气态)失去 \(\ce{e-}\) 所需要的能量)
-
得电子能力
-
定量表述:电负性(元素原子在化合物中的吸电子能力)
- 化合物的共用电子对会偏向电负性强的元素原子,形成极性共价键;当极性特别强时,会形成离子键
- 电负性强的元素显示负价
-
最高价氧化物的水化物的酸碱
- 最高正价 = 最外层电子数(主族元素,除 \(\ce{O}\)、\(\ce{F}\))
-
原理
- 金属性越强,\(\ce{M - OH}\) 键极性增强,\(\ce{OH-}\) 更易电离,碱性增强
- 非金属性越强,\(\ce{M}\) 吸 \(\ce{O-H}\) 中的电子,\(\ce{O}\) 又吸 \(\ce{H}\) 的电子,\(\ce{O-H}\) 极性增强,酸性增强
- 金属性越强,\(\ce{M - OH}\) 键极性增强,\(\ce{OH-}\) 更易电离,碱性增强
-
\(\ce{HClO4}\) 和 \(\ce{H2SO4}\) 酸性 \(\ce{HClO4}\) 酸性 \(\ce{HClO4}\) 更强,但是等浓度 \(\ce{HClO4}\) 和 \(\ce{H2SO4}\) 溶液,\(\ce{H2SO4}\) 的 \(pH\) 更小
这是因为 \(pH=-\lg[\ce{H+}]\),而
\[\ce{HClO4 \xlongequal{\quad} H+ + ClO4-} \]\[\ce{H2SO4 \xlongequal{\quad} 2H+ + SO4-} \]两者都是完全电离,因此后者的氢离子浓度更大,\(pH\) 更小
但是酸性事实上比较的是两者的 \(K\) 值,前者 \(K\) 值更大,因此酸性更大
另外,如果换冰醋酸作溶剂,两者都会变成可逆电离
-
一定要用最高价氧化物的水化物,例如 \(\ce{HCl > H2S}\) 不能证明 \(\ce{Cl}\) 金属性强于 \(\ce{S}\),反例:次磷酸 \(\ce{H3PO2}\) 是一元酸(因为只有一个羟基氧),而且是强酸,拿它过来比不合适,因为结构不同,所以比较前提是结构相似,而最高价氧化物的水化物结构一定相似,因此需要用最高价氧化物的水化物
-
可用最高价氧化物水化物比较的情况
- 确定是氧化物水化物
- \(\ce{O}\)、\(\ce{F}\) 不可以(因为没有最高价氧化物水化物)
-
-
变化规律
- 电子层数越大,得电子能力下降,失电子能力越大
- 核电荷数越大,得电子能力越大,失电子能力越小
3. 还原性与氧化性(物质)
- 还原性:物质的失电子能力
- 氧化性:物质的得电子能力
- 比较:氧化剂 \(>\) 氧化产物
- 用单质的置换反应比较金属性或非金属性
-
比较 \(\ce{S}\)、\(\ce{Cl}\) 的非金属性
\[\ce{Cl2 + H2S \xlongequal{\quad} S + 2HCl} \]\[\ce{Cl2 + Na2S \xlongequal{\quad} S + 2NaCl} \]- \(\ce{Cl2}\) 是氧化剂、\(\ce{S}\) 是氧化产物
-
比较 \(\ce{Mg}\)、\(\ce{Al}\) 的金属性
\[\ce{3Mg + 2AlCl3 \xlongequal{\quad} 2Al + 3MgCl2} \]
-
- 用强制弱比较金属性或非金属性
- 比较 \(\ce{P}\)、\(\ce{S}\) 的非金属性(需结合最高价氧化物的水化物知识)\[\ce{3H2SO4 + 2Na3PO4 \xlongequal{\quad} 2H3PO4 + 3Na2SO4} \]
- 比较 \(\ce{P}\)、\(\ce{S}\) 的非金属性(需结合最高价氧化物的水化物知识)
- 用单质与氢气化的的难易程度或气态氢化物的稳定性比较非金属性
- 比较 \(\ce{P}\)、\(\ce{S}\)、\(\ce{Cl}\) 的非金属性
-
先找出一种还原剂与 \(\ce{P}\)、\(\ce{S}\)、\(\ce{Cl}\) 反应,例如 \(\ce{H2}\) 就是一种不错的还原剂,再比较难易程度
-
单质与氢气化合的难易程度(从上到下由难到易)
\[\ce{2P + 3H2 \xlongequal{持续 \triangle} 2PH3} \]\[\ce{S + H2 \xlongequal{\,\triangle\,} H2S} \]\[\ce{Cl2 + H2 \xlongequal{点燃} 2HCl} \] -
气态氢化物的稳定性
- 比较 \(\ce{PH3}\)、\(\ce{H2S}\)、\(\ce{HCl}\) 的分解温度,从左到右由易到难
-
使用氢气的原因:例如大多数非金属能与氧气反应,但是不能用氧气,因为我们要使其体现氧化性,而用氧气会使其体现还原性
例如:
\[\ce{2C + SiO4 \xlongequal{高温} Si + 2CO} \]此反应不能比较两者非金属性,因为 \(\ce{C}\) 体现还原性,而我们需要其体现氧化性
-
- 比较 \(\ce{P}\)、\(\ce{S}\)、\(\ce{Cl}\) 的非金属性
- 与等浓度 \(\ce{H+}\) 反应比较金属性
-
比较 \(\ce{Mg}\)、\(\ce{Al}\) 金属性(用酸)
\[\ce{2Mg + HCl \xlongequal{\quad} MgCl2 + H2 ^} \]\[\ce{2Al + 6HCl \xlongequal{\quad} 2AlCl3 + 3H2 ^} \]- 前者更剧烈,所以金属性强
- 需保证 \(\ce{Mg}\)、\(\ce{Al}\) 表面积相同,并且盐酸等浓度
-
比较 \(\ce{Na}\)、\(\ce{Mg}\)、\(\ce{Al}\) 金属性(用水)
\[\ce{2Na + 2H2O \xlongequal{\quad} 2NaOH + H2 ^} \]\[\ce{Mg + 2H2O \xlongequal{\triangle} Mg(OH)2 + H2 ^} \]\[\ce{2Al + 6H2O \xlongequal{沸水} 2Al(OH)3 + 3H2 ^} \]- \(\ce{H2O}\) 中 \(c(\ce{H+})\) 一定相等
- 三者反应条件依次变难,金属性依次减小
- 由于三者反应条件差距很大,所以不需要太严格,表面积影响不大
-
三、周期律的规律总结
四、原电池(比较金属性的特殊方法)
- \(\ce{H+}\) 会在 \(\ce{Cu}\) 处得电子,因为 \(\ce{Zn}\) 端反应一会儿后会被 \(\ce{Zn^2+}\) 包裹,会与 \(\ce{H+}\) 排斥,所以电子会沿着导线跑到 \(\ce{Cu}\) 端,\(\ce{H+}\) 遂在 \(\ce{Cu}\) 上得电子,反应速率比直接把 \(\ce{Zn}\) 插入稀硫酸快
- 金属性强的,作负极,发生反应
- 负极反应\[\ce{Zn - 2e- \xlongequal{\quad} Zn^2+} \]
- 正极反应\[\ce{2H+ + 2e- \xlongequal{\quad} H2 ^} \]

浙公网安备 33010602011771号