图-cnblog
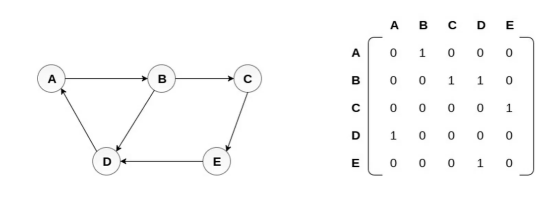
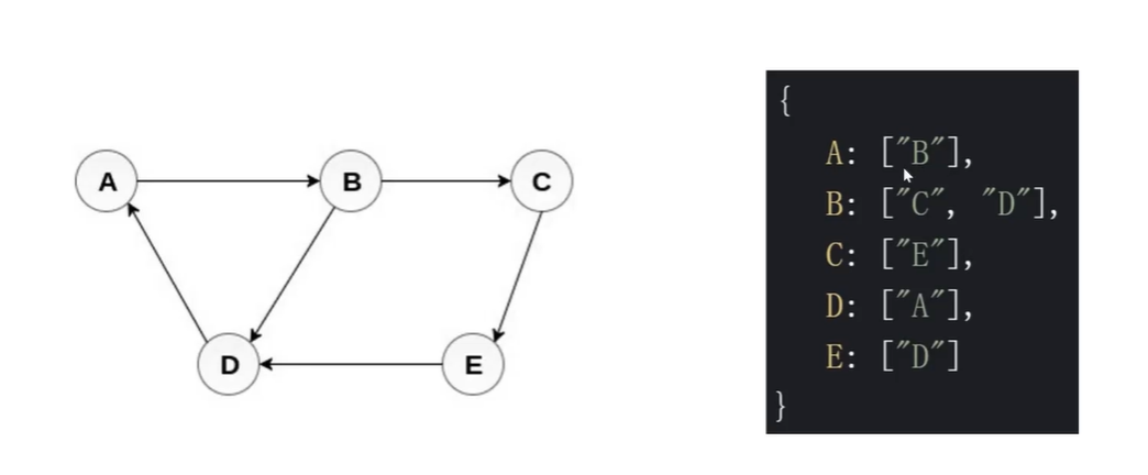
图
- 一个二元关系
图的表示法
- 邻接矩阵
- 邻接表
图的遍历
- 深度优先搜索
- 访问根节点(开始节点)
- 循环访问没有访问过的邻接节点(递归,新节点跳回第一步)
- 广度优先搜索
- 维护一个队列
- 节点入队(第一次开始节点)
- 节点出队并访问,把当前节点没有访问过的邻接节点入队(循环第三步,直到队列为空)
LeetCode 题目
65. 有效数字
有效数字(按顺序)可以分成以下几个部分:
- 一个 小数 或者 整数
- (可选)一个
'e'或'E',后面跟着一个 整数
小数(按顺序)可以分成以下几个部分:
- (可选)一个符号字符(
'+'或'-') - 下述格式之一:
- 至少一位数字,后面跟着一个点
'.' - 至少一位数字,后面跟着一个点
'.',后面再跟着至少一位数字 - 一个点
'.',后面跟着至少一位数字
- 至少一位数字,后面跟着一个点
整数(按顺序)可以分成以下几个部分:
- (可选)一个符号字符(
'+'或'-') - 至少一位数字
部分有效数字列举如下:["2", "0089", "-0.1", "+3.14", "4.", "-.9", "2e10", "-90E3", "3e+7", "+6e-1", "53.5e93", "-123.456e789"]
部分无效数字列举如下:["abc", "1a", "1e", "e3", "99e2.5", "--6", "-+3", "95a54e53"]
给你一个字符串 s ,如果 s 是一个 有效数字 ,请返回 true 。
示例 1:
输入:s = "0"
输出:true
示例 2:
输入:s = "e"
输出:false
示例 3:
输入:s = "."
输出:false
提示:
1 <= s.length <= 20s仅含英文字母(大写和小写),数字(0-9),加号'+',减号'-',或者点'.'。
解题思路
-
使用刚刚学习的图
-
有效状态自动机
// blank 表示空格 // sign 表示正负号 // digit 表示数字 // dot 就是小数点 // e 就是 e // 初态0 const graph={ // 每次可以的走法,即加上一个新的字符会怎样 // 空格 0:{'blank':0,'digit':1,'dot':2,'sign':3}, // [0-9] 满足 1:{'digit':1,'dot':4,'e':5,'E':5}, // . 2:{'digit':4}, // [+-] 3:{'digit':1,'dot':2,}, // [0-9]. .[0-9] 满足 4:{'digit':4,'e':5,'E':5}, // .[0-9][e/E] [0-9].[e/E] 5:{'sign':6,'digit':7}, // .[0-9][e/E][+-] [0-9].[e/E][+-] 6:{'digit':7}, // 满足 7:{'digit':7} } -
符合题意的状态
1,4,7 -
完整代码
/**
* @param {string} s
* @return {boolean}
*/
var isNumber = function (s) {
// blank 表示空格
// sign 表示正负号
// digit 表示数字
// dot 就是小数点
// e 就是 e
// 初态0
const graph = {
// 每次可以的走法,即加上一个新的字符会怎样
// 空格
0: { blank: 0, digit: 1, dot: 2, sign: 3 },
// [0-9] 满足
1: { digit: 1, dot: 4, e: 5, E: 5 },
// .
2: { digit: 4 },
// [+-]
3: { digit: 1, dot: 2 },
// [0-9]. .[0-9] 满足
4: { digit: 4, e: 5, E: 5 },
// .[0-9][e/E] [0-9].[e/E]
5: { sign: 6, digit: 7 },
// .[0-9][e/E][+-] [0-9].[e/E][+-]
6: { digit: 7 },
// 满足
7: { digit: 7 }
}
// 遍历字符串
let state = 0
for (let i = 0; i < s.length; i++) {
// console.log(s[i])
// console.log(parseInt(s[i])-48)
// if(s[i]-48>=0 && s[i]-48<=9){
// console.log(s[i])
// }
// console.log(s[i].charCodeAt())
let code = s[i].charCodeAt()
if (code - 48 >= 0 && code - 48 <= 9) {
state = graph[state]['digit']
} else if (s[i] === 'e' || s[i] === 'E') {
state = graph[state]['e']
} else if (s[i] === '.') {
state = graph[state]['dot']
} else if (s[i] === '+' || s[i] === '-') {
state = graph[state]['sign']
} else {
return false
}
console.log(state)
if (!state) {
return false
}
}
if (state === 1 || state === 4 || state === 7) {
return true
}
return false
}
417. 太平洋大西洋水流问题
难度中等536收藏分享切换为英文接收动态反馈
有一个 m × n 的矩形岛屿,与 太平洋 和 大西洋 相邻。 “太平洋” 处于大陆的左边界和上边界,而 “大西洋” 处于大陆的右边界和下边界。
这个岛被分割成一个由若干方形单元格组成的网格。给定一个 m x n 的整数矩阵 heights , heights[r][c] 表示坐标 (r, c) 上单元格 高于海平面的高度 。
岛上雨水较多,如果相邻单元格的高度 小于或等于 当前单元格的高度,雨水可以直接向北、南、东、西流向相邻单元格。水可以从海洋附近的任何单元格流入海洋。
返回网格坐标 result 的 2D 列表 ,其中 result[i] = [ri, ci] 表示雨水从单元格 (ri, ci) 流动 既可流向太平洋也可流向大西洋 。
示例 1:

输入: heights = [[1,2,2,3,5],[3,2,3,4,4],[2,4,5,3,1],[6,7,1,4,5],[5,1,1,2,4]]
输出: [[0,4],[1,3],[1,4],[2,2],[3,0],[3,1],[4,0]]
示例 2:
输入: heights = [[2,1],[1,2]]
输出: [[0,0],[0,1],[1,0],[1,1]]
提示:
m == heights.lengthn == heights[r].length1 <= m, n <= 2000 <= heights[r][c] <= 105
解题思路
1. 考虑使用深度优先搜索
2. 遍历矩阵四周可以逆流而上的所有格子
3. 同时向大西洋和太平洋逆流而上的所有格子


浙公网安备 33010602011771号