汇编-检测题1

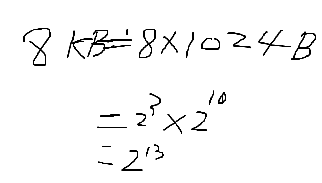
1.某机子的寻址能力是8K,问:地址总线宽度是多少?

地址总线宽度是13
2. 1KB的存储器有______个存储单元,存储单元编号从______到________
答案:1024 0 1023
3.1KB的存储单元可以存储_____bit,_______Byte
答案:8192 1024
4.数据总线分别为8根、16根、32根,则他们一次可以传送的数据分别是多少?
答案:1B 2B 4B
5.从内存中读取1024字节数据,8086至少要读______次,80386至少要读______次
答案:8086数据总线宽度是16,每次读取2B,所以需要512次
80386数据总线宽度是32,每次读取4B,所以需要256次
6.在存储器中,数据和指令是以_______形式存放的
答案:二进制


浙公网安备 33010602011771号