OI中经常用的数学/数论/其他公式和数学/数论相关技巧整理其一
等差数列求和公式:(梦开始的地方)

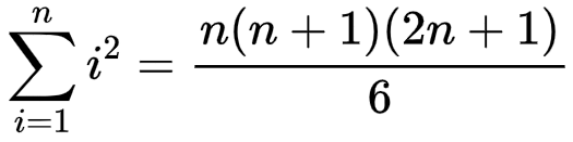
有些变化的等差数列求和公式:

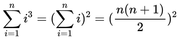
又有了些变化:

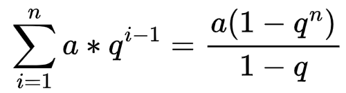
等比数列求和公式:

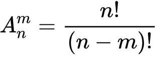
排列数:

圆排列:

组合数:

组合数的dp式:

卡兰特数:

碾转相除求gcd:

gcd奇妙用法1:

gcd奇妙用法2:

唯一分解定理:
任何一个大于1的整数n都可以分解成若干个素因数的连乘积,如果不计各个素因数的顺序,那么这种分解是惟一的
(下面是一些计算几何)
正n边形面积计算公式(边长为x):
$S=\frac{n x^{2}}{4\tan \left(\frac{\pi}{n}\right)} $
点到直线距离:


浙公网安备 33010602011771号