0717果苣之手
简要题意:
一副牌有n张,编号为1,2,...,n。初始阶段牌按顺序排列(即位于i号未知的牌恰好是i号牌)。
我们会进行m次洗牌,每次洗牌会将原本位于位置i的牌洗到pi,而p1,p2,...,pn构成了一个排列
问最后发牌时的顺序。
分析:
由于pi是1到n的一种排列,所以我们可以知道:
洗牌,是有很多个环的!
换句话说,i号位置最后是哪张牌,在其构成的环内,有周期性。

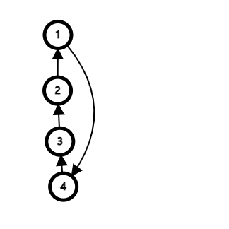
以上图为例,n=4;p1=2;p2=3;p3=4;p4=1
经过一次洗牌,1号会换到4处,2号会换到1处,以此类推。
所以,它的周期为环内点的个数:4
我们处理时,只需要把每个这样的环单独处理,将 m%周期,然后DFS
#include<bits/stdc++.h> using namespace std; #define re register int const int N=3e5+5; int n, sum[N], fa[N]; int getf(const int x) { if(fa[x]==x)return x; return fa[x]=getf(fa[x]); } int getnet,father,gt[N],to[N],Ans[N],check[N]; void DFS(const int x,const int id) { check[x]=1;gt[id]=x; if(!check[to[x]])DFS(to[x],id+1); int tmp=id+getnet;if(tmp>sum[father])tmp-=sum[father]; Ans[x]=gt[tmp]; } char rdin[N]; map<int,int>mp; signed main() { scanf("%d",&n);scanf("%s",&rdin[1]);rdin[0]='0'; for(re i=1;i<=n;++i)fa[i]=i,sum[i]=1; for(re i=1;i<=n;++i) { int x;scanf("%d",&x);to[x]=i; int f1=getf(i),f2=getf(x); if(f1!=f2)fa[f1]=f2,sum[f2]+=sum[f1]; } for(re i=1;i<=n;++i) if(!check[i]) { getnet=0;father=getf(i); if(!mp.count(sum[father])) { int tmp=0; for(re j=1,len=strlen(rdin)-1;j<=len;++j) tmp=((tmp<<1)+(tmp<<3)+(rdin[j]-'0'))%sum[father]; mp[sum[father]]=tmp; } getnet=mp[sum[father]]; DFS(i, 1); } for(re i=1;i<=n;++i)printf("%d ",Ans[i]); return 0; }
值得注意的是,m<=10100000,对此我们只需要像“快读”一样,处理一下即可!
“读题马虎一时,爆零心痛一世!”----《kzsn语录》kzsn

浙公网安备 33010602011771号