DGL 2 消息传递机制
DGL开发者,并不是将各种模型进行堆砌
而是将GNN抽象为MPNN
- 图的表示
(1)可视化
画出来节点和边
难以进行数学运算
(2)邻接矩阵
不直观
容易进行数学运算

上述的图,转化为邻接矩阵

将X的特征和邻接矩阵做乘法

矩阵乘法的本质就是在图上做消息传播,每个节点会将特征沿着边,发送到目标节点,目标节点会累加得到的特征
X0没有受到如何消息,因此为0;X1受到了所有点的消息
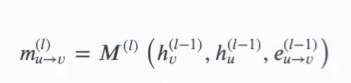
(3)消息传递机制
一种更加广义的矩阵乘法:不仅考虑源节点的特征,还考虑的边的特征以及目标节点的特征

U到V的消息,是由V的特征,U的特征,以及边的特征构成的

聚合函数:可以求和,求均值,求方差等等

更新函数:将聚合后的消息函数和上一时间的节点特征结合,更新节点的下一阶段特征
浙公网安备 33010602011771号