组合数学练习题
排列组合
知识补充
例题

除非有方法限制,否则从简单的排列组合模型开始尝试
难以下手的思路(主要是因为\(m,n\)固定了):
- 用容斥则会简单问题复杂化,比这里(36题)还复杂.
- 用递推式:\(a_{m,n}=a_{m,n-1}+a_{m-1,n-1},\quad a_{0,0}=1,a_{x,0}=0,a_{0,x}=1\)

多重集的所有组合方式的计数,实际上可以用生成函数证明
上述题目的所有组合数即\((1+x+x^2+x^3)(1+x+x^2)(1+x)\)的系数,即可令\(x=1\),得到\(4\times3\times2=24\),至少有数即\(24-1=23\)
\(n\)个相同元素构成的线排列中取\(k\)个不相邻元素的不同取法是多少?环排列时取法又是多少?元素间隔不小于\(d\)时取法又是多少?
答案:线排列时的组合数是\(\begin{pmatrix}n+1-k\\k\end{pmatrix}\),环排列时的组合数是\(\frac{n}{n-k}\begin{pmatrix}n-k\\k\end{pmatrix}\),线排列而元素间间隔不小于\(d\)的组合数是\(\begin{pmatrix}n-(d-1)k+d-1\\k\end{pmatrix}\)
先讨论线排列的情况:
在这\(n\)个元素的左边添加\(2\)个元素,右边添加\(1\)个元素,即\(<n\times\cdot>\rightarrow<\cdot\cdot\quad n\times\cdot\quad\cdot>\)
然后放入\(k+1\)个隔板,每个隔板左边至少有\(2\)个元素,且末尾始终有\(1\)个隔板,比如当\(n=10\)时可以这样放\(<\cdot\cdot|\cdot\cdot|\cdot\cdot\cdot\cdot|\cdot\cdot\cdot|\cdot\cdot|>\)
于是这\(k+1\)个隔板将该线排列划分成\(k+1\)份,令第\(i\)份的数量为\(x_i\),则\(\sum\limits_{i=1}^{k+1}x_i=n+3\quad(x_i\geq2)\)
所以原问题的组合数等于\(\sum\limits_{i=1}^{k+1}x_i=n+1-2k\quad(x_i\geq0)\)的解的个数,即\(\begin{pmatrix}n+1-k\\k\end{pmatrix}\)
再来讨论环排列的情况:
实际上环排列就是线排列的基础上去掉同时取首尾的情况
同时取首尾时,第\(2\)位和倒数第\(2\)位就不能取到,而剩下的中间部分可以看成是长度为\(n-4\)的线排列取\(k-2\)个不相邻元素的情况
故结果为\(\begin{pmatrix}n-k+1\\k\end{pmatrix}-\begin{pmatrix}(n-4)-(k-2)+1\\k-2\end{pmatrix}=\frac{n}{n-k}\begin{pmatrix}n-k\\k\end{pmatrix}\)
元素间隔不小于\(d\)时的情况:
第一问实际上是线排列而元素间间隔不小于\(2\)的组合数,所以第三问是第一问的扩展
实际上思路跟第一问相同,问题转化为\(\sum\limits_{i=1}^{k+1}x_i=n-dk+d-1\quad(x_i\geq0)\)的解的个数,即\(\begin{pmatrix}n-(d-1)k+d-1\\k\end{pmatrix}\)
鸽巢原理
知识补充
例题

参考Ramsey定理的使用和证明思路

关键点:\(n\)个数可以产生\(n-1\)个不同的差.
生成排列和组合
知识补充
例题

字典序的下一排列
- 右往左找第一个降的a
- a往右找比a大的最小数b
- 替换a和b,然后b后边的数升序排列

中介数就是大于\(1\)的从大到小的数的逆序数(顺序是从小到大),比如中介数\((120)\)意思是该排列有4个数(不妨设是\(\{1,2,3,4\}\)),其中\(4\)的逆序数是\(0\),\(3\)的逆序数是\(2\),\(2\)的逆序数是\(1\).
二项式系数
知识补充
\(\begin{pmatrix}-n\\k\end{pmatrix}=(-1)^{k}\begin{pmatrix}n-1+k\\n-1\end{pmatrix}\quad n\in\text{N}^+,k\in\text{N}\)
上述式子通常用在对项\((1+x+x^2+x^3+\cdots+x^{n-1})\)的化简,方便生成函数求系数(本质上是使用未展开的母函数取代对应的幂级数)
具体来说\(\left(\sum\limits_{i=0}^{n-1}x^i\right)=(1-x^n)(1-x)^{-1}\),而当有\(t\)项时\((1-x)^{-t}\)的系数处理就可以使用上述式子
第二类斯特林数\(S(n,n-1)=\begin{pmatrix}n\\2\end{pmatrix}\)
例题

直接看成球盒模型,套第二类斯特林数
或者使用生成函数也很快得到答案

答案是780,使用乘除\((1-x)\)技巧简化运算的典型题目
容斥原理
知识补充
广义容斥原理:
- 定义:集合\(U\)是全集,\(U\)的元素有若干性质(每个元素包含的性质可能不同),现在有\(n\)个目标元素,\(A_i\)是至少包含第\(i\)个目标性质的元素的集合,\(P_k\)是至少包含\(k\)个目标性质的元素的集合,\(Q_k\)是恰好包含\(k\)个目标性质的元素的集合
- 关系:\(Q_0=U-Q_1\)即一般的容斥原理,它描述的是恰好包含\(0\)个目标性质的元素的集合(或只包含不具有目标性质的元素的集合)
错排、限排、禁排的基础都参考斯特林公式的思路(全集减补集得到目标集)
- 第二类Stirling数(\(n\)元集合的\(r\)-划分数,\(n\)个不同的球放入\(r\)个相同的盒):\(S(n,r)=\frac{1}{r!}\sum\limits_{i=0}^{r}(-1)^{i}\begin{pmatrix}r\\i\end{pmatrix}(r-i)^{n}\)
- 错排:\(D_n=\sum\limits_{k=0}^{n}(-1)^{k}\begin{pmatrix}n\\k\end{pmatrix}(n-k)!=n!\sum\limits_{k=0}^n\frac{(-1)^k}{k!}\),\(\lim\limits_{n \to \infty}D_n=\frac{n!}{e}\)
\(D_n=(n-1)(D_{n-1}+D_{n-2})\) - 限排:\(Q_n=\sum\limits_{k=0}^{n-1}(-1)^k\begin{pmatrix}n-1\\k\end{pmatrix}(n-k)!\)
\(Q_n=D_n+D_{n-1}\) - 禁排:\(p(X_{1},X_{2},\cdots,X_{n})=\sum\limits_{k=0}^n(-1)^{k}r_k(n-k)!\).(禁排是错排和限排的扩展)
其中\(r_k\)表示选的\(i_1,i_2,\cdots,i_k\)行的所在列分别属于\(X_{i_1},X_{i_2},\cdots,X_{i_k}\)的方案数
若在棋盘\(C\)中,\(r_k(C)\)可以考虑使用棋盘多项式求解,即\(R(C)=\sum\limits_{k=0}^nr_k(C)x^k\).
\(r_k(C)\)的性质:
- \(r_0(C)=1\)
- \(r_1(C)\)等于\(C\)中的方格数
- \(r_k(C_1)=r_k(C_2)\),其中\(C_1\)旋转或翻转可得到\(C_2\)
- \(r_k(C)=r_{k-1}(C_i)+r_k(C_l)\quad (k\geq1)\),其中\(C_i\)为\(C\)去掉指定格所在的行和列之后剩余的棋盘,\(C_l\)是从棋盘去掉指定格之后剩余的棋盘
通常用法是\(R(C)=R(C_i)+xR(C_l)\)- \(r_k(C){=}\sum\limits_{i=0}^kr_i(C_1){\cdot}r_{k-i}(C_2)\),其中棋盘\(C\)能拆成两个棋盘\(C_1\)和\(C_2\),且它们的布棋方案相互独立
通常用法是\(R(C)=R(C_1)R(C_2)\)
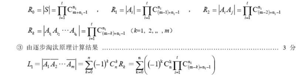
例题


勘误:第③步\(\sum\limits_{k=0}^n\)应该是\(\sum\limits_{k=0}^m\)
直接排列组合难下手:
将题目转换,即对所有球做全排列,然后对每个排列进行划分(排列内空隙插入隔板,最后一个球后面固定放一个隔板,这样每个隔板左边的球就是各小盒装的球)
令\(n=\sum\limits_{i=1}^tn_i\),计算全排列数\(p\),\(p=\frac{n!}{\prod\limits_{i=1}^tn_i!}\)
然后内部间隔放\(m-1\)个隔板,固定最后放1个隔板,所以结果为\(\sum\limits_{k=0}^{C_{n-1}^{m-1}}\frac{p}{\prod\limits_{i=0}^m x_{k_i}}\),其中\(x_{k_i}\)表示第\(k\)次划分时第\(i\)个盒子的球的数量.
PS:条件是多重不同球+不同盒子时,先做全排列再划分会有盒内球重复的情况,而盒子条件改为相同的话重复的情况会更多,因为盒子之间的球交换后不影响结果.

有难度的一题,关键点是计算\(k\)个\(A_i\)的交集的排列数
\(n\)个相邻数对中选择\(k\)个并再在其中选择不同的\(k\)个数的方案数\(\Leftrightarrow\)将\(n\)个相邻数对按顺序循环拼接起来选取不相邻的\(k\)个数的方案数
此外要求男女相间,否则答案是\(\sum\limits_{k=0}^n(-1)^kC_n^k2^k(2n-k-1)!\)

使用广义容斥原理
求重集\(B=\{4\cdot a,3\cdot b,4\cdot c,5\cdot d\}\)的\(r\)-组合数,其中\(r=12\)
上述答案用排列组合中全集减补集的思路,还可以用生成函数和直接排列组合方式去做
直接排列组合做法(分情况讨论):
- \(a\)分别选\(0,1,2,3\)个的时候,即要从\(b,c,d\)里分别选出\(12,11,10,9\)个,即从\(b,c,d\)里分别筛掉\(0,1,2,3\)个,因此这里的方案数有\(F(3,0)+F(3,1)+F(3,2)+F(3,3)=1+3+6+10=20\)
- \(a\)选\(4\)个时,继续分情况讨论:
- \(c\)分别选\(0,1,2,3\)个的时候,即要从\(b,d\)里分别选出\(8,7,6,5\)个,即从\(b,d\)里分别筛掉\(0,1,2,3\)个,因此这里的方案数有\(F(2,0)+F(2,1)+F(2,2)+F(2,3)=1+2+3+4=10\)
- \(c\)选\(4\)个的时候,剩下只能让\(b\)分别选\(0,1,2,3\)个,对应\(d\)选\(4,3,2,1\)个,这里的方案数只有\(4\)种
综上方案数有\(20+10+4=34\)种
使用生成函数方法(可以配合乘除\((1-x)\)技巧优化运算):


棋盘禁排的技巧:
棋盘的乘法拆解只要两个棋盘相互独立不要求在原棋盘上连续
交换行和列不影响答案,故棋盘的加法拆解或乘法拆解之后进行行列的移动有助于计数
递推关系和生成函数
知识补充
解方程求递推关系式通项公式:
- 解齐次方程:
- 解非齐次方程:
类似于\(a_n=a_{n-1}+n^t\)的递推关系,会遇到齐次通解得到\(1\)而非齐次的特解却无解的情况
此时可令特解为\(\sum\limits_{i=0}^{t+1}c_in^i\),继续求解
或者反复使用递推关系把非齐次变齐次再重新求解
生成函数求递推关系式通项公式:
- 令母函数\(G(x)=\sum\limits_{i=0}^\infty a_ix^i\)
- 代入初始值\(a_0,a_1,\cdots,a^t\)
- 假设递推关系为\(\sum\limits_{i=0}^{t+1}k_ia_{n-i}=0\),则求得\(\left(\sum\limits_{i=0}^{t+1}k_ix^i\right)G(x)=\sum\limits_{i=0}^{t}\left(\sum\limits_{j=0}^{i}k_ja_{i-j}\right)x^i\)
- 求解\(G(x)=\frac{\sum\limits_{i=0}^{t}\left(\sum\limits_{j=0}^{i}k_ja_{i-j}\right)x^i}{\sum\limits_{i=0}^{t+1}k_ix^i}\),结果表示为幂级数形式,\(a_n\)即第\(x^n\)的系数表达式
使用生成函数时排列和组合的区分:
- 根本在于选取的物件是否有区别
- 球盒模型中(把\(n\)个球放到\(m\)个盒):
盒不同的条件下,若球不同则是排列问题,若球相同则是组合问题.
盒相同则是对应在盒不同的条件下除以盒的排列. - 一列木块染色中,各染色数量相同情况下交换两个染色是不同的方案,故是排列问题.
例题

该题用容斥原理也能做,但得到的答案为:\(5^n-\sum\limits_{d=2}^n\left[(-1)^n\sum\limits_{k=1}^{\left\lceil\frac{n}{d}\right\rceil}4^{n-kd}\begin{pmatrix}(n-(d-1))-(d-1)k+d-1\\k\end{pmatrix}\right]=5^n-\sum\limits_{d=2}^n\left[(-1)^n\sum\limits_{k=1}^{\left\lceil\frac{n}{d}\right\rceil}4^{n-kd}\begin{pmatrix}n-(d-1)k\\k\end{pmatrix}\right]\)
如果是直接用排列组合的话,应该是这个形式:\(5^n-\sum\limits_{d=2}^n\sum\limits_{k=1}^{\left\lceil\frac{n}{d+1}\right\rceil}4^{n-dk}\begin{pmatrix}(n-(d-1))-dk+d\\k\end{pmatrix}=5^n-\sum\limits_{d=2}^n\sum\limits_{k=1}^{\left\lceil\frac{n}{d+1}\right\rceil}4^{n-dk}\begin{pmatrix}n-dk+1\\k\end{pmatrix}\)

求\(S_n=1^2+2^2+\cdots+n^2\)的通项
齐次通解得到\(1\)而非齐次的特解却无解的情况
对于求\(F_n-F_{n-1}=n^k\)的通项,有两种做法
第一种:反复使用递推关系把非齐次变齐次再重新求解:
- 先得到齐次\(\sum\limits_{i=0}^{k+2}\begin{pmatrix}k+2\\i\end{pmatrix}F_{n-i}=0\)
- 因为特征值全为1,不妨令\(F_n=\sum\limits_{i=0}^{k+1}c_i\begin{pmatrix}n\\i\end{pmatrix}\)
- 求解\(c\),实际上\(c_i=F_i-\sum\limits_{j=0}^{i-1}c_j\)
第二种:
- 直接令特解为\(\sum\limits_{i=0}^{t+1}c_in^i\),回代\(F_n-F_{n-1}=n^k\)求特解
- 最后再求通解
求\(a_n=a_{n-1}+2(n-1)\quad(n\geq2),a_1=2\)的通项
齐次通解得到\(1\)而非齐次的特解却无解的情况

答案:\(\begin{cases}f\left(n\right)=\left(k-1\right)f\left(n-2\right)+\left(k-2\right)f\left(n-1\right)\left(n\geq4\right)\\f\left(2\right)=k\left(k-1\right),f\left(3\right)=k\left(k-1\right)\left(k-2\right)\end{cases}\)
求从\(n\)个不同物体中允许重复地选取\(r\)个物体,但每个物体出现偶数次的方式数
使用生成函数求解:
也可以直接使用无限重集的组合求法一步到位,即一次取两个相同的物体,取\(\frac{r}{2}\)次,则\(\begin{pmatrix}n+\frac{r}{2}-1\\\frac{r}{2}\end{pmatrix}\)

经典的单色奇偶染色限制问题.

勘误:\(a_n=\frac{1}{2}\left(7\cdot8^{n-1}+9\cdot10^{n-1}\right)\)
之所以会有这个错误,是因为在建立递推公式时\(a\)的下标和\(x\)的次数未统一,实际上如果按照递推公式那样(即\(a_1=8\)),\(a_n\)应该取\(x^{n-1}\)的系数才对
如果递推公式中统一\(a\)的下标和\(x\)的次数,则应该这样推:\[\begin{align*} (1-8x)A(x)&=a_1x+\sum\limits_{k=2}^\infty\left(a_k-8a_{k-1}\right)x^k\\ (1-8x)A(x)&=8x+\sum\limits_{k=2}^\infty\left(9\times10^{k-2}\right)x^k\\ A(x)&=\frac{1}{2}\sum\limits_{k=1}^\infty\left(7\times8^{n-1}+9\times10^{n-1}\right)x^n \end{align*} \]另外,递推公式的\(a_n=8a_{n-1}+9\times10^{n-2}\)应该这样理解:
- 令\(b_n\)是\(n\)位正整数中含有奇数个\(5\)的正整数个数,\(a_n^*,b_n^*\)是数字串,与\(a_n,b_n\)不同的是它们考虑最高位为\(0\)的情况
- 则显然有这些等式成立:
- \(a_n+b_n=9\times10^{n-1}\)
- \(a_n=a_n^*-a_{n-1}^*\)
- \(b_n=b_n^*-b_{n-1}^*\)
- \(a_n=8a_{n-1}^*+b_{n-1}^*\)
- 利用这些等式进行推导:
\[\begin{align*} a_n&=8a_{n-1}^*+b_{n-1}^*\\ &=8(a_{n-1}+a_{n-2}^*)+(b_{n-1}+b_{n-2}^*)\\ &=8a_{n-1}+(8a_{n-2}^*+b_{n-2}^*)+b_{n-1}\\ &=8a_{n-1}+a_{n-1}+b_{n-1}\\ &=8a_{n-1}+9\times10^{n-1} \end{align*} \]最后实际上该题直接使用组合做会更快:
\[\begin{align*} a_n^*是多项式&\sum\limits_{k=0}^nC_n^k9^{n-k}中k为偶数的项的总和\\ b_n^*是多项式&\sum\limits_{k=0}^nC_n^k9^{n-k}中k为奇数的项的总和\\ 故a_n^*+b_n^*&=(9+1)^n=10^n\\ a_n^*-b_n^*&=(9-1)^n=8^n\\ 即a_n^*&=\frac{10^n+8^n}{2}\\ a_n&=a_n^*-a_{n-1}^*\\ &=\frac{1}{2}\left(7\times8^{n-1}+9\times10^{n-1}\right) \end{align*} \]也可以考虑使用生成函数,参考上一题做法.
一列有\(n\)个木块,染成\(A,B,C,D\)四种中的一种颜色,其中\(A\)占奇数个,\(B\)占偶数个,\(C\)占\(3\)的倍数个,\(D\)没有限制,问一共有几个方案
答案:
\[\begin{align*} A(x)&=\frac{e^x-e^{-x}}{2}\\ B(x)&=\frac{e^x+e^{-x}}{2}\\ C(x)&=\sum\limits_{k=0}^{\infty}\frac{x^{3k}}{(3k)!}=\frac{1}{3}\left(e^x+e^{e^{\frac{2\pi}{3}i}x}+e^{e^{\frac{4\pi}{3}i}x}\right)\\ D(x)&=e^x\\ A(x)B(x)C(x)D(x)&=\frac{\left(e^{3x}-e^{-x}\right)\left(e^x+e^{e^{\frac{2\pi}{3}i}x}+e^{e^{\frac{4\pi}{3}i}x}\right)}{12}\\ &=\sum\limits_{n=1}^{\infty}\frac{4^n+\left(\frac{5}{2}+\frac{\sqrt{3}}{2}i\right)^n+\left(\frac{5}{2}-\frac{\sqrt{3}}{2}i\right)^n-\left(-\frac{3}{2}+\frac{\sqrt{3}}{2}i\right)^n-\left(-\frac{3}{2}- \frac{\sqrt{3}}{2}i\right)^n}{12}\cdot\frac{x^n}{n!}\ \end{align*} \]故答案为:
\(\frac{4^n+\left(\frac{5}{2}+\frac{\sqrt{3}}{2}i\right)^n+\left(\frac{5}{2}-\frac{\sqrt{3}}{2}i\right)^n-\left(-\frac{3}{2}+\frac{\sqrt{3}}{2}i\right)^n-\left(-\frac{3}{2}-\frac{\sqrt{3}}{2}i\right)^n}{12}\)
Polya计数
知识补充
通用解法步骤:
- 通过旋转和反射(翻转)遍历每种置换,写出它们的类型单项式\(z_1^{e_1}z_2^{e_2}\cdots z_n^{e_n}\)或直接写成\(1^{e_1}2^{e_2}\cdots n^{e_n}\),其中\(z_i^{e_i}\)代表\(i\)阶循环的个数
- 写出置换集\(G\)的循环指数\(P_G(z_{1},z_{2},\cdots,z_{n})=\frac{1}{|G|}\sum\limits_{f\in G}z_{1}^{e_{1}}z_{2}^{e_{2}}\cdots z_{n}^{e_{n}}\)
- 根据求解任务使用循环指数
- 若任务是用\(k\)种颜色染色,每种颜色没有染色次数限制,则方案数为\(P_G(k,k,\cdots,k)\)
- 若任务是用\(k\)种颜色染色,限制第\(i\)种颜色只能染色\(t_i\)次,则先用\(z_{j}=u_{1}^{j}+\cdots+u_{k}^{j}\quad(j=1,2,\cdots,n)\)进行代换,展开\(P_G(z_{1},z_{2},\cdots,z_{n})\)后,\(u_1^{t_1}u_2^{t_2}\cdots u_k^{t_k}\)的系数即为所求
例题

二分图
知识补充
定义:
- 点覆盖\(S\):给定图\(G=(V,E)\),\(S\subseteq V\),且每一条边至少有一个端点在\(S\)中
最小点覆盖即\(|S|\)最少的\(S\) - \(X,Y\):假设二分图是左右两排结点的形式,这里分别特定为二分图中的左边的结点和右边的结点
- \(M\):二分图中的一个匹配.
- 标注:运用算法过程中,从\(X\)端的\(x_i\)连到\(Y\)端的\(y_i\)则给\(y_i\)标注\((x_i)\),从\(Y\)端的\(y_i\)连到\(X\)端的\(x_i\)则给\(x_i\)标注\((y_i)\)
- 突破:\(Y\)中有一个已标注但不与\(M\)中任意边相遇的顶点
- 非突破:算法停止,突破没有出现,即\(Y\)中的每一个已标注顶点与\(M\)中的某条边相遇
匹配算法流程:
- 找一次\(M\)的交错路径:
- 开始从\(X\)端的不与\(M\)相遇的结点出发(没有就结束)
- 在\(X\)端和\(Y\)端反复跳动标注(找不到结点标注就结束)。从\(X\)端出发则找\(Y\)端未标记且连线不属于\(M\)的结点,从\(Y\)端出发则找\(X\)端未标记且连线属于\(M\)的结点,每次找到结点都要进行标注
- 不断尝试找\(M\)的交错路径\(M_\gamma\)以得到新匹配代替\(M\)。若结束时存在突破则存在交错路径\(M_\gamma\)且新的匹配是\((M-M_\gamma)\cup\overline{M_\gamma}\),若结束时没有突破出现,则算法结束。
最小覆盖和最大匹配关系定理:假设在匹配算法中非突破发生。设\(X^{un}\)是由\(X\)中所有没有被标注的顶点组成的,\(Y^{lab}\)是由\(Y\)中所有已标注顶点组成的,且令\(S=X^{un}\cup Y^{lab}\),则下面两个结论都成立:
- \(S\)是二分图\(G\)的最小覆盖
- \(|M|=|S|\)且\(M\)是最大匹配
例题

