【MySQL】B+树索引深度计算

问题

  bigint类型字段作为做为主键索引,一颗深度为3的B+树能存放多少个索引数据

 

分析

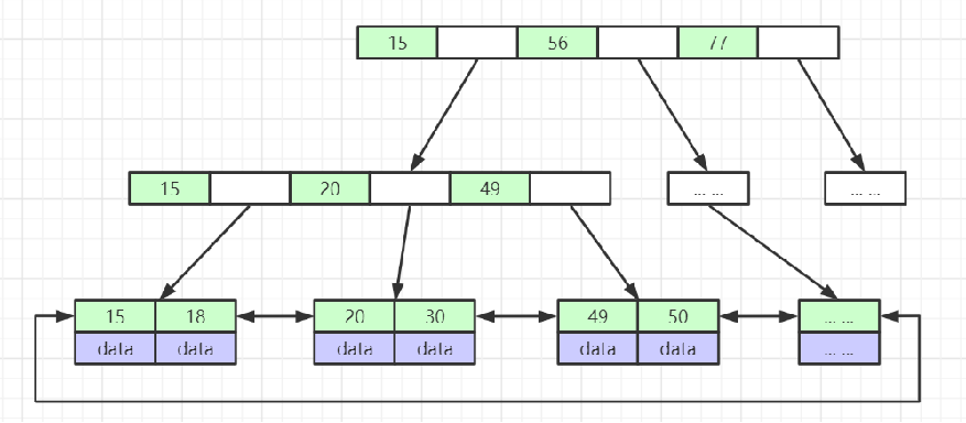
  1.MySQL数据组织的最小单位是页,也叫数据页,每个数据页大小是16KB,索引也是存放在索引的数据页中

  2.主键索引是聚簇索引,结合B+树的数据结构,主键索引在非叶子节点上不存储数据,仅在叶子节点上才存储完整的数据,因此深度第1层和第2层的数据页中不存储数据

  3.bigint字段占用内存大小是8Byte,由B+树的排列方式可知,两个索引之间存放了指向下一个节点的指针,指针大小约为6Byte(基于C++实现的MySQL中的指针计算而来的经验值)

  4.索引遍历都是从根节点,根节点近有一个,根节点可存放的索引数据大约为 16*1000/(8+6) 约等于 1140 个索引值,1140个索引值中,相邻间隔的索引具有指向下一个节点的指针

    因此,下一层深度的B+树可存放的数据量约为1140*1140=130万,叶子节点每个节点数据页为16K,已每行数据占用1K来计算(1K是估算值),每个叶子节点可以存放16行数据

    因此

    bigint类型字段作为做为主键索引,一颗深度为3的B+树能存放大概1140*1140*16=2000万的数据

         

 

 

  

posted @ 2022-04-18 19:56  听风是雨  阅读(979)  评论(0)    收藏  举报
/* 看板娘 */