论文“A Minimum Distortion Noise Reduction Algorithm With Multiple Microphones”阅读笔记
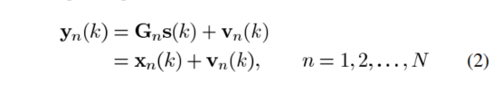
一. 该问题的模型:
s(k)为源信号;gn表示从源到麦克风的声通道脉冲响应;
xn(k)、vn(k)、yn(k)分别为在第n个麦克风上观察到的语音、背景噪声,麦克风的实际收到的混合信号

N个麦克风,设定中背景噪声v(k)与x(k),假设两者和都是相互不相关的零均值随机过程。
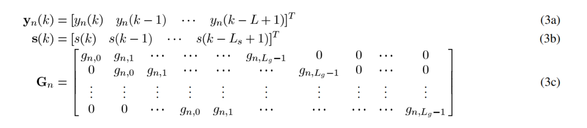
二. 模型的数学描述:

其中:

Gn矩阵大小是信道脉冲响应的长度,L X Ls,Ls=L+Lg-1,Lg是通道脉冲响应的长度
y、x、v都是L X 1的向量。
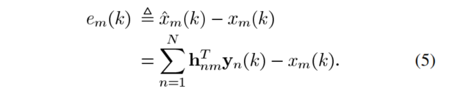
三、算法描述
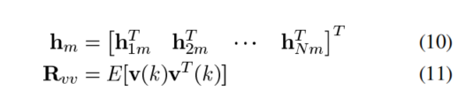
1.第m路的信号可以通过N个麦克风接收到的信号,再通过N个h滤波器进行还原。其中h(1m),h(2m)代表的是以还原第m个为参考的麦克风,应用于第一个麦克风的滤波器h1,以及应用于第二个麦克风的滤波器h2。
是1 X L的向量和L X 1的向量相乘最后得到的一个具体的数字
Xm(k)最后是通过N个数字相加得到的结果:

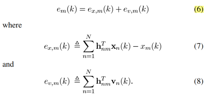
通过该方法得到的信号的误差是:

将等式(2)代入(5)中可以得到:

其中ex,m(k)代表失真程度,越大证明越失真;ev,m(k)代表噪声抑制强度,是N个数字相加的结果,越小表示残存噪声越小。
在这种情况下,该方法的目标是:在保持语音失真接近于0时(ex,m(k) = 0),尽量减小残存噪声的均方误差(MSE)。
2.此时构造的目标函数就是:

角标o是指最优化的,最优的。
寻找最优滤波器,约束条件是语音信号不失真.
其中:

Jv,m(hm)是对ev,m(k)求均方值
 
注意此时:
 
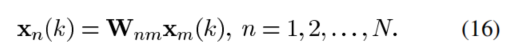
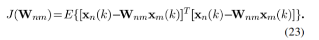
3.引入预测矩阵后的目标函数
假设能找到预测矩阵Wnm(n = 1,2,3,...N)。

(16)表示通道n可以由通道m预测得到,对于每个n麦克风,都有一个对应的Wnm。
1)当n = m时,Wnm=I,单位阵
2)当n≠m时,将(16)带入方程(7)中得到



其中hm代表N个麦克风滤波器h的集合。Wm是N个Wnm的集合
所以利用(17),得到新的目标函数:

角标o是指最优化的,最优的。
利用拉格朗日乘子法算出的最优滤波器解是:
 
(假设麦克风上的噪声信号不是完全相干的,因此噪声协方差矩阵Rvv是全秩的)
为了得到最优滤波器h,需要知道两个矩阵
Rvv可以在没有语音的时期进行估计,Wm的计算如下一小节。
4.预测矩阵的更新
根据(16),构造出MSE cost函数

对Wnm的最优估计:



前者是n和m麦克风的互相关系数,后者是第m个麦克风的自相关系数。
利用(2)
=
,可以将两个相关系数改为:

 
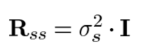
,是源相关矩阵
所以(24)被改写为:

当源信号s(k)为噪声信号时,
,此时:
但是在现实中,源信号并不是白噪声,所以不W仅依赖于通道脉冲响应,还依赖于源相关矩阵。
由于xn(k)和xm(k)都是不可得到的,所以利用
和噪声和语音是不相关的,可以简化为:

所以(24)可以改为:
       

此时理论上
,用对
观测到的信号进行滤波可以不引入语音失真。
在实际情况中,无法确定是否
。
所以这样就可能会有一些语音失真。然而,对于长滤波器,我们可以接近这个等式,这样失真就可以保持在很低的水平。
该论文MVDR算法的特点:
1)不需要阵列几何信息;
2)不需要估计DOA(direction of arrival)或房间脉冲响应;
3)它在远场和近场情况下都是一样的;
4)它可以产生非常好的和稳健的降噪,实际上最小的语音失真。
附别的情况:
                    
                
                
            
        
浙公网安备 33010602011771号