机器学习回归算法-线性回归

提出问题

数据:工资和年龄(2个特征)
目标:预测银行会贷款给我多少钱(标签)
考虑:工资和年龄都会影响最终银行贷款的结果那么它们各自有多大的影响呢?

工资 年龄 额度
4000 25 20000
8000 30 70000
5000 28 35000

引入数学

X1,X2就是我们的两个特征(年龄,工资)Y是银行最终会借给我们多少钱
目标:找到最合适的一条线(想象一个高维)来最好的拟合我们的数据点
在这里插入图片描述

误差

真实值和预测值之间肯定是要存在差异的,对于每个样本:

高斯分布

在这里插入图片描述

两式合并

在这里插入图片描述

似然函数

在这里插入图片描述

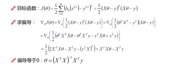
最小二乘法

在这里插入图片描述

求偏导

在这里插入图片描述

posted @ 2020-07-28 16:41  惠永康  阅读(51)  评论(0)    收藏  举报