会员
众包
新闻
博问
闪存
赞助商
HarmonyOS
Chat2DB
所有博客
当前博客
我的博客
我的园子
账号设置
会员中心
简洁模式
...
退出登录
注册
登录
*hyk*
博客园
首页
新随笔
联系
管理
订阅
机器学习回归算法-逻辑回归
回归算法-逻辑回归
经典的二分类算法
Sigmoid 函数
带入参数
引入似然函数
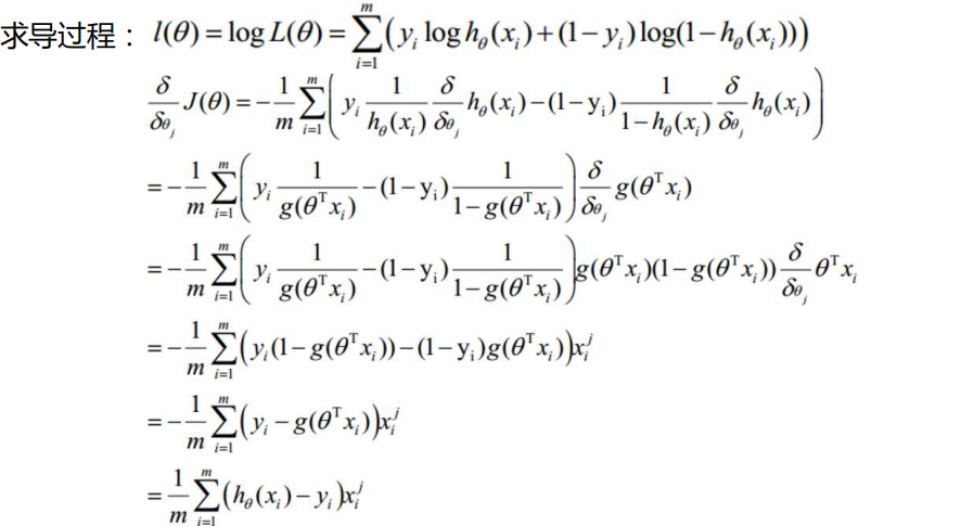
求偏导
经典的二分类算法
虽然叫回归但是经典的二分类算法
Sigmoid 函数
二分算法源于该函数
带入参数
引入似然函数
求偏导
posted @
2020-07-28 16:42
惠永康
阅读(
77
) 评论(
0
)
收藏
举报
刷新页面
返回顶部
公告