有向图游戏与 SG 函数
有向图游戏是一个经典的博弈游戏——实际上,大部分的公平组合游戏都可以转换为有向图游戏。
在一个有向无环图中,只有一个起点,上面有一个棋子,两个玩家轮流沿着有向边推动棋子,不能走的玩家判负。
mex 函数
\(mex(S)\) : 不属于集合 S 的最小非负整数
例如 \(mex(\{0, 1, 2, 4\}) = 3\) 、\(mex(\emptyset) = 0\)
SG 函数
对于状态 \(x\) 和它的所有 \(k\) 个后继状态 \(y_1, y_2, \ldots, y_k\),定义 \(\operatorname{SG}\) 函数:
什么时候结束游戏 :
定义没有后继状态的为必败态,也就是 \(\operatorname{SG}\)函数为 \(mex(\emptyset)\) 的状态,此时 \(\operatorname{SG}\)函数的值一定为 \(0\)
一个简单的巴什博弈问题 :
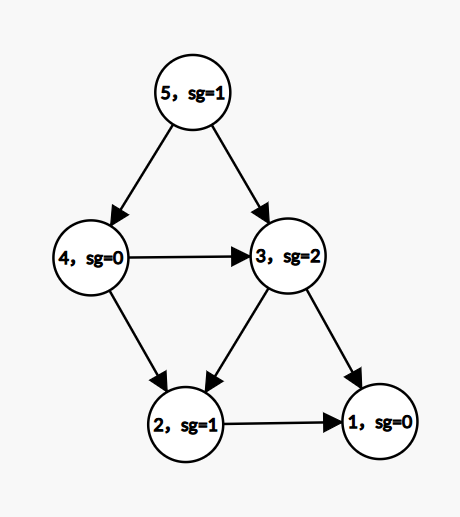
有 \(n\) 个石子,小 A 先取,小 B 后取,可以取一颗或者两颗石子,不能不取,最后取的人失败,两人都非常聪明,问谁获胜
Sameple Inpute --> 5
此问题符合对有向图游戏的定义
如果将每个状态视为一个节点,可以转化为一个博弈图

联系上方说过的对必败态的定义,$SG(1) = 0$
并且由此可以递归的得到所有点的 \(SG\)值

然后惊奇的发现,在这个博弈图中,$sg$ 等于 $0$ 时小A败, $sg$ 不等于 $0$ 时小A胜
推广一下,就是 \(n\) 余 \(3\) 不等于 \(1\) 的时候小 A 胜,否则小 B 胜
if (n % 3 == 1) cout << B << endl;
else cout << A << endl;
链接 :https://www.zhihu.com/question/445147447/answer/1740176817
从SG函数的意义来说,就是从当前节点,先手来做选择,如果能够选到一个必败态的节点,则,这个节点是必胜态,因为必败以及必胜的都是先手的,也就是在这个节点选择权在先手的那个人手上,而如果到了必败态,则先手的那个人之后一定败,也就是只能到达必胜的节点了。先手和后手在不断的轮换,也就构成了一个有向图游戏。所以,如果画出图来,这个图是DAG,并且可以通过记忆化来得到注定的结果。
以上是一些零散的感想
例题:CF38F
代码:https://codeforces.com/contest/38/submission/347979045
SG定理
定义
例题 >>> POJ2311 Cutting Game
参考:G60 有向图游戏 SG函数【博弈论】董晓
在这道题中,每次操作会造成两个状态,比如一个 4 * 3 的纸张可以被剪为 1 * 3 和 3 * 3 的、2 * 3 和 2 * 3的等状态
我们把每个 \(a * b\) 的纸张看作一个节点,用 \((a, b)\) 表示
\(SG\)值 被定义为 \(SG((a, b)) = mex\{S_1, S_2, ..., S_k\}\)
用 \(S_i\) 来表示博弈图中 \((a, b)\) 子节点代表的\(SG\)值
\(S_i = sg[x][b] \oplus sg[a - x][b]\) 或 $sg[a][y] \oplus sg[a][b - y] $
我们看到最先剪出 \((1, 1)\) 的人获胜,所以在本题中,将没有后继状态的 \((1, 1)\) 设置为必败态不合适
可以看出 \((1, n)\) 与 \((n, 1)\) 对于先取的人来说一定是必胜态
那么对应的,剪出 \((1, n)\) 与 \((n, 1)\) 的一定是必败态
所以本题中的必败态(也就是边界)设置为 \((2, 2)\)、\((2, 3)\)、\((3, 2)\)、\((3, 3)\)
因为这些状态一定能剪出必胜态
再递归的得到每个节点的\(SG\)值
点击查看代码
#include <bits/stdc++.h>
using namespace std;
void solve(int w, int h) {
vector<vector<int>> sg(w + 1, vector<int> (h + 1, -1));
sg[1][1] = 0;
auto get = [&](auto self, int x, int y) {
if (~sg[x][y]) return sg[x][y];
set<int> S;
for (int i = 2; i <= x - 2; i ++) {
S.insert(self(self, i, y) ^ self(self, x - i, y));
}
for (int i = 2; i <= y - 2; i ++) {
S.insert(self(self, x, i) ^ self(self, x, y - i));
}
for (int i = 0; ; i ++) {
if (!S.count(i)) {
return sg[x][y] = sg[y][x] = i;
}
}
};
cout << (get(get, w, h)? "WIN" : "LOSE") << endl;
}
int main()
{
ios::sync_with_stdio(false);
cin.tie(nullptr);
int w, h;
while (cin >> w >> h) {
solve(w, h);
}
return 0;
}
例题:CF768E
这个也是一道可以用sg函数来解决的题
我们很容易发现,给的数都小于60,并且这些堆的最多取的次数是一个可以计算出来的
具体来说,\((1 + k) \times k / 2 \leq x\),最大的 \(k\) 就是 \(x\) 能被取的最多的次数
每一堆的SG值是多少呢?
此时这道题转换为了一个朴素的nim游戏,可以证明 SG(x) = x

于是,可以将所有数异或起来,注意,此题问的后手必胜还是必败,若为0则胜,非0则败
因此,这道题其实就是一个nim游戏模板题,加上一点推导。
小凯取石子


首先如果将概率之类的提问放到一边,计算只能取 \(1\) 个或 \(4\) 个,这种问题对应的 \(sg\)数
得到(从 \(0\) 开始) : \(0, 1, 0, 1, 2,| 0, 1, 0, 1, 2,| 0...\) (存在一个长度为 \(5\) 的循环节)
可以假设Kc0取完 \(1\) 个石子和取完 \(4\) 个石子后,再计算答案
当\(sg\)值不为 \(0\) 的时候,无论之后Kc0选什么小凯一定赢
依据这个,让\(n\)足够大再看 \(n\)%\(5\) 各个值的情况
\(n\)%\(5\)\(=0\) 从\(1\)和\(4\)来,一定为 \(1\)
\(n\)%\(5\)\(=1\) 从\(0\)和\(2\)来,有\(\frac{1}{2}\)的概率一定赢,另外\(\frac{1}{2}\)由之前的概率递推来
\(n\)%\(5\)\(=2\) 从\(1\)和\(3\)来,一定为 \(1\)
\(n\)%\(5\)\(=3\) 从\(2\)和\(4\)来,有\(\frac{1}{2}\)的概率一定赢,另外\(\frac{1}{2}\)由之前的概率递推来
\(n\)%\(5\)\(=4\) 从\(0\)和\(3\)来,有\(\frac{1}{2}\)的概率一定赢,另外\(\frac{1}{2}\)由之前的概率递推来
计算一到五小凯赢的概率 \(P_1 = \frac{1}{2}\), \(P_2 = 1\), \(P_3 = \frac{3}{4}\), \(P_4 = \frac{1}{4}\), \(P_5 = 1\)
之后可以推导出一个式子\(P_i = \frac{1}{2} \times max(P_{i - 2}, P_{i - 5}) + \frac{1}{2} \times max(P_{i - 5}, P_{i - 8})\)
然后经过推导与找规律,得到答案
点击查看代码
#include <bits/stdc++.h>
using namespace std;
typedef long long ll;
const ll mod = 998244353;
ll qmi(ll a, ll b) {
ll res = 1;
while(b) {
if (b & 1) res = res * a % mod;
b >>= 1;
a = a * a % mod;
}
return res;
}
void solve() {
ll n;
cin >> n;
auto t = n / 5;
if (n == 1) cout << 499122177 << '\n';
else if (n % 5 == 2 || n % 5 == 0) cout << 1 << '\n';
else if (n % 5 == 1) cout << (1 + mod - qmi(qmi(2, mod - 2), t)) % mod << '\n';
else if (n % 5 == 3) cout << (1 + mod - qmi(qmi(2, mod - 2), t + 2)) % mod << '\n';
else cout << (1 + mod - qmi(qmi(2, mod - 2), t + 1)) % mod << '\n';
}
int main()
{
ios::sync_with_stdio(false);
cin.tie(nullptr);
ll t;
cin >> t;
while (t --) {
solve();
}
return 0;
}

浙公网安备 33010602011771号