图说十大数据挖掘算法(一)K最近邻算法
如果你之前没有学习过K最近邻算法,那今天几张图,让你明白什么是K最近邻算法。
先来一张图,请分辨它是什么水果
很多同学不假思索,直接回答:“菠萝”!!!
仔细看看同学们,这是菠萝么?那再看下边这这张图。
这两个水果又是什么呢?
这就是菠萝与凤梨的故事,下边即将用菠萝和凤梨,给大家讲述怎么用一个算法来知道这是个什么水果的过程,也就是什么是K最近邻算法。
(给非吃货同学们补充一个生活小常识,菠萝的叶子有刺,凤梨没有。菠萝的凹槽处是黄色的,而凤梨的凹槽处是绿色的,以后千万不要买错哦!!!)
上边这张图中,我们定义了两个维度的特征:
-
一个是叶子是否有刺
-
一个是凹槽处是否的颜色
问:一个新的水果来了,我们怎么判断他是什么水果呢?
方法如下:
(看这个神秘水果与哪个水果的举例近。同等举例,看离它最近的水果中,哪个水果多)
根据上图中,我们判断,这个神秘水果那就是菠萝啦,原因是离它近的水果中菠萝比凤梨多。
相信到这里,大家都已经明白了什么是K最近邻算法了吧!
假设我们有3中不知名的水果
我们现在根据其大小和颜色的特征,把它们放入图表中
那如我们如何判断他们有多像呢?
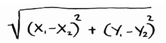
具体的计算,可以使用毕达哥拉斯公式
那现在来计算水果A和水果B之间的距离
最后的计算结果为1
那么同理,如果要让你去做一个推荐系统,我们可以把人的用户画像放在一个表格里
如果我们给其中一个人推荐他可能感兴趣的书、电影、美食等,就可以看一下离他最近距离的这些人都在做什么,然后就套用下边的公式就可以了
无论多少维度,直接套用就可以了。
图说算法,是不是非常的简单就理解了KNN。
欢迎读者留言板留下您的技术见解, 一起讨论, 共同提高, 小马哥随时看到回复.

浙公网安备 33010602011771号