Conservative Q Learning(保守强化学习)傻瓜级讲解和落地教程
一句话概括CQL:通过打压OOD(out of distribution)的q值的同时,去适当的鼓励已经在buffer(训练集)中的q值,从而防止q值被高估。论文中严格证明了通过该方法,能确保学习到q值的下界值,避免了被高估。
我们从最最初的版本出发,一路到后面,确保有强化学习基础的所有人读一遍就能懂。

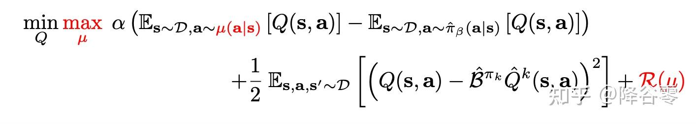
上图是一个更新q值的公式,包括两项。加号右边的那一项就是我们通过MSE去更新q值,这个不需要在原代码上去做什么修改。 β是bellman算子,但是好像代码里这部分基本都不会考虑,直接设置为1就行。
主要看的是左边的Q(s, a)。注意,这里的state来自replay buffer,action为当前的actor在这个state的下所选择的action。这部分的Q值我们会进行minimize,也就是“打”。为什么要打压这个值呢,因为这个action是当前policy作出的action,其实这个action很可能并没有在真实的环境中出现过,所以可能对这个Q(s,a)我们的估值是没有那么的,所以我们要对这个点进行一定程度的打压。这里的μ就可以理解为你要训练的那个actor。
接下来是鼓励的部分。

红色部分是我们要最大化的点(最小化负值=最大化原值)。这部分的state来自replay buffer,同时action也来自replay buffer。也就是说这个pair对是通过策略和真实环境中交互中得到的,这部分已经出现在训练集中的pair对,我们其实是可以认为预估可能相对比较准确,不太需要打压了,所以理应得到一些鼓励。
在论文中,除了这两部分,还加入了一个正则化项。

这部分正则化项是一个KL散度,防止过拟合,可以理解为当前策略和某一个先验策略的KL散度,通常会取均匀分布。
但是文章贴心的帮我们进行了简化,我们最终要落地的目标函数如下:

KL的部分和打压的部分被融为一体了,推导不是很难,可以参考论文,接下来介绍落地环节。
接下来看代码部分讲解,相信大家都有一些tensorflow和pytorch的基础
在实际的落地中,我们根据论文附录部分的讲解进行落地

论文中将损失函数log的部分拆解为了图中的形式,详细介绍一下如何实现这个。其实就是进行采样,采样那些需要打压的点。
采样过程分为三个环节:
首先,在均匀分布中采样N个点,这个实现起来非常简单
# num_random表示采样的次数 # random_unif_log_pi表示得到均匀分布的log_prob random_unif_actions = torch.rand( [batch_size * self.num_random, actions.shape[-1]], dtype=torch.float).uniform_(-1, 1).to(device) random_unif_log_pi = np.log(0.5**next_actions.shape[-1])
其次,在当前state的分布中,采样N个点
此处的states来自于训练集(buffer)中,将该state输入到actor中,如果是连续的动作值,通过高斯分布采样得到random_curr_actions, 以及可以得到对应的log_pi。降谷零:PPO2复现详细流程(更新github代码)介绍过如何得到log_prob,不管是pytorch还是tensorflow都很方便。
tmp_states = states.unsqueeze(1).repeat(1, self.num_random, 1).view(-1, states.shape[-1]) random_curr_actions, random_curr_log_pi = self.actor(tmp_states)
再次,在下一个state的分布中,采样N个点。
同样,此处的next_states中也来自于训练集中,其他的和上面一样
tmp_next_states = next_states.unsqueeze(1).repeat( 1, self.num_random, 1).view(-1, next_states.shape[-1])
random_next_actions, random_next_log_pi = self.actor(tmp_next_states)
现在我们就到了采样的action以及对应的log_prob,分别来自于均匀分布、当前s的高斯分布以及下一个s的高斯分布。我们下一步需要得到Q(s,a),也就是需要打压的q。这很简单,把得到的(s,a) pair对输入到critic中就行了,得到q1_unif, q1_curr, q1_next。
接下来就是比较关键的步骤了。
q1_cat = torch.cat([ q1_unif - random_unif_log_pi, q1_curr - random_curr_log_pi.detach().view(-1, self.num_random, 1), q1_next - random_next_log_pi.detach().view(-1, self.num_random, 1) ], #or no importance sampling q1_cat = torch.cat([ q1_unif, q1_curr, q1_next ],
这里对应的部分就是

这部分是将期望的符号去除,变成累加。论文中说到,如果是discrete的,直接除以采样的个数计算均值来代表期望;如果是连续的动作,通过importance sampling来计算这个数量,计算期望。但实际落地应该也可以忽略掉这部分,也是就是直接把q值进行连接,不需要考虑importance sampling。
下一步就是计算logexpsum了。示例代码用的是SAC,所以有两个Critic。
qf1_loss_1 = torch.logsumexp(q1_cat, dim=1).mean()
qf2_loss_1 = torch.logsumexp(q2_cat, dim=1).mean()
#这两行代码计算的是buffer内部的states,action的q值。直接从buffer中读取state和action就行
qf1_loss_2 = self.critic_1(states, actions).mean()
qf2_loss_2 = self.critic_2(states, actions).mean()
#下面就是最终的loss了,正常的critic_loss+cql部分。
qf1_loss = critic_1_loss + self.beta * (qf1_loss_1 - qf1_loss_2)
qf2_loss = critic_2_loss + self.beta * (qf2_loss_1 - qf2_loss_2)
CQL部分讲解完成。

浙公网安备 33010602011771号