用符号运算验证DCT的矩阵是正交矩阵
输入: [1.000 2.000 3.000]
输出: [ 3.464 -1.414 0.000]
重建: [1.000 2.000 3.000]
[0] cos(0.0*π/3)*sqrt(1/N)*1.0 + cos(0.0*π/3)*sqrt(1/N)*2.0 + cos(0.0*π/3)*sqrt(1/N)*3.0 = 3.464
[1] cos(0.5*π/3)*sqrt(2/N)*1.0 + cos(1.5*π/3)*sqrt(2/N)*2.0 + cos(2.5*π/3)*sqrt(2/N)*3.0 = -1.414
[2] cos(1.0*π/3)*sqrt(2/N)*1.0 + cos(3.0*π/3)*sqrt(2/N)*2.0 + cos(5.0*π/3)*sqrt(2/N)*3.0 = 0.000
恭喜,你(基本)明白DCT了!可M为啥是正交矩阵?!
[0,0] cos(0.0*π/3)*sqrt(1/N)*cos(0.0*π/3)*sqrt(1/N) + cos(0.0*π/3)*sqrt(1/N)*cos(0.0*π/3)*sqrt(1/N) + cos(0.0*π/3)*sqrt(1/N)*cos(0.0*π/3)*sqrt(1/N)
[0,1] cos(0.0*π/3)*sqrt(1/N)*cos(0.5*π/3)*sqrt(2/N) + cos(0.0*π/3)*sqrt(1/N)*cos(1.5*π/3)*sqrt(2/N) + cos(0.0*π/3)*sqrt(1/N)*cos(2.5*π/3)*sqrt(2/N)
[0,2] cos(0.0*π/3)*sqrt(1/N)*cos(1.0*π/3)*sqrt(2/N) + cos(0.0*π/3)*sqrt(1/N)*cos(3.0*π/3)*sqrt(2/N) + cos(0.0*π/3)*sqrt(1/N)*cos(5.0*π/3)*sqrt(2/N)
[1,0] cos(0.5*π/3)*sqrt(2/N)*cos(0.0*π/3)*sqrt(1/N) + cos(1.5*π/3)*sqrt(2/N)*cos(0.0*π/3)*sqrt(1/N) + cos(2.5*π/3)*sqrt(2/N)*cos(0.0*π/3)*sqrt(1/N)
[1,1] cos(0.5*π/3)*sqrt(2/N)*cos(0.5*π/3)*sqrt(2/N) + cos(1.5*π/3)*sqrt(2/N)*cos(1.5*π/3)*sqrt(2/N) + cos(2.5*π/3)*sqrt(2/N)*cos(2.5*π/3)*sqrt(2/N)
[1,2] cos(0.5*π/3)*sqrt(2/N)*cos(1.0*π/3)*sqrt(2/N) + cos(1.5*π/3)*sqrt(2/N)*cos(3.0*π/3)*sqrt(2/N) + cos(2.5*π/3)*sqrt(2/N)*cos(5.0*π/3)*sqrt(2/N)
[2,0] cos(1.0*π/3)*sqrt(2/N)*cos(0.0*π/3)*sqrt(1/N) + cos(3.0*π/3)*sqrt(2/N)*cos(0.0*π/3)*sqrt(1/N) + cos(5.0*π/3)*sqrt(2/N)*cos(0.0*π/3)*sqrt(1/N)
[2,1] cos(1.0*π/3)*sqrt(2/N)*cos(0.5*π/3)*sqrt(2/N) + cos(3.0*π/3)*sqrt(2/N)*cos(1.5*π/3)*sqrt(2/N) + cos(5.0*π/3)*sqrt(2/N)*cos(2.5*π/3)*sqrt(2/N)
[2,2] cos(1.0*π/3)*sqrt(2/N)*cos(1.0*π/3)*sqrt(2/N) + cos(3.0*π/3)*sqrt(2/N)*cos(3.0*π/3)*sqrt(2/N) + cos(5.0*π/3)*sqrt(2/N)*cos(5.0*π/3)*sqrt(2/N)
如果用上复数(欧拉公式),就可以用等比数列求和公式了!!
from math import cos, sqrt, pi import numpy as np π = pi; N = 3 m = None # DCT矩阵 mt = None # IDCT矩阵,m的转置 mc = None # "C"版本DCT矩阵 ms = None # string版DCT矩阵 ne = lambda a, b: not np.allclose(a, b, atol=1E-6) def generate_dct_matrices(): global m; global mt; global mc; global ms m = np.zeros((N, N)) # [[0]*3]*3不对。[0]*3得[0,0,0],再*3复制引用而非创建独立副本。修改任意一行会影响所有行;debug 1小时 mc = [[0] * N for _ in range(N)] ms = [[0] * N for _ in range(N)] for k in range(N): for n in range(N): mc[k][n] = m[k,n] = cos((n + 0.5) * k * pi / N) ms[k][n] = f'cos({(n+0.5)*k}*π/{N})' m[0,:] *= sqrt(1/N) for n in range(N): mc[0][n] *= sqrt(1/N) ms[0][n] += f'*sqrt(1/N)' m[1:,:] *= sqrt(2/N) for k in range(1,N): for n in range(N): mc[k][n] *= sqrt(2/N) ms[k][n] += f'*sqrt(2/N)' mt = m.T if ne(m, mc): raise ValueError() # x是一维数组,shape=(3,),np将其视为列向量(3,1) # 3x3 x 3x1 = 3x1. 720p是1280x720 dct = lambda x: np.dot(m, x) idct = lambda y: np.dot(mt, y) # So, dct和idct其实是一个函数 np.set_printoptions( suppress=True, # 禁用科学计数法 precision=3, # 保留3位小数 floatmode='fixed' # 固定小数位数 ) generate_dct_matrices() x = np.array([1.0, 2.0, 3.0]); print("输入:", x) y = dct(x); print("输出:", y) r = idct(y); print("重建:", r) ee = np.eye(m.shape[0]) if ne(np.matmul(m, mt), ee): raise ValueError() print() y2 = [0] * N for i in range(N): for j in range(N): y2[i] += mc[i][j] * x[j] if ne(y, y2): raise ValueError() y2 = [0] * N for i in range(N): s = '' for j in range(N): s += f'{ms[i][j]}*{x[j]} + ' s = s[:-3] y2[i] = eval(s) print(f'{[i]} {s} = {y2[i]:.3f}') if ne(y, y2): raise ValueError() print('') print('恭喜,你(基本)明白DCT了!可M为啥是正交矩阵?!') a = ms; b = np.array(ms).T; e = [[0] * N for _ in range(N)] for i in range(N): for j in range(N): s = '' for k in range(N): s += f'{a[i][k]}*{b[k][j]} + ' s = s[:-3] print(f'[{i},{j}] {s}') e[i][j] = eval(s) if ne(e, ee): raise ValueError() print() print('如果用上复数(欧拉公式),就可以用等比数列求和公式了!!')
cos²(θ/3) + cos²(θ) + cos²(5θ/3) = ? sympy不能化简。DeekSeek可以。

'''
cos(1.0*π/3)*sqrt(2/N)*cos(1.0*π/3)*sqrt(2/N) + cos(3.0*π/3)*sqrt(2/N)*cos(3.0*π/3)*sqrt(2/N) + cos(5.0*π/3)*sqrt(2/N)*cos(5.0*π/3)*sqrt(2/N)
'''
from math import pi as π, cos
import numpy as np
α = π / 3
N = 3
print(f'{(2/N)*(cos(α)**2 + cos(3*α)**2 + cos(5*α)**2):.3f}')
δ_plural = 0; βs = np.linspace(0, 2*π, 100);
for β in βs:
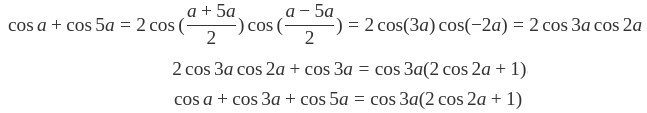
a = np.cos(β) + np.cos(3*β) + np.cos(5*β)
b = np.cos(3*β) * (2*np.cos(2*β) + 1)
δ = abs(a-b); δ_plural += δ
if δ > 1E-6: raise ValueError()
print(f'{δ_plural / βs.size:.3f}')
# cos²γ = (1 + cos2γ) / 2 = 1/2 + cos2γ/2
β = 2 * α
print(f'{(cos(3*β) * (2*cos(2*β) + 1) + 3/2) * 2/N:.3f}')
噫,算出1可不易。


实部永远是实部,虚部永远是虚部,实对实来虚对虚。

我还是不认为AI有啥智能。它提到了等比数列求和,对我是个小小的打击(我还以为是我首创),无非是知道的人不少,而且发到网上了,AI看到了,我没看到而已。至于上学时么,可能老师没讲,更可能我没去上课或没仔细听,但我可以肯定我看到的课本上没讲。
AI还说:
① 设计正交矩阵时可利用三角函数的性质。矩阵的列向量(或行向量)必须两两正交且长度(模)为1。
② 最简单的正交矩阵是二维或三维的旋转矩阵(吗?)窃以为是单位矩阵。
③ 哈达玛矩阵(Hadamard Matrix)是由1和-1构成的正交矩阵。
在H.264/AVC等编码标准中,4×4和8×8 Hadamard变换被用于SATD计算流程:
1. 对残差信号矩阵执行二维变换,生成频域系数
2. 计算系数绝对值之和作为SATD值
3. 通过归一化处理消除阶数差异影响
作为DCT的替代方案,Hadamard变换在JPEG标准中实现能量集中效率达87%,较DCT低约9%,但运算速度提升显著。
微软BitNet v2框架用Hadamard变换优化LLM激活值量化流程。

浙公网安备 33010602011771号