吴恩达神经网络和深度学习——神经网络的编程基础
一、逻辑回归(Logistic Regression)
1. 符号定义 :
- x:表示一个nx维数据,为输入数据,维度为(nx,1);
- y:表示输出结果,取值为(0,1);
- (x(i),y(i)):表示第i组数据,可能是训练数据,也可能是测试数据,此处默认为训练数据;
- X=[x(1),x(2),x(3),...,x(m)]:表示所有的训练数据集的输入值,放在一个 nx x m的矩阵中,其中m表示样本数目,
X.shape等于(nx ,m); - Y=[y(1),y(2),y(3),...,y(m)]:表示所有的训练数据集的输出值,放在一个 1 x m的矩阵中,其中m表示样本数目,
Y.shape等于(1,m);
用一对(x,y)来表示一个单独的样本,x代表nx维的特征向量, y表示标签(输出结果)只能为0或1。 而训练集将由m个训练样本组成,其中(x(1),y(1))表示第一个样本的输入和输出,(x(2),y(2))表示第二个样本的输入和输出,直到最后一个样本,然后所有的这些一起表示整个训练集。有时候为了强调这是训练样本的个数,会写作Mtrain,当涉及到测试集的时候,我们会使用来Mtest表示测试集的样本

2. 假设函数Hypothesis Function
逻辑回归中,y_hat 表示y=1实际值为1的概率值,在0~1之间;使用线性模型,引入参数w和b,权重w的维度是(nx ,1),b是一个常数项。
预测输出可以完成写成为: sigmoid函数的一阶导数可以表示为:


3. 代价函数(Cost Function)
用于训练参数w和b,单个的代价函数用Loss function表示,线性回归一般使用平方误差函数,逻辑回归一般不适用,因为平方误差是非凸函数。
非凸函数在使用梯度下降算法时,容易得到局部最小值,而不是全局最优化。
对单个样本逻辑回归使用熵函数:


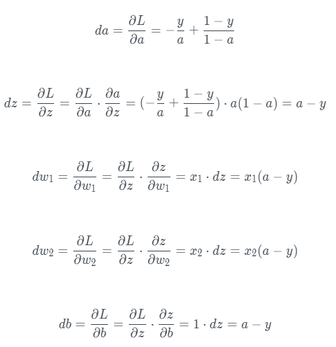
4. 梯度下降

反向传播过程:

梯度下降算法表示为


J=0; dw1=0; dw2=0; db=0;
for i = 1 to m
z(i) = wx(i)+b;
a(i) = sigmoid(z(i));
J += -[y(i)log(a(i))+(1-y(i))log(1-a(i));
dz(i) = a(i)-y(i);
dw1 += x1(i)dz(i);
dw2 += x2(i)dz(i);
db += dz(i);
J /= m;
dw1 /= m;
dw2 /= m;
db /= m;
6. 向量化梯度输出vectorization

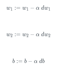
Z = np.dot(w.T,X) + b A = sigmoid(Z) dZ = A-Y dw = 1/m*np.dot(X,dZ.T) db = 1/m*np.sum(dZ) w = w - alpha*dw b = b - alpha*db
浙公网安备 33010602011771号