算法导论:动态规划
多阶段决策问题
求解的问题可以划分为一系列相互联系的阶段,在每个阶段都需要作出决策,且一个阶段决策的选择会影响下一个阶段的决策,从而影响整个过程的活动路线,求解的目标是选择各个阶段的决策使整个过程达到最优。
基本概念
- 阶段:把所给的问题的求解过程恰当地划分为若干个相互联系的阶段
- 状态:表示每个阶段开始时,问题或系统所处的客观状况。状态既是该阶段的某个起点,又是前一个阶段的某个终点。通常一个阶段有若干个状态。
- 状态的无后效性:如果某阶段状态给定后,则该阶段以后过程的发展不受该阶段以前各阶段状态的影响,也就是说状态具有马尔科夫性
- 策略:各个阶段决策的确定后,就组成了一个决策序列,该序列称之为一个策略。由某个阶段开始到终止阶段的过程称为子过程,其对应的某个策略称为子策略。
最优化原理
求解问题的一个最优策略序列的子策略序列总是最优的,则称该问题满足最优性原理。
对具有最优性原理性质的问题而言,如果有一决策序列包含有非最优的决策子序列,则该决策序列一定不是最优的。
最优性原理判别
设 \(G\) 是一个有向加权图,则 \(G\) 从顶点 \(i\) 到顶点 \(j\) 之间的最短路径问题满足最优性原理
反证法:
设 \(i-i_p-i_q-j\) 是一条最短路径,但其中子路径 \(i_p-i_q-j\) 不是最优的
假设最优路径是 \(i_p-i_q'-j\),则重新构造一条路径 \(i-i_p-i_q'-j\)
显然路径 \(i-i_p-i_q'-j\) 长度小于路径 \(i-i_p-i_q-j\),但这与路径 \(i-i_p-i_q-j\) 是最短路径矛盾
所以该问题满足最优性原理
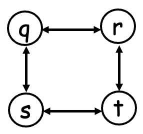
最长路径问题不满足最优性原理
反例:

\(q-r-t\) 是 \(q\) 到 \(t\) 的最长路径
\(q-s-t-r\) 是 \(q\) 到 \(r\) 的最长路径
\(r-q-s-t\) 是 \(r\) 到 \(t\) 的最长路径
但是 \(q\) 到 \(r\) 的最长路径和 \(r\) 到 \(t\) 的最长路径合并起来并不是 \(q\) 到 \(t\) 的最长路径
所以,该问题不满足最优性原理。
基本思想
动态规划的思想实质是分治思想和解决冗余。
- 与分治法类似的是:将原问题分解成若干个子问题,先求解子问题,然后从这些子问题的解得到原问题的解。
- 与分治法不同的是:经分解的子问题往往不是互相独立的。若用分治法来解,有些共同部分(子问题或子子问题)会被重复计算了很多次。
动态规划用一个表来记录所有已解的子问题的答案。
求解步骤
- 找出最优解的性质,并刻画其结构特征
- 递归地定义最优值(写出动态规划方程)
- 以自底向上的方式计算出最优值
- 根据计算最优值时记录的信息,构造最优解
适用条件
动态规划法的有效性依赖于问题本身所具有的两个重要的适用性质:
- 最优子结构:问题的最优解是由其子问题的最优解来构造
- 重叠子问题:在用递归算法自顶向下解问题时,每次产生的子问题并不总是新问题,有些子问题被反复计算多次
背包问题
问题描述
- 给定 \(n\) 个物品:
- 整数容量:\(w_1,w_2,...,w_n\)
- 价值:\(v_1,v_2,...,v_n\)
- 具有整数 \(w\) 容量的背包
目标:寻找最优价值的子集可以放入背包中。
最优性原理判别
以 \(0-1\) 背包问题 \(Knap(1,n,c)\) 为例
设 \((y_1,y_2,...,y_n)\) 是 \(Knap(1,n,c)\) 的一个最优解,\((y_2,...,y_n)\) 是 \(Knap(2,n,c-w_1y_1)\) 子问题的一个最优解。
如果不是子问题的最优解,则设 \((z_2,...,z_n)\) 是 \(Knap(2,n,c-w_1y_1)\) 子问题的一个最优解。则有:
这说明 \((y_1,z_2,...,z_n)\) 是 \(Knap(1,n,c)\) 的一个最优解,与假设矛盾,故满足最优性原理。
解题思路
假设我们已经求解了在前 \(i-1\) 个物品中选择组合,放入容量为 \(j(j\leq{W})\) 的背包中的问题,这个问题的解是 \(V[i-1,j]\)。
则递推关系:
初始条件:\(V[0,j]=0;V[i,0]=0\)
举例
背包容量 \(W=5\)
| 物品 | 体积 | 价值 |
|---|---|---|
| 1 | 2 | 12 |
| 2 | 1 | 10 |
| 3 | 3 | 20 |
| 4 | 2 | 15 |
解如下,横坐标表示容量 \(j\),纵坐标表示前 \(i\) 个物品:
| 0 | 1 | 2 | 3 | 4 | 5 |
|---|---|---|---|---|---|
| 0 | 0 | 0 | 0 | 0 | 0 |
| 0 | 0 | 12 | 12 | 12 | 12 |
| 0 | 10 | 12 | 22 | 22 | 22 |
| 0 | 10 | 12 | 22 | 30 | 32 |
| 0 | 10 | 15 | 25 | 30 | 37 |
伪代码
int[][] DPKnapsack(int[] w, int[] v, int W, int n) {
for(int j = 0; j <= W; j++) V[0][j] = 0;
for(int i = 0; i <= n; i++) V[i][0] = 0;
for(int i = 1; i <= n; i++) {
for(int j = 1; j <= W; j++) {
if(w[i] <= j && v[i] + V[i-1][j-w[i]] > V[i-1][j]) {
V[i][j] = v[i] + V[i-1][j-w[i]];
}
else V[i][j] = V[i-1][j];
}
}
return V;
}
切杆问题
问题描述
给定一段长度为 \(n\) 英寸的钢条和一个价格表 \(p_i(i=1,2,…,n)\),求切割钢条方案,使得销售收益 \(r_n\) 最大。
例如:


显而易见,对于 4 英寸的钢条来说,\(c\) 切割法收益最大。
自顶向下递归
问题分解为:将长度为 \(n\) 的钢条分解为左边一段,以及剩余部分需要继续分解的一段。
int cutRod(int[] p, int n) {
if(n == 0) return 0;
int q = -inf;
for(int i = 1; i <= n; i++) {
q = max(q, p[i]+cutRod(p, n-i));
}
return q;
}
但是该方法效率十分差,因为它会反复地用相同的参数值对自身进行递归调用。

带备忘的自顶向下
自顶向下的过程中,会保存每个子问题的解(数组或者散列表)。当需要一个子问题的解时,首先检查是否已经保存过此解。
int memorizedCutRod(int[] p, int n, int[] r) {
if(r[n] >= 0) return r[n];
if(n == 0) return 0;
else {
int q = -inf;
for(int i = 1; i <= n; i++) {
q = max(q, p[i]+memorizedCutRod(p, n-i, r));
}
}
r[n] = q;
return q;
}
自底向上
将子问题按规模排序,按由小到大的顺序进行求解。当求解某个子问题时,它所依赖的哪些更小的子问题都已求解完毕,结果已经保存。每个子问题只需求解一次,当我们求解它时,它的所有前提子问题都已求解完成。
int bottomUpCutRod(int[] p, int n) {
int[] r;
r[0] = 0;
for(int i = 1; i <= n; i++) {
int q = -inf;
for(int j = 1; j <= i; j++) {
q = max(q, p[i] + r[j-i]);
}
r[i] = q;
}
return r[n];
}
最长公共子序列(LCS)
问题描述
输入:\(X=(x_1,x_2,x_3,...,x_m)\),\(Y=(y_1,y_2,y_3,...,y_n)\)
输出:\(Z\) 是 \(X\) 和 \(Y\) 最长公共子序列
LCS 最优解结构特征
定义 \(X\) 的 \(i^{th}\) 前缀:\(X_i=(x_1,x_2,...,x_i)\)
设序列 \(X=(x_1,x_2,x_3,...,x_m)\) 和 \(Y=(y_1,y_2,y_3,...,y_n)\),\(Z=(z_1,z_2,...,z_k)\) 是 \(X\) 和 \(Y\) 的任意一个 LCS,则
- 若 \(x_m=y_n\Longrightarrow{z_k=x_m=y_n}\),且 \(Z_{k-1}\) 是 \(X_{m-1}\) 和 \(Y_{n-1}\) 的一个 LCS
- 若 \(x_m\neq{y_n},z_k\neq{x_m}\Longrightarrow{Z}\) 是 \(X_{m-1}\) 和 \(Y\) 的一个 LCS
- 若 \(x_m\neq{y_n},z_k\neq{y_n}\Longrightarrow{Z}\) 是 \(X\) 和 \(Y_{n-1}\) 的一个 LCS
子问题的递归解
\(c[i,j]\) 表示 \(X_i\) 和 \(Y_j\) 的 LCS 长度
计算最优解值
\(b[i,j]\) 存放构造最优解的信息
当构造解时,从 \(b[m,n]\) 出发,上溯至 \(i=0\) 或 \(j=0\) 为止,在上溯过程中,当 \(b[i,j]\) 遇到 \(\nwarrow\) 时,打印 \(x_i,y_j\)

void LCS(String X, String Y) {
int m = length(X);
int n = length(Y);
for(int i = 0; i <= m; i++) c[i][0] = 0;
for(int j = 0; j <= n; j++) c[0][j] = 0;
for(int i = 1; i <= m; i++) {
for(int j = 1; j <= n; j++) {
if(X[i] == Y[j]) {
c[i][j] = c[i-1][j-1]+1;
b[i][j] = "1";
}
else if(c[i-1][j] >= c[i][j-1]) {
c[i][j] = c[i-1][j];
b[i][j] = "2";
}
else {
c[i][j] = c[i][j-1];
b[i][j] = "3";
}
}
}
}
时间 \(O(mn)\)
构造一个 LCS
void printLCS(char[][] b, String X, int i, int j) {
if(i == 0 || j == 0) return;
if(b[i][j] == '1') {
printLCS(b, X, i-1, j-1);
print(X[i]);
}
else {
if(b[i][j] == '2') printLCS(b, X, i-1, j);
else printLCS(b, X, i, j-1);
}
}
时间 \(O(m+n)\)

浙公网安备 33010602011771号