slam(1)-----三维空间刚体运动
一个刚体在三维空间中的运动如何描述。
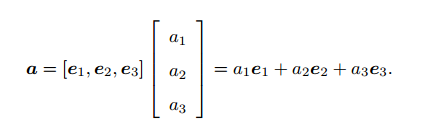
一、向量
1、一个线性空间的基(e1,e2,e3),向量 a表示为:

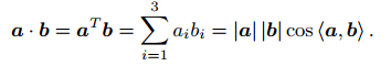
2、向量内积

描述了向量之间的投影关系
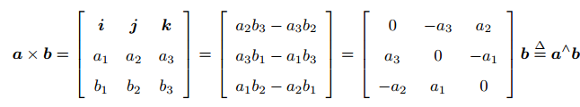
3、向量外积

外积的方向垂直与这两个向量,大小为 |a||b|sin<a,b>。
^称之为反对称符号。引入侧概念可以将向量外积变成线性运算。
二、旋转 、变换矩阵
1、


(e1,e2,e3)和 (e1`,e2`,e3`) 是连个坐标系的正交基。
R有3个自由度。R为旋转矩阵,行列式为1的正交阵(R*R^t=I), R^T (等价与R的逆)描述一个相反的旋转。

SO(n) 特殊正交群(Special Orthogonal Group)
2、

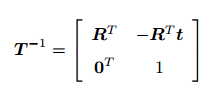
T为变换矩阵,6个自由度。

SE(3) 特殊欧式群(Special Eucliden Group)

三、旋转向量和欧拉角
1、旋转向量
任意旋转都可以用一个旋转轴和一个旋转角来刻画。
旋转向量的 方向和旋转轴一致,长度等于旋转角。
n 为旋转轴,theta 为角度,则旋转向量为:theta n
2、罗德里格斯公式(旋转向量 ----> 旋转矩阵)

3、旋转矩阵--->旋转向量


(旋转轴上的向量在旋转后不变)
转轴n是矩阵R特征值1对应的特征向量。
4、欧拉角
使用3个分离的转角,直观的描述旋转。
偏航-俯仰-滚转( yaw-pitch-roll): ZYX

欧拉角的缺点: 万向锁问题,在俯仰角为 (+- 90)时,第一次旋转和第三次旋转将使用同一个轴,丢失一个自由度(奇异性)
四、四元数
紧凑且没有奇异性的描述。


虚部满足的关系:

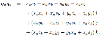
1、四元数的运算
加减:

乘法:


共轭:

另外:
实部为模长的平方,虚部为0
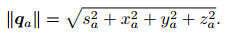
模长:


逆:



数乘与点乘:


2、旋转向量--->四元数
一个旋转 绕单位向量
,旋转角为: 
则旋转的四元数形式为:

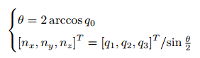
3、四元数----> 旋转向量

任意的旋转都可以:得到两个互为相反的四元数
当theta =0 时,得到实四元数: 
3、四元数表示旋转
一个三维点
,绕轴角
的旋转。
点:
旋转四元数:
旋转后: ![]()
五、其他变换(相似、仿射、射影)


浙公网安备 33010602011771号