12、Java数组
一、数组的定义
数组是相同类型数据的有序集合
数组描述的是相同类型的若干个数据,按照一定的先后次序排列组合而成
其中,每一个数据称作一个数组元素,每个数组元素可以通过一个下标来访问它们。
原先定义一个数,现在可以定义一组数

首先必须声明数组变量,才能在程序中舒勇数组。厦门是声明数组变量的语法:

Java语言使用new操作符来创建数组,语法如下:
![]()
数组的元素是通过索引访问的,数组索引从0开始。
获取数组长度:
![]()
二、内存分析及三种初始化

静态初始化:

动态初始化:

数组的默认初始化:
数组是引用类型,它的元素相当于类的实例变量,因此数组一经分配空间,中的每个元素也被按照实例变量同样的方式被隐式初始化。


数组的四个基本特点:
- 其长度是确定的。数组一旦被创建,它的大小就是不可以改变的。
- 其元素必须是相同类型,不允许出现混合类型。
- 数组中的元素可以是任何数据类型,包括基本类型和引用类型。
- 数组变量属引用类型,数组也可以看成是对象,数组中的每个元素相当于该对象的成员变量。
- 数组本身就是对象,Java中对象是在堆中的,因此数组无论保存原始类型还是其他对象类型,数组对象本身是在堆中的。
数组越界异常:ArrayIndexOutOfBoundsException

小结:
- 数组是相同数据类型(数据类型可以为任意类型)的有序集合
- 数组也是对象。数组元素相当于对象的成员变量
- 数组长度是确定的,不可变的。如果越界会报错

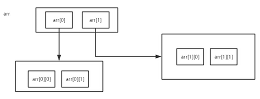
三、多维数组
多维数组可以堪称是数组的数组,比如二维数组就是一个特殊的一维数组,其每一个元素都是一个一维数组。
二维数组:

解析:以上二维数组a可以堪称一个两行五列的数组。


四、Arrays类
数组的工具类java.util.Arrays
由于数组对象本身并没有什么方法可以供我们调用,但API中提供了一个工具类Arrays供我们使用,从而可以对数据对象进行一些基本的操作。
查看JDK帮助文档
Arrays类中的方法都是static修饰的静态方法,在使用的时候可以直接使用类名进行调用,而“不用”使用对象来调用(注意:是“不用”而不是“不能”)
具有以下常用功能:
- 给数组赋值:通过fill方法。
- 对数组排序:通过sort方法,按升序。
- 比较数组:通过equals方法比较数组中元素值是否相等。
- 查找数组元素:通过binarySearch方法能对排序号的数组进行二分查找法操作。

五、冒泡排序
冒泡排序无疑是最为出名的排序算法之一,总共有八大排序!
冒泡的代码还是相当简单,两层循环,外层冒泡轮数,里层依次比较,江湖中人人尽皆知。
我们看到嵌套循环,应该立马就可以得出这个算法的时间复杂度为O(n2).

如何优化?

六、稀疏数组
当一个数组中大部分元素为0,或者同一值的数组时,可以使用稀疏数组来保存该数组。
稀疏数组的处理方式是:
- 记录数组一共有几行几列,有多少个不同值
- 把具有不同值得元素和行列及值记录在一个小规模得数组中,从而缩小程序得规模
如下图:左边是原始数组,右边是稀疏数组

浙公网安备 33010602011771号