机器学习-第二周梳理
吴恩达机器学习(二)
二分类逻辑回归
1.分类问题
逻辑回归算法是分类算法,我们将它作为分类算法使用。它适用于标签 𝑦 取值离散的情况,如:1 0。
在吴恩达机器学习中举了一个肿瘤诊断问题,输出值y ∈ { 0 , 1 } ,0表示良性肿瘤,1表示恶性肿瘤
首先我们会想到将学到的线性回归的方法作用于分类问题,通过设置分类器输出的阈值来对输入值进行分类,但这种方法有时效果好,有时效果很差,并不推荐,
2.假设函数的表示
在逻辑回归中用Sigmoid函数实现区间0~1之间的的输出,Sigmoid函数
函数图像如下所示

设假设函数为:
因此我们用以下假设对预测进行分类:
\(h_\theta \geq 0.5\),则预测 y = 1
\(h_\theta < 0.5\) ,则预测 y = 0
3.决策边界

根据假设函数的图像我们可以得出:
假设有一个模型,我们已经拟合好了参数\(\theta\)

并且参数𝜃 是向量[-3 1 1]。 则当\(-1+x2+x3 \geq 0\),即\(x2 + x3 \geq 3\)时,模型将预测 𝑦 = 1。 我们可以绘制直线:\(x2+x3=3\),这条线便是我们模型的分界线,将预测为 1 的区域和预测为 0 的区域分隔开。
这条线即被称为—决策边界,决策边界将平面分成两个区域,一个区域假设函数预测y=1,而另一个区域预测y=0。决策边界是假设函数的属性而不是数据集的属性,它取决于假设函数的参数
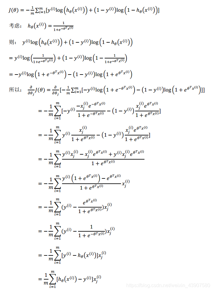
4.损失函数
在之前一节中的线性回归中,用到损失函数是平方差的形式,但是对于逻辑回归来说,平方差的形式的损失函数时不行的,因为假设函数\(h_\theta(x)=\frac{1}{1+e^{-\theta^Tx}}\)是一个非线性函数,若仍按照以下损失函数
则\(J(\theta)\)的图像如下

可以看到是一个非凸函数,有许多局部最小点,在我们之后进行梯度下降优化参数的时候,无法收敛到全局最优点。
因此定义逻辑回归损失函数:
其中:
对损失函数公式进行简单的解释:

首先假设y = 1时,假设函数\(h_\theta(x)\)预测值为1,那么代价值就为0,因为预测的很正确。
相反,如果假设函数\(h_\theta(x)\)预测值趋近于0,但是实际y=1,那么我们就必须用一个非常大的代价值来惩罚这个学习算法,即代价值就趋近于无穷
同理下图 y = 0 时也是这个道理

最后,我们对上面的代价函数进行优化合并:
现在代价函数已经写出来了,那么现在需要做的是最小化代价函数,我们可以使用梯度下降算法来求使得代价函数最小化的参数:


在运行梯度下降算法是,对特征进行缩放也是非常有必要的。
5.进阶优化
我们编写代码给出代价函数及其偏导数然后传入梯度下降算法中,接下来算法则会为我们最小化代价函数给出参数的最优解。这类算法被称为最优化算法,梯度下降算法不是唯一的最小化算法
一些最优化算法:
- 梯度下降法(Gradient Descent)
- 共轭梯度算法(Conjugate gradient)
- 牛顿法和拟牛顿法(Newton’s method & Quasi-Newton Methods)(DFP算法,
局部优化法(BFGS),
有限内存局部优化法(L-BFGS))
在使用python实现最优化算法是,scipy对这类算法进行封装,直接调用即可
6.一对多分类

一对多分类其实就相当于进行多次二元分类,假如如上图的多元分类一样,一共有三个类别需要分类,那么本质上就是进行3次二元分类,第一轮我只关注绿色三角,将绿三角标记为正向类 y = 1、将红叉叉和蓝框框都标记为负向类;经过这一轮。我就可以判断出一个数据是绿三角的概率了;然后再对红叉叉建立模型,将红叉叉标记为正相类 y = 2,绿三角和蓝框框都标为负向类,最后对蓝框框做同样的操作。
总结:对于一对多分类,我们要训练多个二元分类器,最后我们根据输入x预测y值时,要选出可信度最高、效果最好的分类器,也就是概率值最高的。
正则化
1.拟合函数
对于拟合问题可以分为3种情况:
- 欠拟合:无法很好的拟合训练集中的数据,预测值和实际值的误差很大。即偏差大(预测值和标签偏离较大),如下图左一。
- 过拟合:能很好甚至完美拟合训练集中的数据,但是泛化能力差,$J(\theta) \longrightarrow 0 $,即方差过大(不同的数据集有比较大的波动),下图右一。
- 优良的拟合:如字样,模型预测的比较好。下图中间。

避免过拟合的方法:
- 减少特征的数量
- 选取合适的特征(PCA) - 正则化
- 惩罚各参数大小
2.正则化的代价函数
原理:在损失函数上加上某些规则(限制),缩小解空间,从而减少求出过拟合解的可能性
在目标函数后面添加一个系数的“惩罚项”是正则化的常用方式,为了防止系数过大从而让模型变得复杂。在加了正则化项之后的目标函数为:
其中\(\lambda\) 是一个超参数,用于控制正则化程度
3.线性回归的正则化
线性回归求解有两种算法:一种是梯度下降,另一种是正规方程
(一)梯度下降
加上正则项后的代价函数如下所示:

梯度下降的过程:
将式子进行合并可得:
其中\(1-\alpha\frac{\lambda}{m} < 1\),一般是比1略小的数
(二)正规方程

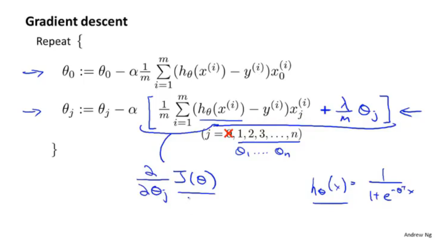
4.逻辑回归的正则化

加上正则项后的代价函数如下所示:
效果是当拟合阶数很高且参数很多时,只要添加了这个正则项,保持参数较小,就能得到一条很好的划分边界,防止过拟合。
梯度下降过程
注意这里公式跟线性回归是相同的,但是假设函数是不同的,逻辑回归是激活函数



浙公网安备 33010602011771号