0610学习笔记 张宇基础30讲——第13讲常微分方程

微分方程的概念
微分方程:一般来说函数分为显函数和隐函数,显函数为y=f(x),求导可得y' = x的式子,求积分可以得到原函数。而隐式一般写成F(x,y) = 0,隐函数的确定是找到一个在一定条件下满足一个x对应1个y的函数y=f(x)(单值函数),则称y=f(x)为隐函数。隐式写法在求导后会变成全家福F(x,y,y',……,yn')=0,这个时候这种含有x,y到y的n阶导的形式叫做微分方程。本讲内容在研究如何通过微分方程求原函数y=f(x)。为什么不能积分求原函数呢?因为全家福中包含x和y,没办法分离他们,因此没办法通过积分求原函数。
常微分方程:微分方程中的未知函数y为一元函数
微分方程的阶:微分方程中最高阶导数的阶数
微分方程的解:解y=f(x)带入到方程中能恒成立的
通解:y=f(x)中独立变量c的个数等于微分方程的阶数,则y=f(x)为微分方程的通解
特解:将初始条件带入通解中求出的解为特解(通解中的常数具体取值)
一阶微分方程的求解【如果发现题目四种都不符合,可以思考能否变量互换位置,比如遇到 lny】
变量可分离型:物以类聚
可化为变量可分离型:换元+物以类聚
① dy/dx = f(ax+by+c):令u=ax+by+c,du/dx = a + dy/dx,带入原方程得 du/dx - a = f(u) ——> du/(a+f(u)) = dx、再物以类聚
② dy/dx = φ(y/x):方程化简,看能否变为φ(y/x)的形式,可以的话令u=y/x,dy/dx = du/dx*x + u,再物以类聚
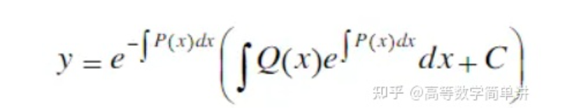
一阶线性微分方程【似乎没见到特解?】:y' + p(x)*y = q(x)【思路:e^狗、(uv)' = u' * v + u * v' 】,通解公式:
伯努利方程:y' + p(x)*y = q(x)*(y^n):① 恒等变换,处理掉等式右边的y^n ② 换元法,恒等变换后令z=与p(x)相乘的数 ③ 套一阶线性微分方程公式
二阶可降阶微分方程的求解:y'' = f(x,y')【不含y】 、 y'' = f(y,y')【不含x】
① y'' = f(x,y')【不含y】:令y' = p,则y'' = p',则有p' = f(x,p)。将p和p'带入到方程,利用一阶微分方程求解方法做题
② y'' = f(y,y')【不含x】:令y' = p,则y'' = (dp/dy)*(dy/dx) = (dp/dy)*p,则有(dp/dy)*p= f(y,p)。将y''和y'带入到方程,利用一阶微分方程求解方法做题
高阶线性微分方程的求解:
齐次:微分方程等号右边为0
非齐次:等号右边≠0
线性:微分方程中y,y'到y的n阶导全都是1次且进行线性操作(加减)
变系数:y'+p(x)y = q(x),此时p(x)为变系数
常系数:y'+px = q,此时p为常系数
解的结构(二阶举例):
① 若y1(x)和y2(x)为微分方程的两个解且y1(x)/y2(x)≠C(两个解线性无关),则微分方程的通解为y(x) = C1*f1(x)+C2*f2(x)【齐次】
② 若y(x) = C1*f1(x)+C2*f2(x)为微分方程的通解,y*(x)为微分方程的特解,则微分方程的通解为:y(x) = C1*f1(x)+C2*f2(x) + y*(x)【通解+特解】【非齐次】
③ 若微分方程=f1(x) + f2(x),且f1*(x)为f1(x)的解,f2*(x)为f2(x)的解,则微分方程的通解为: f1*(x) + f2*(x) P201例13.8
题目类型:二阶常系数齐次微分方程的通解、二阶常系数非齐次微分方程的特解、n阶常系数齐次微分方程的解
二阶常系数齐次微分方程的通解【y''+py'+qy = 0】:将y=e^(λx)带入方程,提出公共部分e^(λx),剩下的部分为特征方程,利用Δ求出通解。
Δ>0:y = C1*e^(λ1x) + C2*e^(λ2x)【特征解为λ1,λ2】
Δ=0:y = (C1+C2)*e^(λx)【特征解为λ1=λ2】
Δ<0:y = e^(αx)【C1*cosβx + C2*sinβx】【特征解为a±bi】
二阶常系数非齐次微分方程的特解【y''+py'+qy = f(x)】:
① f(x) = e^(λx)*【Pn(x)】:① e^(λx)照抄、② 找Pn(x)的n次多项式:x的n次多项式为AX+B,C的n次多项式为A,x^2的n次多项式为AX^2+BX+C
③ x^k(一看二算三对比,一看:看抄下来的α,二算:算此微分方程的齐次方程的特征解【求出特征方程后得-b±根号(b^2-4ac)/2a】,三对比:k=0:α!=特征解,k=1:α=其中一个特征解,k=2:α=两个特征解=二重根)
特征解:y* = e^(λx) * Qn(x) * x^k
② f(x) = e^(λx)*【Pn(x)*cosβx + Pm(x)*sinβx】:
① e^(λx)照抄、② 找max{ Pn(x),Pm(x) }的n次多项式Q l (x):x的n次多项式为AX+B,C的n次多项式为A,x^2的n次多项式为AX^2+BX+C
③ x^k(一看二算三对比,一看:看抄下来的α,二算:算此微分方程的齐次方程的特征解【求出特征方程后得-b±根号(b^2-4ac)/2a】,三对比:k=0:α±b不是特征解,k=1:α±b是特征解)
特征解:y* = e^(λx) *【Q l (x)*cosβx + Q l (x)*sinβx】* x^k
n阶常系数齐次微分方程的解【yn + p1yn-1 + p2yn-2 + …… + pny = 0】:【一般互推,通解xx的根是啥,根为xx的通解是啥】
① 特征根为单实根λ:微分方程中通解对应一项C*e^(λx)
② 特征根为k重实根λ:微分方程中通解对应一项(C1+c2x+c3*x^2+……+ck*x^k-1)e^(λx)
③ 特征根为单复根α±β:微分方程中通解对应两项e^(λx)【C1*cosβx + C2*sinβx】
④ 特征根为k重复根α±β:e^(λx)【(C1+c2*x+c3*x^2+……+ck*x^k-1)*cosβx +(D1+D2*x+D3*x^2+……+Dk*x^k-1)*sinβx】
得出λ之后,要写出y的方程,因为y=e^(λx),特点是无论y求几阶导,永远只有λ的次数在改变。也就是若得出特征方程为λ*(λ-1)=0,则立刻有微分方程:y''-y=0【ps:特征方程是将根全部乘起来,比如得出λ=0为二重根和根为1±2i,则立刻有特征方程:λ^2(λ-(1-2i))*(λ-(1+2i))=0】例题P202 13.9
浙公网安备 33010602011771号