0509学习记录张宇基础30讲——第八讲一元函数积分学的概念与计算
这一讲简直又难又离谱,这里做个总结归纳
概念:【积分的证明题抓紧Δx和积分的几何意义】
不定积分的定义:全体原函数(没有积分域)
不定积分(原函数)存在定理【要求会证】:1. 若f(x)连续,则区间内必有原函数、2. 若f(x)含有第一类间断点或无穷间断点,则区间内原函数必不存在【振荡间断点可能有原函数,关键是看能否写出原函数的形式】
定积分的定义:面积(分割、近似、求和、取极限)
定积分存在定理:1. 若f(x)在[a,b]上连续,则定积分必然存在、2. 若f(x)在[a,b]上为单调函数,则定积分必然存在、3. 若f(x)在[a,b]上有界且有有限个间断点,则定积分必然存在
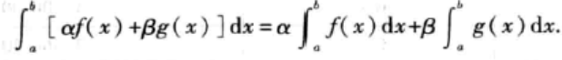
定积分的性质:区间长度、线性可加【
】、积分可加、积分保号性【
、
】、估值定理【
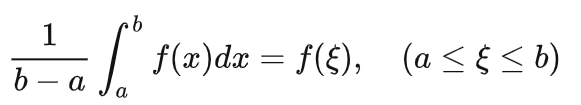
,其中m、M为区间上的最小值和最大值】、中值定理【
】
变限积分的定义:积分的上限/下限/上下限 不确定
变限积分的性质【要求会证】:1. 若f(x)在[a,b]上可积,则F(x)在[a,b]上连续 、2. 若f(x)在[a,b]上连续,则F(x)在[a,b]上可导
辅助记忆图:补
变限积分求导公式:![]()
反常积分的定义:定积分要求区间和被积函数有界,则区间无界的积分称为无穷区间上的反常积分,函数无界的积分称为无界函数的反常积分
无穷区间上反常积分的概念与敛散性:反常积分的极限存在则收敛,不存在则发散。若为[-∞,+∞],则要分为[-∞,0]和[0,+∞],因为一个区间内不能出现两个特殊点【无穷或无定义点】
无界函数的反常积分的概念与敛散性:反常积分的极限存在则收敛,不存在则发散。若区间内部有瑕点,则按瑕点把区间划分开
计算:
不定积分的计算方法:【5】
1. 基本积分公式【10大条,p116-117】
2. 凑微分(向后)
3. 换元法(向前)【5】
1. 三角函数代换(x换成与三角函数有关的表达,一般常见于(a^2±C)^2)(和三角函数有关的式子,要么换元( t=……、x=asint)、要么区间再现、要么升降次)ps:三角中sin^2 x除了换成cos^x,还可以换成cos^2 x * tan^2 x(常见于式子中有tanx、cosx、sinx同时出现)
2. 等价代换(被积函数含有根式,直接变成根号内两式的平方相加减)后做三角代换 / 等价代换(分子分母同乘,比如:1/(1+sinx)dx,同乘后:1/cos^2x dx- sinx/cos^x dx)
3. 根式代换:令根式 = t (换元)/ 对于分子分母都含有相同根式:同乘根式的最小公倍数
4. 倒带换(没遇到过,有再补充例子)
5. 复杂函数(被积函数中含有反对幂指三)直接代换为t,若为(反对幂指三)中的两个相乘,优先考虑分部积分法【u的优先级:反对幂指三】
4. 分部积分法【5】
1. u的优先级:反对幂指三
2. 分部积分法的推广公式:表格法【上面一直求导,下面一直求原函数,最后一项为积分形式,其余直接相乘】
5. 有理函数的积分
定积分的计算方法:【3】
1. 牛顿莱布尼兹公式 : ![]()
2. 换元法
3. 分部积分法【巧用区间性质】
1. 奇偶性【对称区间】
2. 周期性【常见于T,Π】
3. 区间再现公式:![]()
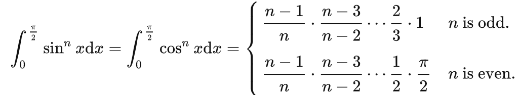
4. 点火公式(奇数发射成功*Π/2,偶数发射失败):

【例8.6:f(x) = 幂函数+幂函数*积分,此时两边同时积分,就能求出积分值,因为此时f(x)中的积分相当于一个常数,直接提出来】
反常积分的计算方法:有瑕点就把区间划分开,没有瑕点就求出原函数然后把区间两端带进去
反常积分的敛散性判断:补图
我的一些个人tips:主要是分为等价和比较两类方法。等价就是通过常见的等价无穷小来化简式子;比较就是对于式子中含有e^x、lnx、x这种,一眼判断出式子的变化主要是取决于什么。比如x^n/(e^x)^n,(e^x)趋于无穷的速度明显远超x^n,所以直接看成1/(e^x)^n
浙公网安备 33010602011771号