一、property装饰器
# 装饰器是在不修改被装饰对象源代码以及调用方式的前提下为被装饰对象添加
# 新功能的可调用对象
# property是一个装饰器,用来将类中的函数伪造成一个数据属性,对象再访问该特殊属性时会触发功能的执行,
然后将返回值作为本次访问的结果
"""
成人的BMI数值:
过轻:低于18.5
正常:18.5-23.9
过重:24-27
肥胖:28-32
非常肥胖, 高于32
体质指数(BMI)=体重(kg)÷身高^2(m)
EX:70kg÷(1.75×1.75)=22.86
"""
# 案例一:
# class People:
# def __init__(self, name, weight, height):
# self.name = name
# self.weight = weight
# self.height = height
#
# # 定义函数的原因1:
# # 1、从bmi的公式上看,bmi应该是触发功能计算得到的
# # 2、bmi是随着身高、体重的变化而动态变化的,不是一个固定的值
# # 说白了,每次都是需要临时计算得到的
#
# # 但是bmi听起来更像是一个数据属性,而非功能
# @property
# def bmi(self):
# return self.weight / (self.height ** 2)
# obj1 = People('egon', 70, 1.83)
# print(obj1.bmi())
# obj1.height=1.86
# print(obj1.bmi())
# print(obj1.bmi)==>使用property装饰器后,此时不需要调用函数可以直接读取
# # 案例二:
# class People:
# def __init__(self, name):
# self.__name = name
#
# def get_name(self):
# return self.__name
#
# def set_name(self, val):
# if type(val) is not str:
# print('必须传入str类型')
# return
# self.__name = val
#
# def del_name(self):
# print('不让删除')
# # del self.__name
#
# name=property(get_name,set_name,del_name)
# 如果不用property
# obj1=People('egon')
# # print(obj1.get_name())
# # obj1.set_name('EGON')
# # print(obj1.get_name())
# # obj1.del_name()
#
# # 人正常的思维逻辑
# print(obj1.name)
# # obj1.name=18
# # del obj1.name
# 案例三:
class People:
def __init__(self, name):
self.__name = name
@property
def name(self): # obj1.name
return self.__name
@name.setter
def name(self, val): # obj1.name='EGON'
if type(val) is not str:
print('必须传入str类型')
return
self.__name = val
@name.deleter
def name(self): # del obj1.name
print('不让删除')
# del self.__name
obj1=People('egon')
# 人正常的思维逻辑
print(obj1.name)
# obj1.name=18
# del obj1.name
二、继承
### 继承介绍
# 1、什么是继承
# I:继承是一种创建新类的方式,新建的类可称为子类或派生类,父类又可称为基类或超类,子类会遗传父类的属性
# II:需要注意的是:python支持多继承在Python中,新建的类可以继承一个或多个父类
# class Parent1(object): # 定义父类
# x=1111
#
# class Parent2(object): # 定义父类
# pass
#
# class Sub1(Parent1): # 单继承
# pass
#
# class Sub2(Parent1,Parent2): # 多继承
# pass
# print(Sub1.__bases__) # 查看类继承的所有父类
# print(Sub2.__bases__)
# ps1: 在python2中有经典类与新式类之分
# 新式类:继承了object类的子类,以及该子类的子类子子类。。。
# 经典:没有继承object类的子类,以及该子类的子类子子类。。。
# ps2:在python3中没有继承任何类,那么会默认继承object类,所以python3中所有的类都是新式类
# III:python的多继承
# 优点:子类可以同时遗传多个父类的属性,最大限度地重用代码
# 缺点:
# 1、违背人的思维习惯:继承表达的是一种什么"是"什么的关系
# 2、代码可读性会变差
# 3、不建议使用多继承,有可能会引发菱形问题,扩展性变差,
# 如果真的涉及到一个子类不可避免地要重用多个父类的属性,应该使用Mixins
# 2、为何要用继承:用来解决类与类之间代码冗余问题
# 3、如何实现继承
# # 示范1:类与类之间存在冗余问题
# class Student:
# school='OLDBOY'
#
# def __init__(self,name,age,sex):
# self.name=name
# self.age=age
# self.sex=sex
#
# def choose_course(self):
# print('学生%s 正在选课' %self.name)
#
#
# class Teacher:
# school='OLDBOY'
#
# def __init__(self,name,age,sex,salary,level):
# self.name=name
# self.age=age
# self.sex=sex
# self.salary=salary
# self.level=level
#
# def score(self):
# print('老师 %s 正在给学生打分' %self.name)
#
# 示范2:基于继承解决类与类之间的冗余问题
class OldboyPeople:
school = 'OLDBOY'
def __init__(self, name, age, sex):
self.name = name
self.age = age
self.sex = sex
class Student(OldboyPeople):
def choose_course(self):
print('学生%s 正在选课' % self.name)
class Teacher(OldboyPeople):
def __init__(self, name, age, sex, salary, level):
# 指名道姓地跟父类OldboyPeople去要__init__
OldboyPeople.__init__(self,name,age, sex)
self.salary = salary
self.level = level
def score(self):
print('老师 %s 正在给学生打分' % self.name)
三、属性查找
# 单继承背景下的属性查找
# 示范一:
# class Foo:
# def f1(self):
# print('Foo.f1')
#
# def f2(self):
# print('Foo.f2')
# self.f1() # obj.f1()
#
# class Bar(Foo):
# def f1(self):
# print('Bar.f1')
#
# obj=Bar()
# obj.f2()
#
# # Foo.f2
# # Bar.f1
自己属性没有,b.f2()会先在父类中找到f2,打印Foo.f2,然后执行到self.f1(),即b.f1(),此时仍会按照:
对象本身==》类Bar ==》 父类Foo顺序查找,在类Bar中找到f1,因此打印结果为Bar.f1
# # 示范二:
# class Foo:
# def f1(self):
# print('Foo.f1')
#
# def f2(self):
# print('Foo.f2')
# Foo.f1(self) # 调用当前类中的f1
#
# class Bar(Foo):
# def f1(self):
# print('Bar.f1')
#
# obj=Bar()
# obj.f2()
#
# # Foo.f2
# # Foo.f1
# 示范三:
class Foo:
def __f1(self): # _Foo__f1
print('Foo.f1')
def f2(self):
print('Foo.f2')
self.__f1() # self._Foo__f1,# 调用当前类中的f1
class Bar(Foo):
def __f1(self): # _Bar__f1
print('Bar.f1')
obj=Bar()
obj.f2()
# Foo.f2
# Foo.f1
# 多继承属性查找
# 一:菱形问题介绍与MRO
# class A(object):
# # def test(self):
# # print('from A')
# pass
#
# class B(A):
# def test(self):
# print('from B')
# pass
#
# class C(A):
# # def test(self):
# # print('from C')
# pass
#
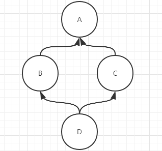
# class D(C,B):
# # def test(self):
# # print('from D')
# pass

# print(D.mro()) # 类D以及类D的对象访问属性都是参照该类的mro列表
# # obj = D()
# # obj.test()
# # print(D.test)
#
# # print(C.mro()) # 类C以及类C的对象访问属性都是参照该类的mro列表
# # c=C()
# # c.test()
#
# # 总结:类相关的属性查找(类名.属性,该类的对象.属性),都是参照该类的mro
# 继承原理
对于定义的类,python都会计算出一个方法解析顺序(MRO)列表,会按照列表上从左到右顺序查找基类,
直到找到第一个匹配这个属性的类为止,它遵循三条准则:
1、子类会先于父类被检查
2、多个父类会根据它们在列表中顺序被检查
3、如果对下一个类存在两个合法的选择,选择第一个父类
# 二:如果多继承是非菱形继承,经典类与新式的属性查找顺序一样:
# # 都是一个分支一个分支地找下去,然后最后找object

# class E:
# # def test(self):
# # print('from E')
# pass
#
# class F:
# def test(self):
# print('from F')
#
#
# class B(E):
# # def test(self):
# # print('from B')
# pass
#
# class C(F):
# # def test(self):
# # print('from C')
# pass
#
# class D:
# def test(self):
# print('from D')
#
#
# class A(B, C, D):
# # def test(self):
# # print('from A')
# pass
#
# # 新式类
# # print(A.mro()) # A->B->E->C->F->D->object
#
# obj = A()
# obj.test() # 结果为:from F
# 三:如果多继承是菱形继承,经典类与新式类的属性查找顺序不一样:
# 经典类:深度优先,会在检索第一条分支的时候就直接一条道走到黑,即会检索大脑袋(共同的父类)
# 新式类:广度优先,会在检索最后一条分支的时候检索大脑袋

class G: # 在python2中,未继承object的类及其子类,都是经典类
# def test(self):
# print('from G')
pass
class E(G):
# def test(self):
# print('from E')
pass
class F(G):
def test(self):
print('from F')
class B(E):
# def test(self):
# print('from B')
pass
class C(F):
def test(self):
print('from C')
class D(G):
def test(self):
print('from D')
class A(B,C,D):
# def test(self):
# print('from A')
pass
# 新式类
# print(A.mro()) # A->B->E->C->F->D->G->object
# 经典类:A->B->E->G->C->F->D
obj = A()
obj.test() #
# 总结:
# 多继承到底要不用???
# 要用,但是规避几点问题
# 1、继承结构尽量不要过于复杂
# 2、推荐使用mixins机制:在多继承的背景下满足继承的什么"是"什么的关系