【笔记】支持向量机
支持向量机
核心思想:最大化几何间隔
1. 线性可分支持向量机
1.1 名词解释
- 函数间隔  𝛾′
- 感知机损失函数的分子。
- 大于0分类正确,小于0分类错误。
 
- 几何间隔  𝛾
 感知机的损失函数就是几何间隔。
1.2 损失函数
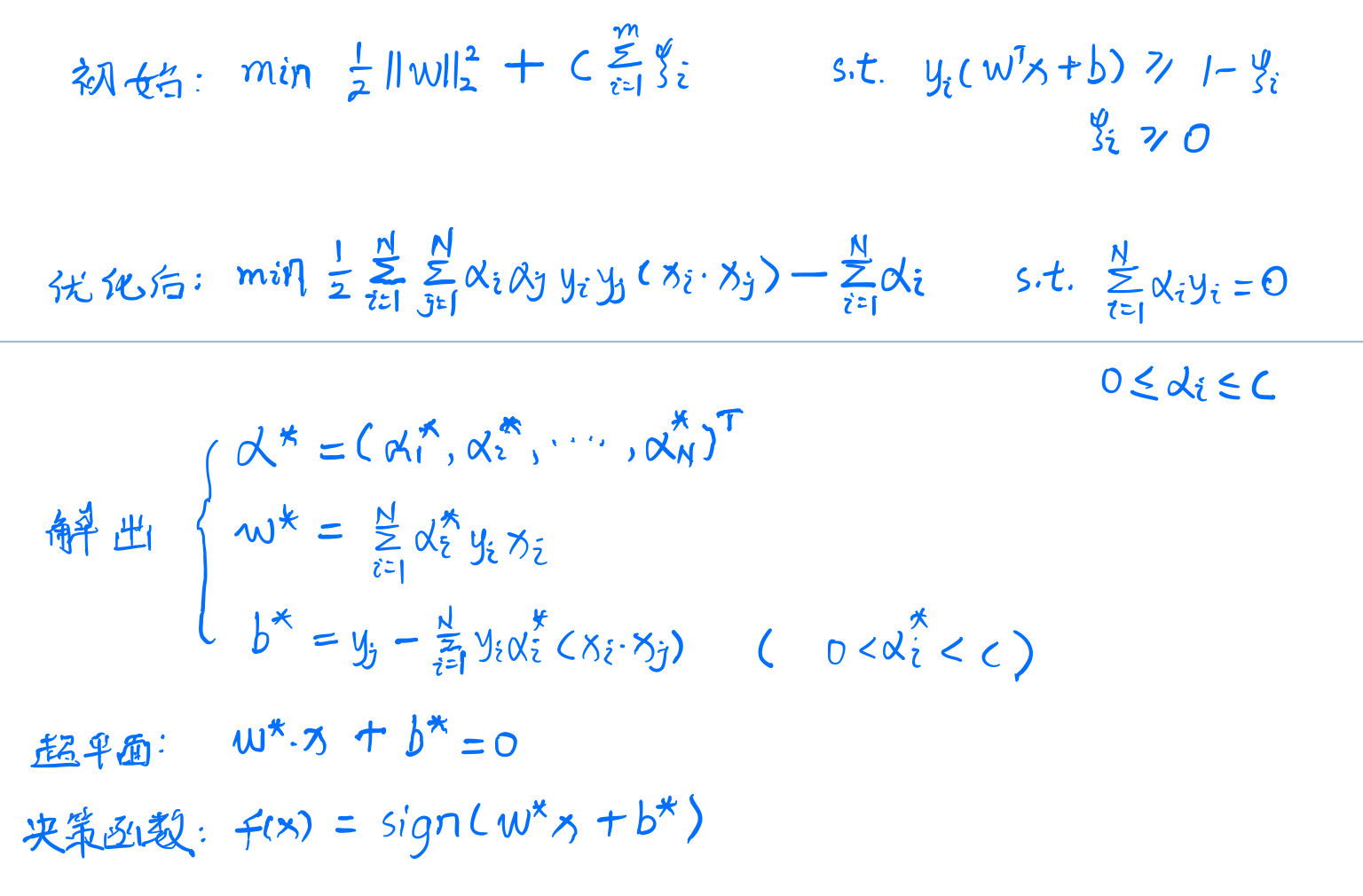
初始损失函数是正确分类点到超平面的距离加和,但因为要使几何间隔最大,所以是最大化。约束条件𝑦𝑖(𝑤𝑇𝑥𝑖+𝑏)=𝛾′(𝑖)≥𝛾′(𝑖=1,2,...𝑚),通常取𝛾′= 1。
1.3 损失函数的优化
- 将有约束转为无约束损失函数,引入拉格朗日算子𝛼。
- 转为解对偶形式。
- 首先分别计算对偶式对𝑤和𝑏的偏导。
- 带回原式后,只剩变量𝛼。
- 通过SMO算法求得𝛼。
- 根据第三步求导得出的关系式求出𝑤。
- 求出𝑏。
  
2. 线性支持向量机
当数据集汇中出现了少量的异常点,导致线性不可分的时候,线性可分支持向量机就无能为力了。此时,需要通过软间隔最大化方法,即线性支持向量机模型。
2.1 软间隔最大化
区别于线性可分支持向量机的硬间隔最大化,软间隔最大化引入松弛变量(𝜉𝑖 ≥ 0)。使样本点距支持向量的距离为1 - 𝜉𝑖。同时对于每一个松弛变量,又对应着一个代价𝜉𝑖。
2.2 损失函数
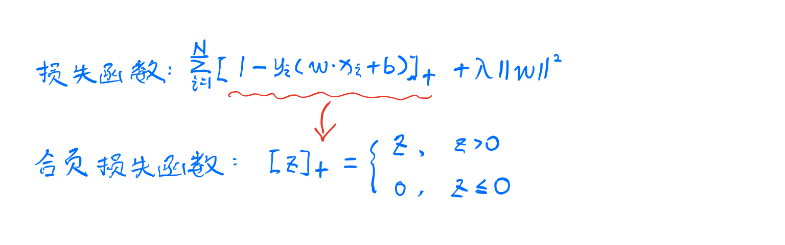
- 2.2.1 普通损失函数
 同线性可分支持向量机类似,但是因为引入了松弛变量,所以需要加上对应的代价。
  
- 2.2.2 合叶损失函数
 这是对支持向量机的另一种解释。合叶损失函数: 
 当样本点被正确分类且函数间隔大于等于1时,损失为零。否则是1 − 𝑦(𝑤∙𝑥+𝑏)。相对于感知机的损失函数,合叶损失函数提出了更高的要求。
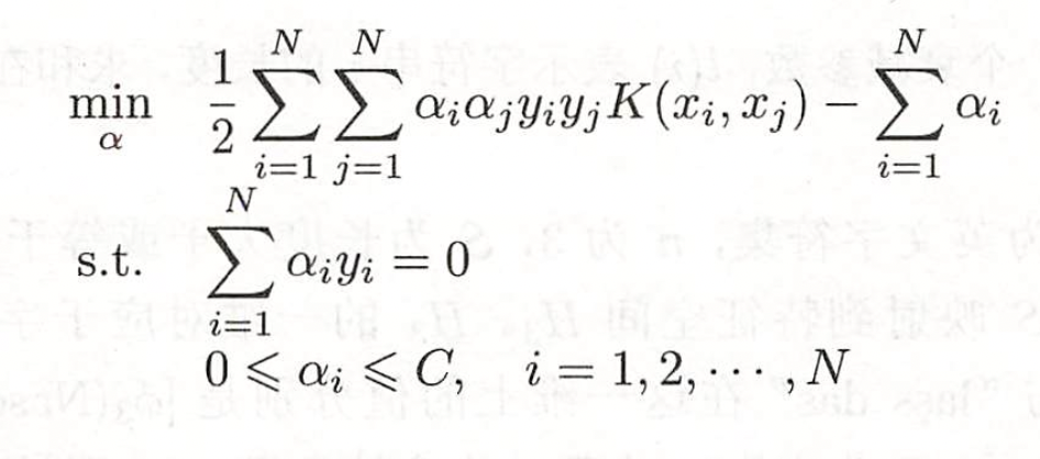
3. 非线形支持向量机
当数据完全线性不可分时,采用低维数据映射到高维的方法,使得可以在高维线性可分,从而转为前两节的问题。但仅简单的映射到高维,会导致计算量暴增,因此又引入核函数,可以在低维计算,却有高维的效果。
3.1 核函数定义
设𝜙是一个从输入空间𝜒(欧氏空间的子集或离散集合)到特征空间(希尔伯特空间)的映射。若存在函数K(x,z),使得𝐾(𝑥,𝑧)=𝜙(𝑥)∙𝜙(𝑧),则称K(x,z)是核函数,𝜙(𝑥)时映射函数。
3.2 损失函数
线性支持向量机可以看作特殊的(取线性核函数)非线性支持向量机。

3.3 常用核函数
- 线性核函数 𝐾(𝑥,𝑧)=𝑥∙𝑧
- 多项式核函数 𝐾(𝑥,𝑧)=(𝛾𝑥∙𝑧+𝑟)^𝑑
- 高斯核函数 𝐾(𝑥,𝑧)=𝑒𝑥𝑝(−𝛾||𝑥−𝑧||^2)
- Sigmoid核函数 𝐾(𝑥,𝑧)=𝑡𝑎𝑛ℎ(𝛾𝑥∙𝑧+𝑟)

 
                
            
         
         浙公网安备 33010602011771号
浙公网安备 33010602011771号