昨日(补了)
1.早上找了一下GitHub上对CVPR2025的目录总结,不知道全不全啊。可以按索引来梳理。
2.下午先看了看东澜科研小组的视频,讲了
①新论文A=Baseline B+C+D。查找论文用谷歌学术/Github库,也是说先粗读再精读。
②增加模块或改模块。主要看输入输出的维度对的上,可以打断点调试。
③改代码记得copy一个备份。
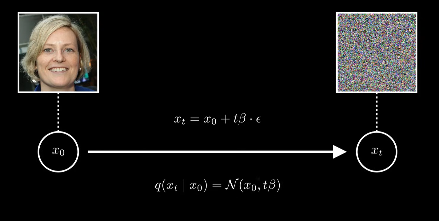
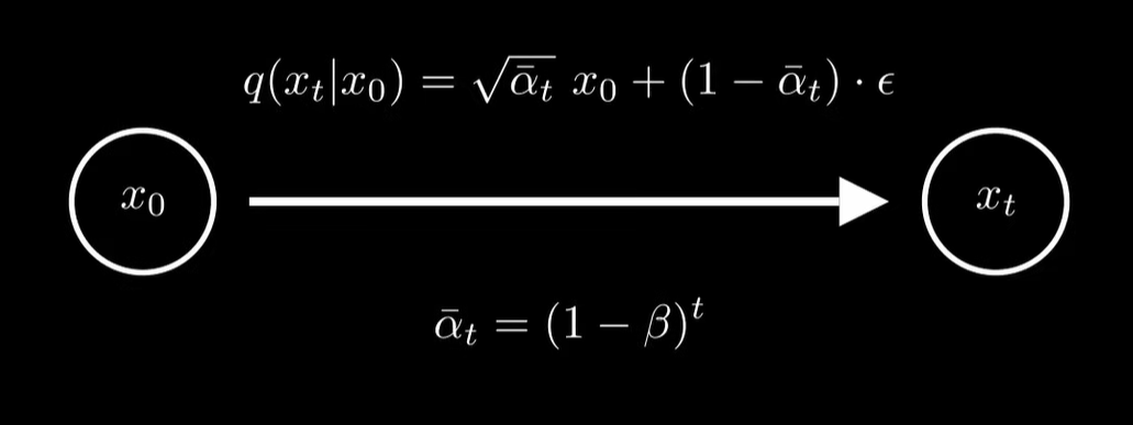
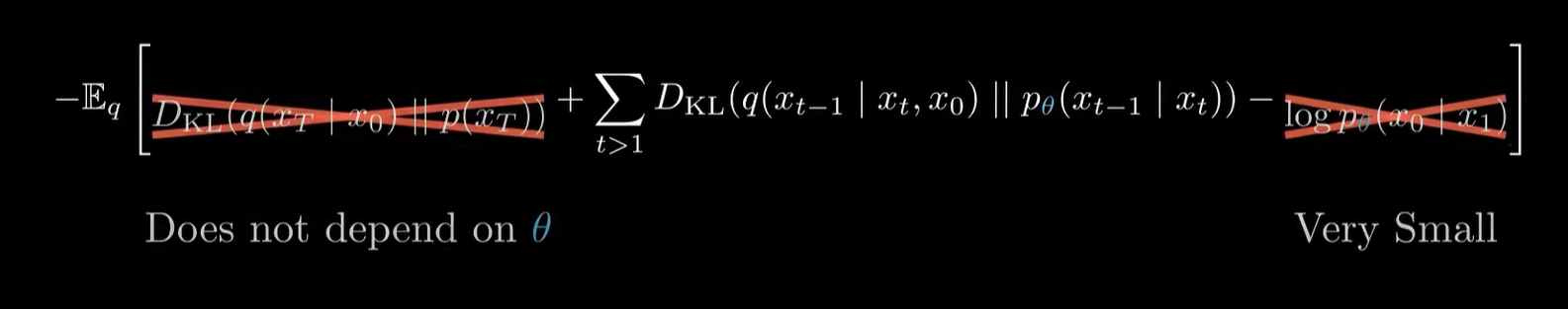
3.下午看了diffusion模型讲解。
https://www.youtube.com/watch?v=EhndHhIvWWw ...油管上对DDPM的讲解




KL散度:衡量两个分布的相似性,值越低表示两个分布越相近。

主要看中间那项


尝试代码:在40903服务器的PyQt5-exercise文件夹中练习。用MNIST数据集训练+测试生成没问题了。用CIFAR-10数据集需要改模型维度,不好弄。

浙公网安备 33010602011771号