力扣19 删除链表的倒数第N个结点
题目:
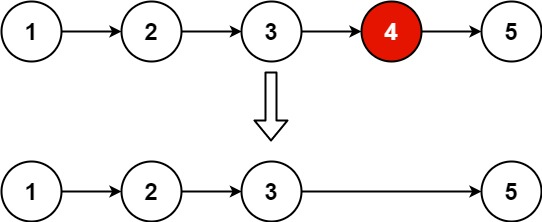
给你一个链表,删除链表的倒数第 n 个结点,并且返回链表的头结点。
示例:

输入:head = [1,2,3,4,5], n = 2
输出:[1,2,3,5]
思路:
给两个指针,让快指针和慢指针相差n,快指针指向倒数第一个节点时,慢指针指向倒数第n-1个结点。
| 1 | 2 | 3 | 4 | 5 |
| slow | fast |
class Solution { public ListNode removeNthFromEnd(ListNode head, int n) { ListNode dummy=new ListNode(-1,head); ListNode fast=dummy; ListNode slow=dummy; //让快指针和慢指针相差n,快指针指向倒数第一个节点时,慢指针指向倒数第n-1个结点。 for (int i = 0; i < n ; i++){//让fast先走n步 fast = fast.next; } while(fast.next!=null){//slow开始走 fast=fast.next; slow=slow.next; } slow.next=slow.next.next;//此时slow指向倒数第n-1个结点 return dummy.next;//返回头结点 } }

浙公网安备 33010602011771号