力扣24 两两交换链表中的节点
题目:
给你一个链表,两两交换其中相邻的节点,并返回交换后链表的头节点。你必须在不修改节点内部的值的情况下完成本题(即,只能进行节点交换)。
示例:

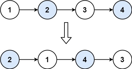
输入:head = [1,2,3,4]
输出:[2,1,4,3]
思路:
初始时,cur指向虚拟头结点,然后进行如下三步:

操作之后,链表如下:

class Solution { public ListNode swapPairs(ListNode head) { ListNode dummy=new ListNode(-1,head);//虚拟头结点 ListNode cur=dummy;//让当前指针指向虚拟头结点 ListNode temp=null; ListNode temp1=null; while(cur.next!=null&&cur.next.next!=null){ //节点数为偶数终止条件cur.next!=null,节点数为奇数,最后一个节点不交换,终止条件cur.next.next!=null temp=cur.next;//临时节点存1 temp1=cur.next.next.next;//临时节点存3 cur.next=cur.next.next;//步骤一:dummy指向2 cur.next.next=temp;//步骤二:2指向1 cur.next.next.next=temp1;//步骤三:1指向3 cur=cur.next.next;//cur移动至3 } return dummy.next;//返回真实头结点 } }
 
                    
                     
                    
                 
                    
                
 
                
            
         
         浙公网安备 33010602011771号
浙公网安备 33010602011771号