剑指offer_ 链表中环的入口结点
一个链表中包含环,请找出该链表的环的入口结点。
如果可以使用额外空间就存入set中然后检查。
方法一:
/* public class ListNode { int val; ListNode next = null; ListNode(int val) { this.val = val; } } */ import java.util.*; public class Solution { public ListNode EntryNodeOfLoop(ListNode pHead) { HashSet<Integer> h = new HashSet<Integer>(); ListNode cur=pHead; while(cur!=null){ if(h.contains(cur.val)) return cur; h.add(cur.val); cur=cur.next; } return null; } }
方法二:
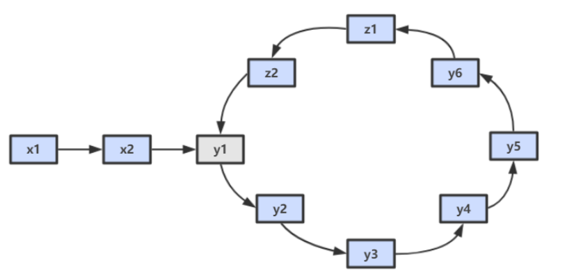
使用双指针,一个指针 fast 每次移动两个节点,一个指针 slow 每次移动一个节点。因为存在环,所以两个指针必定 相遇在环中的某个节点上。假设相遇点在下图的 z1 位置,此时 fast 移动的节点数为 x+2y+z,slow 为 x+y,由于 fast 速度比 slow 快一倍,因此 x+2y+z=2(x+y),得到 x=z。
使用双指针,一个指针 fast 每次移动两个节点,一个指针 slow 每次移动一个节点。因为存在环,所以两个指针必定 相遇在环中的某个节点上。假设相遇点在下图的 z1 位置,此时 fast 移动的节点数为 x+2y+z,slow 为 x+y,由于 fast 速度比 slow 快一倍,因此 x+2y+z=2(x+y),得到 x=z。

public ListNode EntryNodeOfLoop(ListNode pHead) { if (pHead == null || pHead.next == null) return null; ListNode slow = pHead, fast = pHead; do { fast = fast.next.next; slow = slow.next; } while (slow != fast); fast = pHead; while (slow != fast) { slow = slow.next; fast = fast.next; } return slow; }

浙公网安备 33010602011771号