114. 二叉树展开为链表
给你二叉树的根结点 root ,请你将它展开为一个单链表:
展开后的单链表应该同样使用 TreeNode ,其中 right 子指针指向链表中下一个结点,而左子指针始终为 null 。
展开后的单链表应该与二叉树 先序遍历 顺序相同。
示例 1:

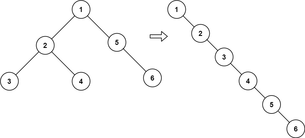
输入:root = [1,2,5,3,4,null,6]
输出:[1,null,2,null,3,null,4,null,5,null,6]
示例 2:
输入:root = []
输出:[]
示例 3:
输入:root = [0]
输出:[0]
非递归:先序遍历,然后更改左右指针
class Solution {
public void flatten(TreeNode root) {
Deque<TreeNode> stack = new LinkedList<TreeNode>();
List<TreeNode> nodeList = new ArrayList<TreeNode>();
// 第一种遍历方式
// while (root != null || !stack.isEmpty()) {
// while (root != null) {
// nodeList.add(root);
// stack.push(root);
// root = root.left;
// }
// root = stack.pop();
// root = root.right;
// }
// 第二种遍历方式
if (root == null) return;
stack.push(root);
while (!stack.isEmpty()) {
root = stack.pop();
nodeList.add(root);
if (root.right != null) stack.push(root.right);
if (root.left != null) stack.push(root.left);
}
int size = nodeList.size();
for (int i = 1; i < size; i++) {
TreeNode prev = nodeList.get(i-1);
TreeNode curr = nodeList.get(i);
prev.right = curr;
prev.left = null;
}
}
}
浙公网安备 33010602011771号