关于齐次坐标的理解
问题:两条平行线会相交于一点
在欧氏几何空间,同一平面的两条平行线不能相交,这是我们都熟悉的一种场景。
然而,在透视空间里面,两条平行线可以相交,例如:火车轨道随着我们的视线越来越窄,最后两条平行线在无穷远处交于一点。

轨道在远处相交于一点,但是现实中轨道是不可能相交的
因此在透视空间里,存在两条平行线相交
欧氏空间(或者笛卡尔空间)描述2D/3D几何非常适合,但是这种方法却不适合处理透视空间的问题(实际上,欧氏几何是透视几何的一个子集合),二维笛卡尔坐标可以表示为(x,y),三维(x,y,z)
如果一个点在无穷远处,这个点的坐标将会(∞,∞),在欧氏空间,这变得没有意义。平行线在透视空间的无穷远处交于一点,但是在欧氏空间却不能,数学家发现了一种方式来解决这个问题。
方法:齐次坐标表示2D/3D坐标系
我们可以在一个2D笛卡尔坐标末尾加上一个额外的变量w来形成2D齐次坐标,因此,一个点(X,Y)在齐次坐标
里面变成了(x,y,w),并且有:X = x/w、Y = y/w
简述:2D笛卡尔坐标(X,Y)、齐次坐标(x,y,w)
例如,笛卡尔坐标系下(1,2)的齐次坐标可以表示为(1,2,1),如果点(1,2)移动到无限远处,在笛卡尔坐标下它变为(∞,∞),然后它的齐次坐标表示为(1,2,0),因为(1/0, 2/0) = (∞,∞),我们可以不用”∞"来表示一个无穷远处的点了
PS:在齐次坐标中,不在使用笛卡尔坐标思维了,不然就无法理解它
齐次坐标转笛卡尔坐标
转化过程中……

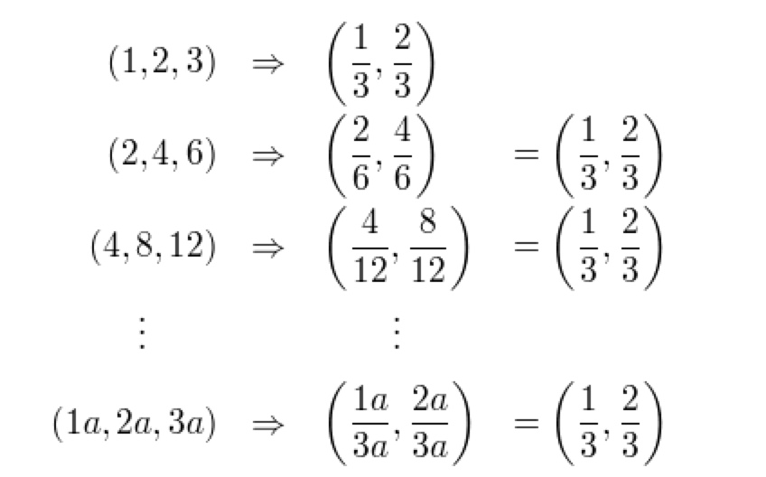
你会发现(1, 2, 3), (2, 4, 6) 和(4, 8, 12)对应同一个欧氏几何点 (1/3, 2/3),任何非零实数的乘积,例如(1a, 2a,3a) 对应 笛卡尔空间里面的(1/3, 2/3) 。因此,这些点是“齐次的”,因为它代表了笛卡尔坐标系里面的同一个点
齐次点具有下列几个性质:(齐次坐标比笛卡尔坐标多一维)
1)如果实数a非零,则(x, y, x, w)和(ax, ay, az, aw)表示同一个点,类似于x/y = (ax)/(ay)。
2)三维空间点(x, y, z)的齐次点坐标为(x, y, z, 1.0),二维平面点(x,y)的齐次坐标(x,y,0,1)。
3)当w不为零时,齐次点坐标(x, y, z, w)即三维空间点坐标(x/w, y/w, z/w);当w为零时,齐次点(x, y, z, 0)表示此点位于某方向的无穷远处。
引进齐次坐标优点
1.它提供了用矩阵运算把二维、三维甚至高维空间中的一个点集从一个坐标系变换到另一个坐标系的有效方法。
2.它可以表示无穷远的点。n+1维的齐次坐标中如果h=0,实际上就表示了n维空间的一个无穷远点。对于齐次坐标[a,b,h],保持a,b不变, 点沿直线 ax+by=0 逐渐走向无穷远处的过程。
证明:两条直线可以相交

我们知道在笛卡尔坐标系里面,该方程组无解,因为C ≠ D,如果C=D,两条直线就相同了。
让我们在透视空间里面,用齐次坐标x/w, y/w代替x ,y,
现在我们有一个解(x, y, 0),两条直线相交于(x, y, 0),这个点在无穷远处。

“齐次坐标表示是计算机图形学的重要手段之一,它既能够用来明确区分向量和点,同时也更易用于进行仿射(线性)几何变换。”—— F.S. Hill, JR。
对于一个向量v以及基oabc,可以找到一组坐标(v1,v2,v3),使得v = v1 a + v2 b + v3 c (1)
而对于一个点p,则可以找到一组坐标(p1,p2,p3),使得 p – o = p1 a + p2 b + p3 c (2)
从上面对向量和点的表达,我们可以看出为了在坐标系中表示一个点(如p),我们把点的位置看作是对这个基的原点o所进行的一个位移,即一个向量——p – o(有的书中把这样的向量叫做位置向量——起始于坐标原点的特殊向量),我们在表达这个向量的同时用等价的方式表达出了
点p:p = o + p1 a + p2 b + p3 c (3)
(1)(3)是坐标系下表达一个向量和点的不同表达方式
这里可以看出,虽然都是用代数分量的形式表达向量和点,但表达一个点比一个向量需要额外
的信息。如果我写出一个代数分量表达(1, 4, 7),谁知道它是个向量还是个点!
我们现在把(1)(3)写成矩阵的形式:
v = (v1 v2 v3 0) X (a b c o)
p = (p1 p2 p3 1) X (a b c o)
这里(a,b,c,o)是坐标基矩阵,右边的列向量分别是向量v和点p在基下的坐标。这样,向量和点在同一个基下就有了不同的表达:3D向量的第4个代数分量是0,而3D点的第4个代数分量是1。像这种这种用4个代数分量表示3D几何概念的方式是一种齐次坐标表示。
这样,上面的(1, 4, 7)如果写成(1,4,7,0),它就是个向量;如果是(1,4,7,1),它就是个点。下面是如何在普通坐标(Ordinary Coordinate)和齐次坐标(Homogeneous Coordinate)之间进行转换:
(1)从普通坐标转换成齐次坐标时
如果(x,y,z)是个点,则变为(x,y,z,1);
如果(x,y,z)是个向量,则变为(x,y,z,0)
(2)从齐次坐标转换成普通坐标时
如果是(x,y,z,1),则知道它是个点,变成(x,y,z);
如果是(x,y,z,0),则知道它是个向量,仍然变成(x,y,z)
以上是通过齐次坐标来区分向量和点的方式。从中可以思考得知,对于平移T、旋转R、
缩放S这3个最常见的仿射变换,平移变换只对于点才有意义,因为普通向量没有位置
概念,只有大小和方向.
而旋转和缩放对于向量和点都有意义,你可以用类似上面齐次表示来检测。从中可以
看出,齐次坐标用于仿射变换非常方便。
此外,对于一个普通坐标的点P=(Px, Py, Pz),有对应的一族齐次坐标(wPx, wPy,wPz,
w),其中w不等于零。比如,P(1, 4, 7)的齐次坐标有(1, 4, 7, 1)、(2, 8, 14, 2)、
(-0.1, -0.4, -0.7, -0.1)等等。因此,如果把一个点从普通坐标变成齐次坐标,给x,y,z
乘上同一个非零数w,然后增加第4个分量w;如果把一个齐次坐标转换成普通坐标,
把前三个坐标同时除以第4个坐标,然后去掉第4个分量。
由于齐次坐标使用了4个分量来表达3D概念,使得平移变换可以使用矩阵进行,从而如
F.S. Hill, JR所说,仿射(线性)变换的进行更加方便。由于图形硬件已经普遍地支持
齐次坐标与矩阵乘法,因此更加促进了齐次坐标使用,使得它似乎成为图形学中的一个标准。
分享一个有道链接:转载于此,经过多次转载,来源于网络,供学习分享

浙公网安备 33010602011771号