行列式

行列式是方阵的属性
类比:数的大小,符号,约束,是否为素数。
行列式 表示空间一组基的 面积,体积或者更高纬度的体积。
在这里插入图片描述
计算行列式的值:
det[abcd]det\left[ \begin{matrix} a & b \\ c & d \end{matrix} \right] =abcd\begin{vmatrix}a &b\\c & d \end{vmatrix}
图中大正方形面积为:(a+c)(b+d)
2个小正方形面积:2bc
2个大三角形:21/2a*b=ab
2个小三角形:2 * 1/2 cd =cd
222=(a+c)(b+d)2bcabcd=ab+cb+ad+cdab=bc+ad2bc=adbc大正方形 - 2个小正方形面积 - 2个大三角形 - 2个小三角形=(a + c)(b + d) - 2bc - ab -cd =ab+cb + ad + cd -ab =bc +ad - 2bc =ad -bc
二阶行列式 :
abcd\begin{vmatrix}a &b\\c & d \end{vmatrix}=ad-bc

abcd\begin{vmatrix}a &b\\c & d \end{vmatrix}=-cdab\begin{vmatrix}c &d\\a & b \end{vmatrix}在这里插入图片描述
有向面积:
如果上图的平行四边形是个纸片 交换行列式 相当于把直面翻过来了。
在三维即以上的空间,体积的方向将变得极为复杂。

行列式的基本性质

  1. detI=1detI=1
  2. 交换行列式2行,则行列式的值取反。
  3. 方阵的某一行乘以一个数k,则其对应的行列式也缩放了K倍。

abcd\begin{vmatrix}a &b\\c & d \end{vmatrix} = kabcd\begin{vmatrix}a &b\\c & d \end{vmatrix}在这里插入图片描述

  • det(kA)=kndet(A)det(kA) =k^ndet(A)

对一个向量某一行 扩大k倍 行列式的 值扩大k倍 对n行向量 扩大k倍则行列式扩大k的n倍。

  1. 方正的某一行加上一行数,则有:
    a+ab+bcd\begin{vmatrix}a+a' &b+b'\\c & d \end{vmatrix} = abcd\begin{vmatrix}a &b\\c & d \end{vmatrix}+abcd\begin{vmatrix}a' &b'\\c & d \end{vmatrix}
    将上面是性质拆分 得到左边和右边相等 证明等式成立。
    left=(a+a)d(b+b)c=ad+adbcbcleft = (a + a')d -(b +b')c=ad+ad'-bc-b'c
    right=adbc+adbcright =ad - bc +ad' - b'c在这里插入图片描述
    绿色部分的面积 是 蓝色部分的 和 黄色部分的面积相加。

在这里插入图片描述
二维空间:两行向量 共线 ,面积为0。
三维空间:两个向量共线,形成一个面,体积为0。
n维空间 :n维向量形成的n-m维n-m体积,他的n维体积为0.在这里插入图片描述

在这里插入图片描述
如果行列式的一行是其他行的线性组合,则行列式的值为0。

det(A)=0Adet(A) = 0 A不可逆
det(A)0Adet(A) \not= 0 A可逆
行列式的值为0 矩阵的可逆
在这里插入图片描述

在这里插入图片描述

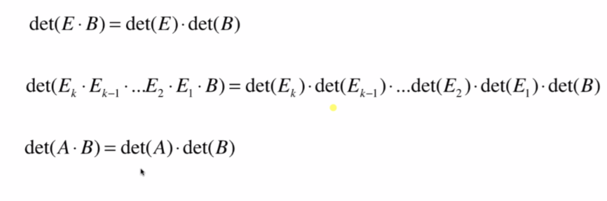
初等矩阵与行列式

det(AB)=det(A)det(B)det(A\cdot B) = det(A)\cdot det(B)
2个体积的的乘积。

如果A活着B中的某一行 和其他线性相关?
det(AB)=0det(A\cdot B) = 0
det(A)=0ordet(B)=0det(A) = 0 or det(B) = 0

如果A和B中的所有行都线性无关
det(AB)=det(A)det(B)det(A\cdot B) = det(A) \cdot det(B)

线性无关矩阵可以转换成一系列初等矩阵的乘积。
det(AB)=det(Ek...E2E1B)det(A\cdot B) =det(E_k...E_2E_1B)
如果E是单位举证的某一行乘以K
det(E)=Kdet(E)=K
如果E是单位矩阵的某两行交换
det(E)=1det(E)=-1
如果E是单位矩阵的某行加(减)另一行的K倍
det(E)=1det(E)=1

det(EB)=det(E)det(B)det(E\cdot B)=det(E) \cdot det(B)
如果E是某单位矩阵的某一行乘以K
det(E)=kdet(E)=k
则 方阵EB是B中的某一行乘以k
det(EB)=kdet(B)det(E \cdot B)=kdet(B) det(E)det(B)=kdet(B)det(E )\cdot det( B)=kdet(B)
在这里插入图片描述

在这里插入图片描述
在这里插入图片描述

证明A的逆的行列式:

在这里插入图片描述

行式就是列式

在这里插入图片描述

posted @ 2019-12-15 14:24  caomaoboy  阅读(670)  评论(0)    收藏  举报