机器学习数学基础-2-微积分
微积分
微分知识点
- \(\Delta x=dx\)
- \(\Delta y\) 是 \(dx\) 的曲线增量
- \(dy\) 是 \(dx\) 的切线增量
- \(\Delta y=dy+o(\Delta x)\)
定积分
当 \(\lVert\Delta x\rVert\to 0\)时,总和 \(S\) 总是趋于确定的极限 \(I\),则称极限 \(I\) 为函数 \(f(x)\) 在曲线 \([a,b]\) 上的定积分
\[\int_{a}^{b}f(x)dx=I=\lim_{\lambda\to 0}\sum_{i=1}^{n}f(\xi_i)\Delta x_i
\]
- \(a,b\) 分别称为积分上限和积分下限
- \(f(x)\) 称为被积函数
- \(dx\) 称为积分变量
- \(f(x)dx\) 整体称为被积表达式
积分值和被积函数与积分曲线有关,与积分变量字母无关,即
\[\int_a^bf(x)dx=\int_a^bf(t)dt=\int_a^bf(u)du
\]
当函数 \(f(x)\) 在区间 \([a,b]\) 上的定积分存在的时候,称 \(f(x)\) 在区间 \([a,b]\) 上可积
定积分的性质
- \(\int_a^b[f(x)\pm g(x)]dx=\int_a^bf(x)dx\pm \int_a^bg(x)dx\)
- \(\int_a^bkf(x)dx=k\int_a^bf(x)dx\),其中 \(k\) 为常数
- 若 \(a<c<b\),则 \(\int_a^bf(x)dx=\int_a^cf(x)dx+\int_c^bf(x)dx\)
- 若在区间 \([a,b]\) 上 \(f(x)\ge0\),则 \(\int_a^bf(x)dx\ge 0\),其中 \(a<b\)
第一中值定理
如果函数 \(f(x)\) 在闭区间 \([a,b]\) 上连续,则在积分区间 \([a,b]\) 上至少存在一点 \(\xi\),使得 \(\int_a^bf(x)dx=f(\xi)(b-a),\ (a\le\xi\le b)\)
积分上限函数
函数 \(f(x)\) 在区间 \([a,b]\) 上连续,对于定积分 \(\int_a^xf(x)dx\) 每一个取值的 \(x\) 都有一个对应的定积分值,记作 \(\Phi(x)=\int_a^xf(t)dt\)
如果 \(f(x)\) 在区间 \([a,b]\) 上连续,则积分上限函数就是 \(f(x)\) 在 \([a,b]\) 上的原函数
牛顿-莱布尼茨公式
如果 \(F(x)\) 是连续函数 \(f(x)\) 在区间 \([a,b]\) 上的一个原函数,则:
\[\int_a^bf(x)dx=F(b)-F(a)
\]
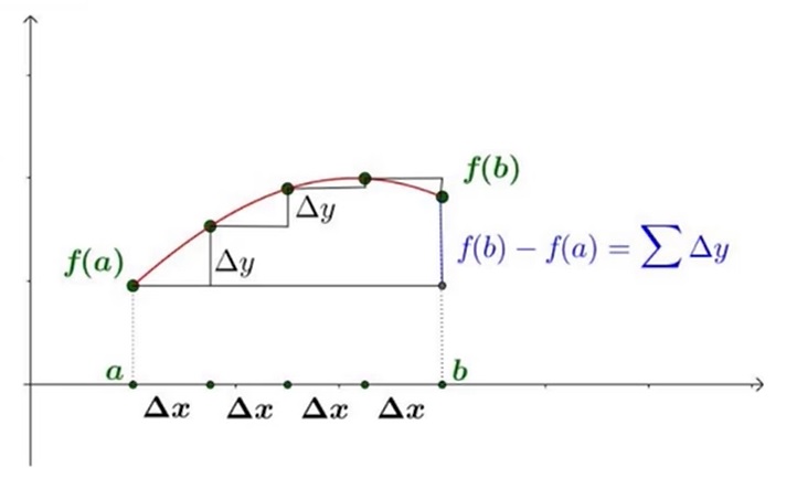
几何解释:

\(f(b)-f(a)=\sum dy\),由于 \(dy=f^{'}(x)dx\),那么 \(f(b)-f(a)=\sum f^{'}(x)dx=\int_a^bf^{'}(x)dx\)
微积分基本公式
有 \(f(x)\in C[a,b]\),且 \(F^{'}(x)=f(x)\)
\[\underbrace{\int_a^bf(x)dx=f(\xi)(b-a)}_{\text{积分中值定理}}=\underbrace{F^{'}(\xi)(b-a)=F(b)-F(a)}_{\text{微分中值定理}}
\]

浙公网安备 33010602011771号