142.环形链表II——学习笔记
题目:给定一个链表的头节点 head ,返回链表开始入环的第一个节点。 如果链表无环,则返回 null。
如果链表中有某个节点,可以通过连续跟踪 next 指针再次到达,则链表中存在环。 为了表示给定链表中的环,评测系统内部使用整数 pos 来表示链表尾连接到链表中的位置(索引从 0 开始)。如果 pos 是 -1,则在该链表中没有环。注意:pos 不作为参数进行传递,仅仅是为了标识链表的实际情况。
不允许修改链表。
示例 1:

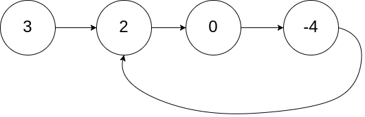
输入:head = [3,2,0,-4], pos = 1
输出:返回索引为 1 的链表节点
解释:链表中有一个环,其尾部连接到第二个节点。
示例 2:

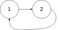
输入:head = [1,2], pos = 0
输出:返回索引为 0 的链表节点
解释:链表中有一个环,其尾部连接到第一个节点。
示例 3:

输入:head = [1], pos = -1
输出:返回 null
解释:链表中没有环。
提示:
- 链表中节点的数目范围在范围 [0, 104] 内
- -105 <= Node.val <= 105
- pos 的值为 -1 或者链表中的一个有效索引
题目来源:力扣(LeetCode)链接
题解:
- 自己做的(利用了Map)
/** * Definition for singly-linked list. * class ListNode { * int val; * ListNode next; * ListNode(int x) { * val = x; * next = null; * } * } */ public class Solution { public ListNode detectCycle(ListNode head) { if (head == null) { //如果链表为空,就直接返回null return null; } //创建map集合用来存放链表中的节点 Map<ListNode,ListNode> nodeMap = new HashMap<>(); ListNode temp = head; while (temp.next != null) { //先判断map集合中是否有当前节点的下一节点 //如果有,那么当前节点的下一节点即是环形链表的起始节点 if (nodeMap.containsKey(temp.next)) { return temp.next; } //先判断再把节点放入map中 nodeMap.put(temp, temp.next); temp = temp.next;//节点后移 } //while循环结束,说明没有找到 return null; } } - 快慢指针法(具体分析见代码随想录)

/** * Definition for singly-linked list. * class ListNode { * int val; * ListNode next; * ListNode(int x) { * val = x; * next = null; * } * } */ public class Solution { public ListNode detectCycle(ListNode head) { ListNode slow = head; //慢指针,每次走一步 ListNode fast = head; //快指针,每次走二步 //因为快指针每次走两步,所以需要判断fast和fast.next是否为空 while (fast != null && fast.next != null) { slow = slow.next;//慢指针走一步 fast = fast.next.next;//快指针走两步 if (slow == fast) {//快慢指针相遇,说明有环 ListNode index1 = fast;//index1从相遇点开始出发 ListNode index2 = head;//index2从链表起始位置开始出发 //两者相遇时即为环形链表的起始位置 while (index1 != index2) { index1 = index1.next; index2 = index2.next; } //返回这个起始位置 return index1; } } //如果链表为空,或者没有环形链表,都会返回null return null; } }

浙公网安备 33010602011771号