面试题 02.07. 链表相交——学习笔记
题目:给你两个单链表的头节点 headA 和 headB ,请你找出并返回两个单链表相交的起始节点。如果两个链表没有交点,返回 null 。
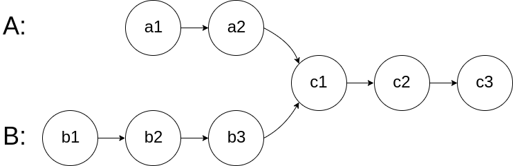
图示两个链表在节点 c1 开始相交:

题目数据 保证 整个链式结构中不存在环。
注意,函数返回结果后,链表必须 保持其原始结构 。
示例 1:

输入:intersectVal = 8, listA = [4,1,8,4,5], listB = [5,0,1,8,4,5], skipA = 2, skipB = 3
输出:Intersected at '8'
解释:相交节点的值为 8 (注意,如果两个链表相交则不能为 0)。
从各自的表头开始算起,链表 A 为 [4,1,8,4,5],链表 B 为 [5,0,1,8,4,5]。
在 A 中,相交节点前有 2 个节点;在 B 中,相交节点前有 3 个节点。
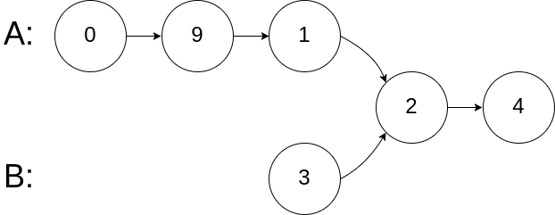
示例 2:

输入:intersectVal = 2, listA = [0,9,1,2,4], listB = [3,2,4], skipA = 3, skipB = 1
输出:Intersected at '2'
解释:相交节点的值为 2 (注意,如果两个链表相交则不能为 0)。
从各自的表头开始算起,链表 A 为 [0,9,1,2,4],链表 B 为 [3,2,4]。
在 A 中,相交节点前有 3 个节点;在 B 中,相交节点前有 1 个节点。
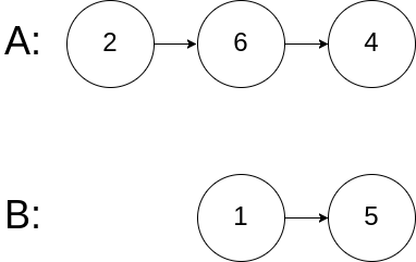
示例 3:

输入:intersectVal = 0, listA = [2,6,4], listB = [1,5], skipA = 3, skipB = 2
输出:null
解释:从各自的表头开始算起,链表 A 为 [2,6,4],链表 B 为 [1,5]。
由于这两个链表不相交,所以 intersectVal 必须为 0,而 skipA 和 skipB 可以是任意值。
这两个链表不相交,因此返回 null 。
提示:
- listA 中节点数目为 m
- listB 中节点数目为 n
- 0 <= m, n <= 3 * 104
- 1 <= Node.val <= 105
- 0 <= skipA <= m
- 0 <= skipB <= n
- 如果 listA 和 listB 没有交点,intersectVal 为 0
- 如果 listA 和 listB 有交点,intersectVal == listA[skipA + 1] == listB[skipB + 1]
题目来源:力扣(LeetCode)链接
题解:
- 自己做的(利用了Map)
/** * Definition for singly-linked list. * public class ListNode { * int val; * ListNode next; * ListNode(int x) { * val = x; * next = null; * } * } */ public class Solution { public ListNode getIntersectionNode(ListNode headA, ListNode headB) { //如果有一个链表为空就返回null if (headA == null || headB == null) { return null; } //创建一个map集合以键值对的方式存放链表A中的节点 Map<ListNode, ListNode> nodeMap = new HashMap<>(); ListNode tempA = headA; //遍历A链表,把所有节点加入到map集合中, //其中key存放的是当前节点,value存放的是当前节点的下一节点 while (tempA != null) { nodeMap.put(tempA, tempA.next); tempA = tempA.next; } ListNode tempB = headB; //遍历B链表 while (tempB != null) { /* 自己的错误想法 如果该节点的下一节点等于map中该节点的对应的下一节点,说明找到 了目标节点,不用这样判断示例1中的两个1节点是不同的节点 if (tempB.next == nodeMap.get(tempB) && nodeMap.containsKey(tempB)) { */ //这里判断map中是否存在该节点,避免两条链表没有相交的情况 if (nodeMap.containsKey(tempB)) { //如果满足条件,说明该节点就是目标节点,直接返回 return tempB; } tempB = tempB.next; } //如果循环结束后没有找到,说明没有相交,返回null return null; } } - 利用两链表的差值
/** * Definition for singly-linked list. * public class ListNode { * int val; * ListNode next; * ListNode(int x) { * val = x; * next = null; * } * } */ public class Solution { public ListNode getIntersectionNode(ListNode headA, ListNode headB) { ListNode curA = headA; ListNode curB = headB; int lenA = 0, lenB = 0; while (curA != null) { //求链表A的长度 lenA++; curA = curA.next; } while (curB != null) { //求链表B的长度 lenB++; curB = curB.next; } curA = headA; curB = headB; if (lenB > lenA) { //这里的操作是为了让A链表是两链表中长度最长的链表 int tempLen = lenA; lenA = lenB; lenB = tempLen; ListNode tempNode = curA; curA = curB; curB = tempNode; } int gap = lenA - lenB; //计算长度差 // 让curA和curB在同一起点上(末尾位置对齐) while (gap != 0) { curA = curA.next; gap--; } //遍历curA和curB,相同时就为相交节点,直接返回 while (curA != null) { if (curA == curB) { return curA; } curA = curA.next; curB = curB.next; } //while结束后,说明没有找到相交节点,返回null return null; } }

浙公网安备 33010602011771号