24. 两两交换链表中的节点——学习笔记
题目:给你一个链表,两两交换其中相邻的节点,并返回交换后链表的头节点。你必须在不修改节点内部的值的情况下完成本题(即,只能进行节点交换)。
示例 1:

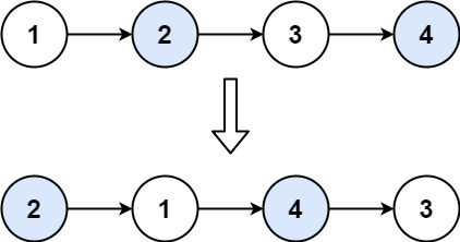
输入:head = [1,2,3,4]
输出:[2,1,4,3]
示例 2:
输入:head = []
输出:[]
示例 3:
输入:head = [1]
输出:[1]
提示:
- 链表中节点的数目在范围 [0, 100] 内
- 0 <= Node.val <= 100
题目来源:力扣(LeetCode)链接
题解:
- 迭代法
/** * Definition for singly-linked list. * public class ListNode { * int val; * ListNode next; * ListNode() {} * ListNode(int val) { this.val = val; } * ListNode(int val, ListNode next) { this.val = val; this.next = next; } * } */ class Solution { public ListNode swapPairs(ListNode head) { ListNode dummyNode = new ListNode(-1); dummyNode.next = head; ListNode cur = dummyNode; ListNode temp; ListNode firstNode; ListNode secondNode; while(cur.next != null && cur.next.next != null) { temp = cur.next.next.next; firstNode = cur.next; secondNode = cur.next.next; cur.next = secondNode; sceondNode.next = firstNode; firstNode.next = temp; cur = firstNode; } return dummyNode.next; } } - 递归法
/** * Definition for singly-linked list. * public class ListNode { * int val; * ListNode next; * ListNode() {} * ListNode(int val) { this.val = val; } * ListNode(int val, ListNode next) { this.val = val; this.next = next; } * } */ class Solution { public ListNode swapPairs(ListNode head) { ListNode firstNode = head;//这里一定firstNode是为了方便理解递归 //如果头节点为空,或者遍历到链表的最后就返回该节点 if (firstNode == null || firstNode.next == null) { return firstNode; } ListNode secondNode = firstNode.next;//要交换的第二个节点 //递归开始,输入一组的第一个节点,返回这一组第二个节点 //也就是前一组交换后要指向的下一组的第一个节点 ListNode secondNextNode = swapPairs(secondNode.next); secondNode.next = firstNode;//第二个节点和第一个节点交换位置 //交换位置后的第二个节点指向下一组交换后的第一个节点 firstNode.next = secondNextNode; return secondNode;//返回交换后的第一个节点 //递归完成后会回溯到第一次交换的位置,返回的就是整个链表交换后的头节点 } }

浙公网安备 33010602011771号