【学习笔记】字符串全家桶
本文正在不定期更新。
期末考试前学了下这些东西,感觉很简单,不像某 mp。
然而期末 Day1 考完就忘了,所以还是写篇笔记吧。
前置知识:字典树、自动机。
AC自动机(ACAM)
先来看一下洛谷上的 AC 自动机模版题。
P5357 【模板】AC 自动机
给你一个文本串 \(S\) 和 \(n\) 个模式串 \(T_{1\sim n}\),请你分别求出每个模式串 \(T_i\) 在 \(S\) 中出现的次数。
首先,AC 自动机的核心思想是:求 \(S\) 中有多少个模式串,相当于拿每个前缀找有多少个后缀是模式串。
这句话很显然,但他就是核心思想。
然后就来看看 AC 自动机如何处理这一过程:
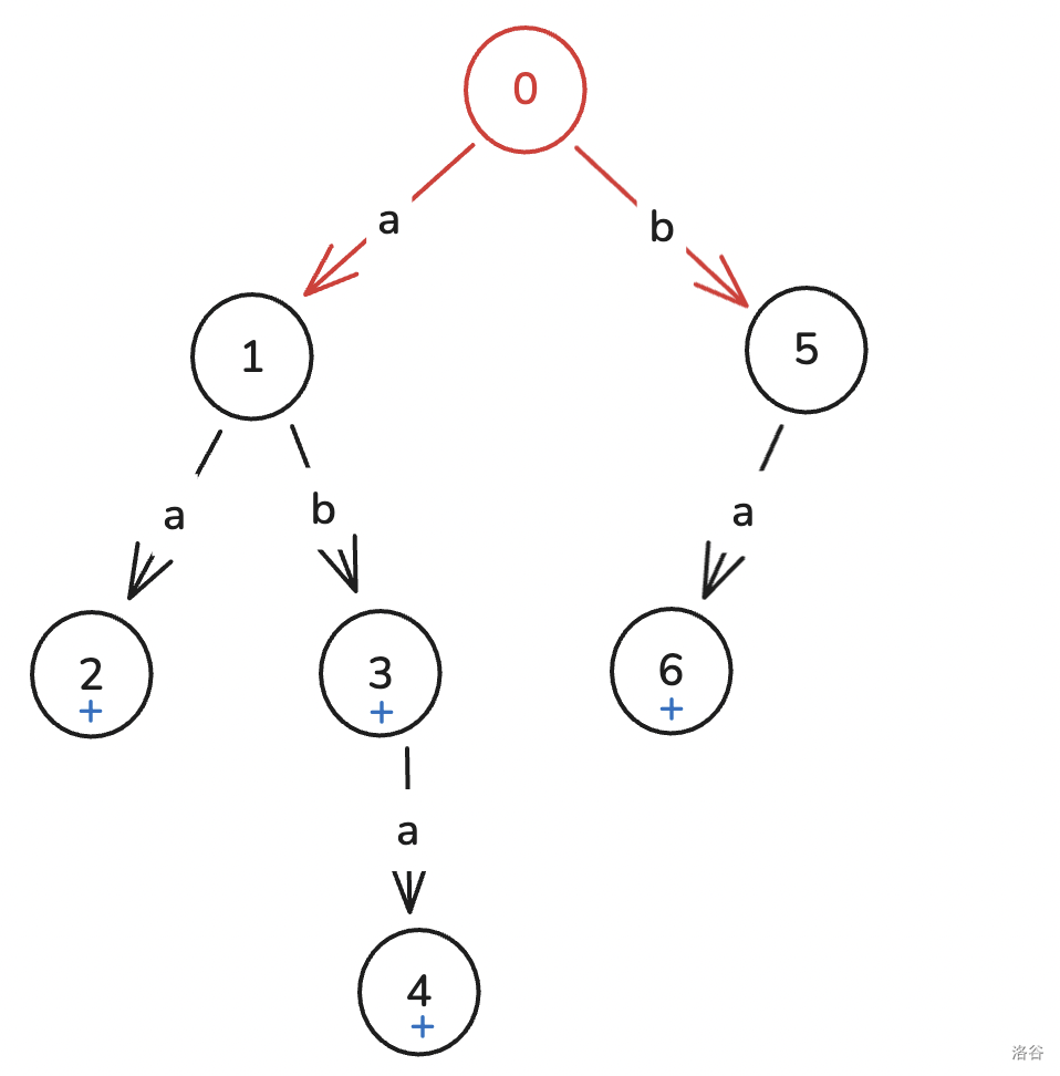
举个例子,文本串:
abaaaba
模式串:
aa
ab
aba
ba
首先把模式串扔到字典树上。蓝色的加表示模式串中有“根到该节点的串”(下文称“根到一个节点的串”为该节点的串)。

然后把 \(S\) 拿出来,从第一位开始在字典树上遍历,然后找该前缀的后缀去匹配:
一开始在根节点(红色的)。
-
a,走到 \(\color{red}1\)。没有可以匹配的。 -
b,走到 \(\color{red}3\)。显然有ab。 -
a,走到 \(\color{red}4\)。显然有aba,但是此时aba也行。然后我们发现他们是成一个后缀关系的!
aba
ba
a
现在无非就是求这个模式串有几个模式串是它的后缀。这个可以离线处理,等会儿再讲。
所以直接在当前点打个 \(\color{red}+1\) 的标记就好了(所以标红的数字就是打了标记)。
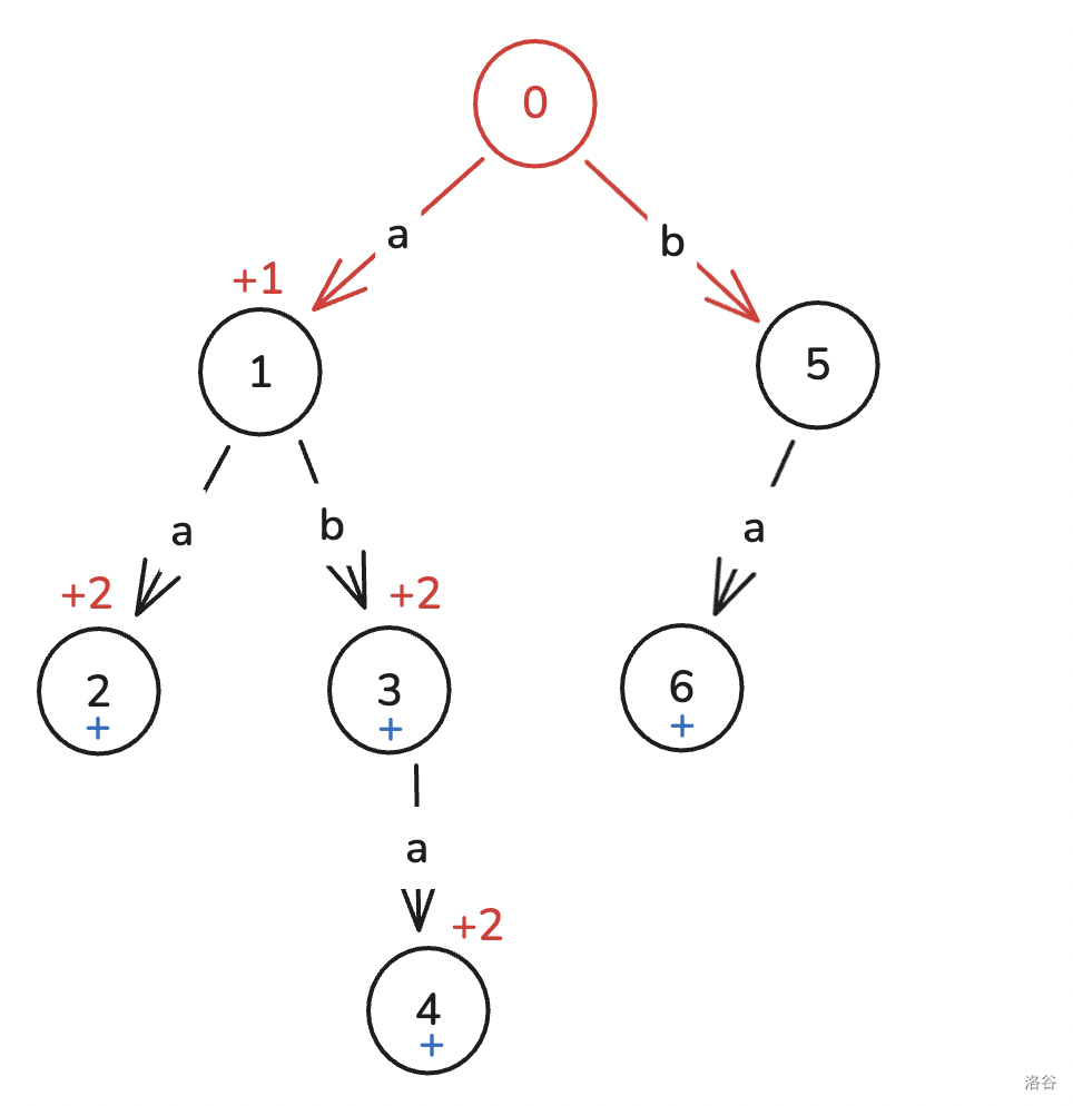
a,由于 \(4\) 后面不能接a了,所以找其最长后缀,即ba,跳到 \(6\) 节点。不过还是不能接。同理再找最长后缀a,跳到 \(1\),然后发现可以接,就走到 \(\color{red}2\)。这样最终的节点的串一定会是当前前缀(这里就是abaa)的最长的后缀。这个过程是 AC 自动机的精髓,请务必理解。
fail
上面那些东西怎么实现?首先假设用来存 trie 的数组是 \(trie_{u,c}\),表示节点 \(u\) 往后接字符 \(c\) 到的节点是多少(如果不能接就是空);然后我们引入一个数组 \(fail_u\),表示节点 \(u\) 的串的最长后缀所对的节点,并且这个后缀得在字典树上存在。比如说 \(fail_4 = 6,fail_6 = fail_2 = 1\)。至于如何求出所有的 \(fail\),考虑当前节点 \(u\) 后接某个字符 \(c\),走到儿子 \(v\),那么可以尝试用 \(trie_{{fail_u},c}\) 更新 \(fail_v\);如果 \(fail_u\) 接不了 \(c\),继续尝试用 \(fail_{fail_u}\),以此类推。
然后匹配的过程也差不多,可以参照步骤 \(4\)。我们算一下时间复杂度:最坏情况下,处理 \(fail\) 的过程是 \(\mathcal{O}(\sum(|T_i|)^2)\),匹配过程是 \(\mathcal{O}(|S|)\) 的(类似双指针)。
处理过程太慢了!怎么优化?
优化!
以下是思考过程,如果赶时间只想看结果可以跳过。
再看看这个过程:
-
找到当前点的 \(fail\),看看能否更新待更新点。
-
如果不能,用当前点的 \(fail\) 继续找,回到 1;否则就找到了。
是一个类似递归的过程。说的明白些:如果两个串有共同的 \(fail\),他们的结果也会一样。
于是考虑记忆化!设 \(f(u,c)\) 表示 \(u\) 的串后面无法接 \(c\)(不在字典树上),它接了 \(c\) 之后的最长后缀是那个节点。
那直接有 \(f(u,c)=\begin{cases}trie_{fail_u,c} &(fail_u\ 之后能接\ c) \\f(fail_u,c) &(fail_u\ 之后不能接\ c)\end{cases}\)。注意边界是 \(f(root,c)=root\)。
然后把它记忆化一下就行。不过不用这么多数组,验证发现 \(f\) 和 \(trie\) 完全可以合并。
新 trie
于是最终就有了这样的形式:
本来的 trie 数组,如果不能接就是空。现在,我们修改一下它的定义:
(因此定义也可以说成是 \(u\) 的串后面接 \(c\) 之后的新串的 \(fail\)。)
这样以来,更新 \(fail_v\) 的时候直接用 \(trie_{fail_u,c}\) 就行。然后就解决。。。慢!还有一个问题:以什么顺序更新?
一个显然正确的办法就是 bfs,因为跳 \(fail\) 只会变短。好了,现在问题就完美解决了!而且代码甚至更短。此外,匹配过程也可以直接跳 \(trie_{u,c}\) 而不用去挨个找 \(fail\) 了,毕竟这俩几乎一个写法。
在上面例子中,以下是部分的新 \(trie\) 值:
代码实现
然后代码就是完全按照上面的过程写的:
void init_fail()
{
queue<int> q;
q.push(root);
fail[root] = root;
while (!q.empty())
{
int u = q.front();
q.pop();
for (int i = 0; i < 26; i++)
{
if (!trie[u][i])
trie[u][i] = u == root ? root : trie[fail[u]][i]; // 更新接不了的 trie(情况 2,3)
else
{
fail[trie[u][i]] = u == root ? root : trie[fail[u]][i]; // 更新 fail,注意这里也要特判!
q.push(trie[u][i]);
}
}
}
}
匹配过程的函数你也一定会写了:
void Pair()
{
int pos = strlen(s + 1);
int u = root;
for (int i = 1; i <= pos; i++)
{
u = trie[u][s[i] - 'a'];
tag[u]++;
}
}
现在你已经基本掌握 AC 自动机了!让我们回到洛谷的那个经典问题。
咱们继续匹配:
-
a,\(2\) 接不了,就跳到 \(1\),然后继续走到 \(\color{red}2\)。 -
b,\(2\) 接不了,跳到 \(1\),走到 \(\color{red}3\)。 -
a,走到 \(\color{red}4\)。结束。
最后,树上的标记就是酱紫的:

然后回到之前遗留的问题:计算模式串的出现次数。
遗留的问题
我们打上的标记,代表这个串的所有后缀都匹配上了。因此一个模式串的贡献,就是一棵 “fail 树” 的子树和。看图:

绿色的就是 fail 关系,构成了一棵树。
这个 AC 自动机怎么还有两棵树啊?分不清怎么办?其实说白了,字典树上的祖先是前缀,fail 树上的祖先是后缀。
那直接 dfs fail 树就好了,不过要记得在更新 fail 的时候顺便连边。
int dfs(int u)
{
int res = tag[u];
for (int v : g[u])
res += dfs(v);
for (int i : id[u])
ans[i] = res;
return res;
}
至此,原问题已经完美解决!让我们把所有元素结合在一起!
P5357 自动机代码
// Author: Aquizahv
#include <bits/stdc++.h>
#define ll long long
using namespace std;
const int N = 2e5 + 5, S = 2e6 + 5;
int n, ans[N];
char s[S], t[N];
struct AC_auto
{
int root = 1, tot = root, trie[N][30], fail[N], tag[N];
vector<int> id[N], g[N];
void insert(int cnt)
{
int pos = strlen(t + 1), u = root;
for (int i = 1; i <= pos; i++)
{
int d = t[i] - 'a';
if (!trie[u][d])
trie[u][d] = ++tot;
u = trie[u][d];
}
id[u].push_back(cnt);
}
void init_fail()
{
queue<int> q;
q.push(root);
fail[root] = root;
while (!q.empty())
{
int u = q.front();
q.pop();
for (int i = 0; i < 26; i++)
{
if (!trie[u][i])
trie[u][i] = u == root ? 1 : trie[fail[u]][i];
else
{
fail[trie[u][i]] = u == root ? root : trie[fail[u]][i];
g[fail[trie[u][i]]].push_back(trie[u][i]);
q.push(trie[u][i]);
}
}
}
}
void Pair()
{
int pos = strlen(s + 1);
int u = root;
for (int i = 1; i <= pos; i++)
{
u = trie[u][s[i] - 'a'];
tag[u]++;
}
}
int dfs(int u)
{
int res = tag[u];
for (int v : g[u])
res += dfs(v);
for (int i : id[u])
ans[i] = res;
return res;
}
void debug(int u)
{
for (int i = 0; i < 26; i++)
if (trie[u][i])
{
cout << u << ' ' << char('a' + i) << ' ' << trie[u][i] << endl;
debug(trie[u][i]);
}
}
} ac;
int main()
{
cin >> n;
for (int i = 1; i <= n; i++)
scanf("%s", t + 1), ac.insert(i);
ac.init_fail();
scanf("%s", s + 1);
ac.Pair();
ac.dfs(ac.root);
for (int i = 1; i <= n; i++)
printf("%d\n", ans[i]);
return 0;
}
例题:[NOI2011] 阿狸的打字机
https://www.luogu.com.cn/problem/P2414
还是考虑模式串对原串的贡献。发现是对原串进行一个到根的路径加(因为是每个前缀),再对模式串的 \(fail\) 子树进行子树 sum。
所以考虑离线下来,再进行一次遍历统计答案。把询问挂到原串对应点上,dfs 到这个点的时候,对询问进行模式串子树查询即可(要用 dfn 把子树转成区间)。
点击查看代码
// Author: Aquizahv
#include <bits/stdc++.h>
#define ll long long
using namespace std;
const int N = 1e5 + 5;
int n, m;
char s[N];
vector<int> g[N];
int id[N], dfncnt, dfn[N], dfd[N];
vector<pair<int, int> > q[N];
int ans[N];
struct BIT
{
int t[N];
void add(int it, int x)
{
if (it <= 0)
return;
while (it <= 1e5)
{
t[it] += x;
it += it & -it;
}
}
int sum(int it)
{
int res = 0;
while (it > 0)
{
res += t[it];
it -= it & -it;
}
return res;
}
} bit;
struct Ac_auto
{
int root = 1, tot = 1, trie[N][30], fa[N], fail[N];
void getFail()
{
queue<int> q;
q.push(root);
while (!q.empty())
{
int u = q.front(); q.pop();
for (int c = 0; c < 26; c++)
{
if (!trie[u][c])
trie[u][c] = u == root ? root : trie[fail[u]][c];
else
{
fail[trie[u][c]] = u == root ? root : trie[fail[u]][c];
g[fail[trie[u][c]]].push_back(trie[u][c]);
q.push(trie[u][c]);
}
}
}
}
void dfs(int u)
{
dfn[u] = ++dfncnt;
for (int v : g[u])
dfs(v);
dfd[u] = dfncnt;
}
void solve(int u)
{
bit.add(dfn[u], 1);
for (auto i : q[u])
ans[i.second] = bit.sum(dfd[i.first]) - bit.sum(dfn[i.first] - 1);
for (int c = 0; c < 26; c++)
if (fa[trie[u][c]] == u)
solve(trie[u][c]);
bit.add(dfn[u], -1);
}
void debug(int u)
{
for (int i = 0; i < 26; i++)
if (fa[trie[u][i]] == u)
{
cout << u << ' ' << char('a' + i) << ' ' << trie[u][i] << endl;
debug(trie[u][i]);
}
}
} ac;
int main()
{
scanf("%s", s + 1);
int len = strlen(s + 1);
int u = ac.root, v;
for (int i = 1; i <= len; i++)
{
if (s[i] == 'B')
{
u = ac.fa[u];
}
else if (s[i] == 'P')
id[++n] = u;
else
{
int c = s[i] - 'a';
if (!ac.trie[u][c])
{
ac.trie[u][c] = ++ac.tot;
ac.fa[ac.tot] = u;
}
u = ac.trie[u][c];
}
}
ac.getFail();
ac.dfs(ac.root);
cin >> m;
for (int i = 1; i <= m; i++)
{
scanf("%d%d", &u, &v);
q[id[v]].push_back({id[u], i});
}
ac.solve(ac.root);
for (int i = 1; i <= m; i++)
printf("%d\n", ans[i]);
return 0;
}
Manacher
可以线性处理出一个字符串的以 \(i\) 为中心的最长回文串长度。
这个东西其实非常简单啊,画个图就能理解了。
呃首先需要一个 trick,就是相邻的字符间插一个特殊字符,比如 |。然后开头(或结尾)也得插一个,否则开头结尾都是 0,可能会被判成回文串。
然后是 Manacher。
首先维护一个 \(r\) 表示目前遍历的 \(i\) 为中心的回文串中,回文串的右端点的最大值。以及一个 \(mid\) 表示这个 \(r\) 所对的回文串的中心。
假设我们已经处理了前 \(i-1\) 个 \(f\),然后考虑当前的 \(i\)。设 \(j=2mid-i\),即 \(i\) 关于 \(mid\) 的对称点。

横线表示回文串,方框表示里面的内容相同。
-
如图。如果有 \(i + f_j - 1\ge r\),那说明这个 \(i\)
很有潜力!从 \(f_i=\max(r-i+1,0)\) 开始(因为蕴含了 \(i>r\) 的情况),直接暴力判断、扩展 \(f_i\) 即可。因为 \(r\) 也会随之变大,所以这个扩展是均摊线性的。 -
否则,说明 \(i + f_j - 1\ge r\),那直接让 \(f_i=i + f_j - 1\),就不管它了。(没画,就是上图没有扩展)
点击查看代码
// Author: Aquizahv
#include <bits/stdc++.h>
#define ll long long
using namespace std;
const int N = 2.2e7 + 5;
int n, f[N], ans;
char s[N];
int main()
{
s[n] = '~';
s[++n] = '|';
char c = getchar();
while ('a' <= c && c <= 'z')
{
s[++n] = c;
s[++n] = '|';
c = getchar();
}
f[1] = 1;
for (int i = 2, mid = 1, r = 1; i <= n; i++)
{
if (i + f[2 * mid - i] - 1 >= r)
{
f[i] = max(r - i + 1, 0);
while (s[i + f[i]] == s[i - f[i]])
f[i]++;
mid = i, r = i + f[i] - 1;
}
else
f[i] = f[2 * mid - i];
ans = max(ans, f[i] - 1);
}
cout << ans << endl;
return 0;
}
exKMP(Z函数)
以线性时间,求一个字符串 \(s\) 的每个后缀与另一个字符串 \(t\) 的最长公共前缀(LCP)。
虽说这个叫做 exKMP,但它的思想是类似于 Manacher 的。
首先我们把 \(s\) 拼在 \(t\) 后面,那问题就转为了,对 \(t\) 的每一个(虽然用不着每一个)后缀求它与 \(t\) 的 LCP。
我们令 \(z_i\) 表示,从 \(i\) 开始的后缀的 LCP 长度。
还是假设处理了前面的 \(i-1\) 个,考虑当前。
仿照 Manacher,记录一个右端点最大的 LCP 的后缀信息,这个后缀以 \(k\) 开始,最大右端点为 \(r\)。
设 \(j=i-k+1\),即 \(i\) 在蓝色横线中的对应位置。

这回相同颜色的横线代表公共前缀。
-
如果 \(i+z_j+1\ge r\),那还是让 \(z_i\) 到已知最大右端点,即让 \(z_i = \max(r-i+1,0)\),然后再暴力扩展。
-
否则这个 \(i\) 就扩不了了,
这辈子就只能这样了。
点击查看代码
// Author: Aquizahv
#include <bits/stdc++.h>
#define ll long long
using namespace std;
const int N = 2e7 + 5;
int n, m, pos, z[N << 1];
char a[N], b[N], s[N << 1];
void exKMP()
{
s[pos + 1] = '~';
for (int i = 2, k = 1, r = 1; i <= pos; i++)
{
if (i == m + 1) // s[i] is '|'
continue;
if (i + z[i - k + 1] - 1 >= r)
{
z[i] = max(r - i + 1, 0);
while (s[1 + z[i]] == s[i + z[i]])
z[i]++;
k = i, r = i + z[i] - 1;
}
else
z[i] = z[i - k + 1];
}
z[1] = m;
}
int main()
{
scanf("%s%s", a + 1, b + 1);
n = strlen(a + 1), m = strlen(b + 1);
for (int i = 1; i <= m; i++)
s[++pos] = b[i];
s[++pos] = '|';
for (int i = 1; i <= n; i++)
s[++pos] = a[i];
exKMP();
ll ans1 = 0, ans2 = 0;
for (int i = 1; i <= m; i++)
ans1 ^= 1ll * i * (z[i] + 1);
for (int i = 1; i <= n; i++)
ans2 ^= 1ll * i * (z[m + 1 + i] + 1);
cout << ans1 << endl << ans2 << endl;
return 0;
}
聪明的你一定发现了,这个代码和 Manacher 几乎一样!这不奇怪,因为它跟 Manacher 的思想是几乎一致的,只不过一个回文串、一个 LCP。它们都是用一个对应的 \(j\) 来更新自己的。当然 KMP 也差不多。
所以说这些字符串算法无非是从先前的信息中找到有用的信息,而不是再算一遍。
扯远了,继续讲。
回文自动机(PAM)
用来处理以 \(i\) 结尾的回文串信息。
这个也还挺好理解的,\(u\xrightarrow{c} v\) 表示 \(S_u \rightarrow c+S_u+c\)。
懒得详细讲了,因为看代码就能看懂。
- root(0/-1) 表示回文串长度为偶/奇数时空串对应的节点
- len 表示以 \(i\) 结尾的最长回文串(虽然这题不用)
- ans 表示个数
- trie, fail 类似 ACAM,表示树上的儿子、最长后缀对应的点
点击查看代码
// Author: Aquizahv
#include <bits/stdc++.h>
#define ll long long
using namespace std;
const int N = 5e5 + 5;
int n, ans[N];
char s[N];
struct PAM
{
#define root(x) -x
int tot = 1, trie[N][30], len[N], fail[N];
int getFail(int u, int i)
{
while (s[i - len[u] - 1] != s[i])
u = fail[u];
return u;
}
void init()
{
len[root(0)] = 0, len[root(-1)] = -1;
fail[root(0)] = fail[root(-1)] = root(-1);
int cur, lst = root(-1);
for (int i = 1; i <= n; i++)
{
if (i > 1)
s[i] = (s[i] - 97 + ans[lst]) % 26 + 97;
cur = getFail(lst, i);
if (!trie[cur][s[i] - 'a'])
{
fail[++tot] = trie[getFail(fail[cur], i)][s[i] - 'a'];
trie[cur][s[i] - 'a'] = tot;
len[tot] = len[cur] + 2;
ans[tot] = ans[fail[tot]] + 1;
}
lst = trie[cur][s[i] - 'a'];
printf("%d%c", ans[lst], " \n"[i == n]);
}
}
} pam;
int main()
{
scanf("%s", s + 1);
n = strlen(s + 1);
pam.init();
return 0;
}

浙公网安备 33010602011771号