线性表的顺序存储和实现
1.线性表的顺序存储表示
- 顺序存储:逻辑相邻,物理也相邻的存储结构。用一组地址连续的存储单元依次存放线性表中的数据元素。可通过静态数组V[n]或动态数组来实现。
- 地址计算公式:LOC(ai) = LOC(a0)基地址 + i×C相同数据类型占用相同大小的空间。
- 顺序表的特点:
(1)存储密度高:存储密度=数据元素的值所需的存储空间/该元素实际所需的存储空间。但是需要预先分配“足够多”的空间,这可能会造成存储空间的浪费。
(2)便于随机存取。
(3)不便于插入和删除操作,因为会引起大量结点的移动。
2.顺序表类的描述
- 数组空间应根据实际需要定义为“足够大”,设为maxSize。考虑到线性表的长度是可变的,故还需要用一个变量curLen来纪录线性表当前的实际长度。
- Java代码实现:
点击查看代码
package LinearList;
public class SqList implements IList{
private Object[] listElem;
private int curLen;
public SqList(int maxSize) {
curLen = 0;
listElem = new Object[maxSize];
}
}
3.顺序表上基本操作的实现
- Java代码实现:
点击查看代码
package LinearList;
public class SqList implements IList{
private Object[] listElem;
private int curLen;
public SqList(int maxSize) {
curLen = 0;
listElem = new Object[maxSize];
}
public void clear() {
curLen = 0;
}
public boolean isEmpty() {
return curLen == 0;
}
public int getLength() {
return curLen;
}
public Object getValue(int i) throws Exception{
if(i<0 || i>curLen-1)
throw new Exception("第"+i+"个元素不存在");
return listElem[i];
}
public void display() {
for(int j=0;j<curLen;j++)
System.out.println(listElem[j]);
}
public void expandSpace(int newMaxSize) {
Object[] newArr = new Object[newMaxSize];
for(int i=0;i<listElem.length;i++)
newArr[i]=listElem[i];
listElem = newArr;
}
public void insert(int i,Object x) throws Exception{
if(curLen == listElem.length)
throw new Exception("顺序表已满");
if(i<0 || i>curLen)
throw new Exception("插入位置不合法");
for(int j=0;j>i;j--)
listElem[j]=listElem[j-1];
listElem[i]=x;
curLen++;
}
public void remove(int i)throws Exception{
if(i<0 || i>curLen-1)
throw new Exception("删除位置不合法");
for(int j=i;j<curLen-1;j++)
listElem[j]=listElem[j+1];
curLen--;
}
public int indexOf(Object x) {
int j=0;
while(j<curLen && !listElem[j].equals(x))
j++;
if(j<curLen)
return j;
else
return -1;
}
}
4.其中几个重要方法介绍与算法的性能分析
1.插入操作:在第i个元素ai之前插入一个值为x的元素,其中0≤i≤curLen。当i=0时,在表头插入;当i=curLen时,在表尾插入。
算法步骤:
(1)检测空间是否已满,若已满则抛出异常或调用扩容方法。
(2)判断参数i的合法性,当0≤i≤curLen时合法。
(3)插入位置及之后的所有元素后移一个位置。注意:必须先从最后一个数据元素开始逐个后移。
(4)插入元素,表长加1。
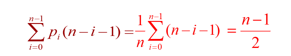
性能分析:在第i个数据元素之前插入,会引起n-i个数据元素向后移动。假设在第 i 个元素之前插入的概率为Pi ,则在等概率的情况下,移动元素的平均次数为:

所以时间复杂度为O(n)。
2.删除操作:将第i个位置上的数据元素从顺序表中删除。
算法步骤:
(1)判断参数i的合法性,若i < 0 || i >curLen-1时不合法,抛出异常。
(2)将第i个元素之后的所有元素前移一个位置。
(3)表长减1。
性能分析:删除第i个数据元素会引起n-1-i个数据元素前移。假设删除第i个元素的概率为 pi ,则在等概率的情况下,移动元素的平均次数为:
所以时间复杂度为O(n)。
3.按值查找操作:查找数据元素x在顺序表中是否存在,若存在则返回x初次出现的位置,否则返回-1。
算法步骤:将每一个元素从头依次进行比较,有相等则返回该元素的位序号,否则返回-1。
性能分析:如果待查找的数据元素x在顺序表中第 i 个位置上,则需比较i+1次,所以在等概率条件下,数据元素的平均比较次数为:

所以时间复杂度为O(n)。
5.本节小结
数组的实现可以使得随机存取操作仅花费常数时间,遍历线性表会以线性时间被执行。不过插入和删除的花费却过于昂贵,平均要移动一半元素,因此需要线性时间。另一方面,如果所有的操作都发生在表的高端,那就没有元素需要移动,插入与删除仅需要花费O(1)的时间。
存在许多实际情形(如花名册),表通常是在高端进行插入操作而建成,其后只发生对数组的访问。在这种情况下,数组顺序表是一种恰当的实现。然而,如果经常对表的进行插入与删除操作(特别是在前端),这就不是一种好的选择。

浙公网安备 33010602011771号