数据分析挖掘第二周作业
第一部分:对数据进行描述性统计分析并求出相关系数矩阵
import pandas as pd
import numpy as np
inputflie='D:\大三下大数据分析\data1.csv'
data=pd.read_csv(inputflie)
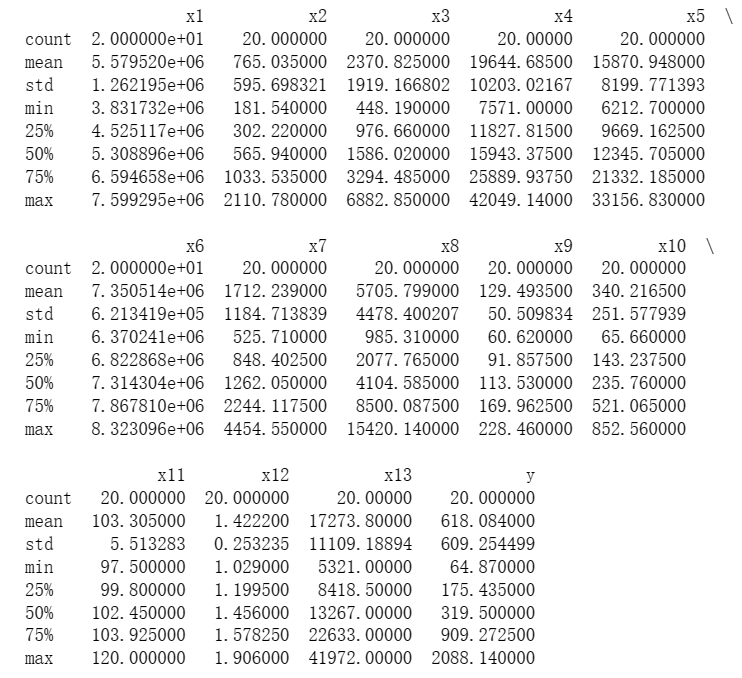
print(data.describe())
description=[data.min(),data.max(),data.mean(),data.std()]
description=pd.DataFrame(description,index=['Min','Max','Mean','STD']).T
print('\n描述性统计结果:\n',np.round(description,2))


corr=data.corr(method='pearson')
print('相关系数矩阵为:\n',np.round(corr,2))

第二部分:热力图
import matplotlib.pyplot as plt
import seaborn as sns
plt.subplots(figsize=(10,10))
sns.heatmap(corr,annot=True,vmax=1,square=True,cmap="Blues")
plt.title('相关性热力图(3135)',fontsize=20)
plt.rcParams['font.sans-serif']=['SimHei']
plt.rcParams['axes.unicode_minus']=False
plt.show()
plt.close()

第三部分:相关系数等数据分析信息
import pandas as pd
import numpy as np
from sklearn.linear_model import Lasso
inputflie='D:\大三下大数据分析\data1.csv'
data=pd.read_csv(inputflie)
lasso=Lasso(1000)
lasso.fit(data.iloc[:,0:13],data['y'])
print('相关系数为:',np.round(lasso.coef_,5))
print('相关系数非零个数为:',np.sum(lasso.coef_!=0))
mask=lasso.coef_ !=0
print('相关系数是否为零:',mask)
outputfile='D:/大三下大数据分析/new_reg_data1.csv'
mask=np.append(mask,True)
new_reg_data1=data.iloc[:,mask]
new_reg_data1.to_csv(outputfile)
print('输出数据的维度为:',new_reg_data1.shape)

第四部分:预测2014——2016未来三年的数据
import sys
import pandas as pd
import numpy as np
from GM11 import GM11
inputfile1='D:/大三下大数据分析/new_reg_data1.csv'
inputfile2='D:/大三下大数据分析/data1.csv'
new_reg_data = pd.read_csv(inputfile1)
data = pd.read_csv(inputfile2)
new_reg_data.index = range(1994, 2014)
new_reg_data.loc[2014] = None
new_reg_data.loc[2015] = None
new_reg_data.loc[2016] = None
cols = ['x1', 'x3', 'x4', 'x5','x6', 'x7', 'x8', 'x13']
for i in cols:
f = GM11(new_reg_data.loc[range(1994, 2014), i].values)[0]
new_reg_data.loc[2014,i] = f(len(new_reg_data)-1) # 2014年预测结果
new_reg_data.loc[2015,i] = f(len(new_reg_data)) # 2015年预测结果
new_reg_data.loc[2016,i] = f(len(new_reg_data)+1) # 2015年预测结果
new_reg_data[i] = new_reg_data[i].round(2) # 保留2位小数
outputfile = 'D:/大三下大数据分析/new_reg_data1_GM11.xls' # 灰色预测后保存的路径
y = list(data['y'].values) # 提取财政收入列,合并至新数据框中
y.extend([np.nan, np.nan,np.nan])
new_reg_data['y'] = y
new_reg_data.to_excel(outputfile) # 结果输出
print('预测结果为:\n', new_reg_data.loc[2014:2016,:]) # 预测展示

第五部分:真实值与预测值图像及其重叠图
import matplotlib.pyplot as plt
from sklearn.svm import LinearSVR
inputfile ='D:/大三下大数据分析/new_reg_data1_GM11.xls'
data = pd.read_excel(inputfile)
feature = ['x1','x3','x4','x5','x6','x7','x8','x13']
data.index = range(1994,2017)
data_train = data.loc[range(1994,2014)].copy()
data_mean = data_train.mean()
data_std = data_train.std()
data_train = (data_train - data_mean)/data_std
x_train = data_train[feature].to_numpy()
y_train = data_train['y'].to_numpy()
linearsvr = LinearSVR()
linearsvr.fit(x_train,y_train)
x = ((data[feature] - data_mean[feature])/data_std[feature]).to_numpy()
data[u'y_pred'] = linearsvr.predict(x) * data_std['y'] + data_mean['y']
outputfile = 'D:/大三下大数据分析/new_reg_data1_GM11_revenue.xls'
data.to_excel(outputfile)
print('真实值与预测值分别为:\n',data[['y','y_pred']])
fig = data[['y','y_pred']].plot(subplots = True,style=['b-o','r-*'])
plt.title('学号3135',fontsize=15)
plt.show()

import matplotlib.pyplot as plt
p = data[['y', 'y_pred']].plot(style=['b-o', 'r-*'])
p.set_ylim(0, 2500)
p.set_xlim(1993, 2016)
plt.rcParams['font.sans-serif'] = ['SimHei'] # 添加这条可以让图形显示中文
plt.title('学号3135',fontsize=20)
plt.show()


浙公网安备 33010602011771号