浅层神经网络
1 神经网络
1.1 浅层神经网络
如上所示,首先你需要输入特征x,参数w和b,通过这些你就可以计算出z,接下来使用z就可以计算出a,我们将的符号换为表示输出y^ ⟹ a = σ(z),然后可以计算出 loss function L(a, y)
1.2 神经网络的表示(Neural Network Representation)

我们有输入特征x1、x2、x3,它们被竖直地堆叠起来,这叫做神经网络的输入层,它包含了神经网络的输入;然后这里有另外一层我们称之为隐藏层即图中间的4个结点,在一个神经网络中,当你使用监督学习训练它的时候,训练集包含了输入x也包含了目标输出y,所以术语隐藏层的含义是在训练集中,这些中间结点的准确值我们是不知道到的,也就是说你看不见它们在训练集中应具有的值,你能看见输入的值,你也能看见输出的值,但是隐藏层中的东西,在训练集中你是无法看到的;最后一层只由一个结点构成,而这个只有一个结点的层被称为输出层,它负责产生预测值。
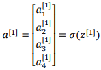
符号:使用a[0]可以用来表示输入特征,a表示激活的意思,它意味着网络中不同层的值会传递到它们后面的层中,输入层将x传递给隐藏层,所以我们将输入层的激活值称为a[0];下一层即隐藏层也同样会产生一些激活值,那么我将其记作a[1],所以具体地,这里的第一个单元或结点我们将其表示为a[1]1,第二个结点的值我们记a[1]2以此类推,输出层将产生某个数值a,它只是一个单独的实数,所以的y^值将取为a[2].

最后,我们要看到的隐藏层以及最后的输出层是带有参数的,这里的隐藏层将拥有两个参数w和b,我将给它们加上上标 (w[1],b[1]),表示这些参数是和第一层这个隐藏层有关系的,w是一个 4x3 的矩阵,而b是一个 4x1 的向量,第一个数字 4 源自于我们有四个结点或隐藏层单元,然后数字 3 源自于这里有三个输入特征,相似的输出层也有一些与之关联的参数w[2]以及b[2]。从维数上来看,它们的规模分别是 1x4 以及 1x1,1x4 是因为隐藏层有四个隐藏层单元而输出层只有一个单元。
1.3 计算一个神经网络的输出(Computing a Neural Network's output)
只有一个隐藏层的简单两层神经网络结构(输入不算层数),其中,x表示输入特征,a表示每个神经元的输出,w表示特征的权重,上标表示神经网络的层数(隐藏层为 1),下标表示该层的第几个神经元.

神经网络的计算:
逻辑回归的计算有两个步骤,首先你按步骤计算出z,然后在第二步中你以 sigmoid 函数为激活函数计算z(得出a),一个神经网络只是这样子做了好多次重复计算.

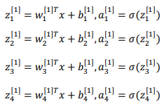
对于上面两层的神经网络,我们从隐藏层的第一个神经元开始计算,小圆圈代表了计算的两个步骤:

隐藏层的第二个以及后面两个神经元的计算过程一样,只是注意符号表示不同,最终分别得到a[1]2、a[1]3、a[1]4,详细结果见下:
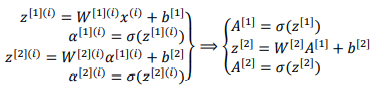
向量化计算: z[n]=w[n]x+b[n]
a[n]=σ(z[n])


多样本向量化:z[n](i)=w[n](i)x+b[n](i) #i从1到m
a[n](i)=σ(z[n](i))


从小写的向量x到这个大写的矩阵X,只是通过组合x向量在矩阵的各列中,z[1](1),z[1](2)等等都是z[1](m)的列向量,将所有m都组合在各列中,就的到矩阵z[1],a[1](1),a[1](2),……,a[1](m)将其组合在矩阵各列中,如同从向量x到矩阵X,以及从向量z到矩阵Z一样,就能得到矩阵A[1],对于Z[2]和A[2],也是这样得到.
本文来自博客园,作者:zhang-X,转载请注明原文链接:https://www.cnblogs.com/YY-zhang/p/15057947.html

浙公网安备 33010602011771号