2021 icpc 昆明 J-Parallel Sort(思维)
题意:
给出一个长度为 n n n 的全排列,每次操作可以选择多个二元组 < x i , y i > <x_i,y_i> <xi,yi> ,然后交换 a [ x i ] a[x_i] a[xi]与 a [ y i ] a[y_i] a[yi] ,二元组中的值不能相等,即每个位置在一次操作中只能选择一次。问最少要多少次操作才能使得全排列为升序。
题解:
先说结论:如果不需要交换或者两两之间一次交换就可以满足,那操作数就是 0 / 1 0/1 0/1 ,其他情况就是 2 2 2 。
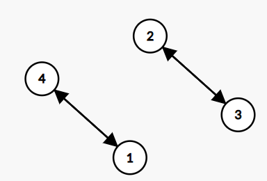
我们可以由数组构建出若干个环,比如 4 3 2 1 ,1有一条有向边连向4 ,2有一条有向边连向3,3有一条有向边连向2 ,4有一条有向边连向1,这些有向边代表 u u u位置想要交换到 v v v 。如图:

像这样的环,可以通过一次操作完成。
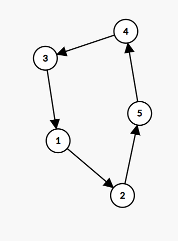
但是 2 5 1 3 4 就不行,如图:

那么怎么实现两次操作完成排序呢?
我们可以把这幅图看作是一个正五边形,进行对称交换,即先交换 ( 1 , 5 ) , ( 3 , 4 ) (1,5),(3,4) (1,5),(3,4) 那么可以发现,2想要5位置的数,5想要4位置的数,3想要1位置的数,这么操作后,2就想要1位置的数,1想要2位置的数,5想要3位置的数,3想要5位置的数,那么不就转变成两两互连的情况了吗。
当环再大一点的时候,同样也满足上述方法,可以画个图试一试。
代码:
#include<cstdio>
#include<iostream>
#include<algorithm>
#include<cstring>
#include<cmath>
#include<queue>
#include<map>
#include<stack>
#include<set>
#include<ctime>
#define iss ios::sync_with_stdio(false)
using namespace std;
typedef unsigned long long ull;
typedef long long ll;
typedef pair<int,int> pii;
const int mod=1e9+7;
const int MAXN=1e5+5;
const int inf=0x3f3f3f3f;
int n;
int a[MAXN];
int id[MAXN];
int nex[MAXN];
int vis[MAXN];
int num[MAXN];
int tot;
std::vector<pii>ans;
void dfs(int u)
{
if(vis[u]) return;
vis[u]=1;
num[++tot]=u;
dfs(nex[u]);
}
int main()
{
scanf("%d",&n);
int cnt=0;
for(int i=1;i<=n;i++)
{
scanf("%d",&a[i]);
id[a[i]]=i;
}
int flag=0;
for(int i=1;i<=n;i++)
{
if(a[i]==i)
{
nex[i]=0;
}
else
{
nex[i]=a[i];
cnt++;
if(a[i]==id[i])
{
if(flag!=2) flag=1;
}
else flag=2;
}
}
if(!flag)
{
printf("0\n");
return 0;
}
if(flag==1)
{
printf("1\n");
printf("%d ",cnt/2);
for(int i=1;i<=n;i++)
{
if(nex[i])
{
printf("%d %d ",i,nex[i]);
nex[nex[i]]=0;
nex[i]=0;
}
}
return 0;
}
printf("2\n");
for(int i=1;i<=n;i++)
{
if(nex[i]&&!vis[i])
{
tot=0;
dfs(i);
if(tot&1)
{
for(int j=2;j<=2+tot/2-1;j++)
{
ans.push_back(make_pair(num[j],num[tot+2-j]));
}
}
else
{
for(int j=1;j<=tot/2;j++)
{
ans.push_back(make_pair(num[j],num[tot+1-j]));
}
}
}
}
printf("%d ",ans.size());
for(int i=0;i<ans.size();i++)
{
printf("%d %d ",ans[i].first,ans[i].second);
swap(a[ans[i].first],a[ans[i].second]);
}
printf("\n");
memset(nex,0,sizeof nex);
for(int i=1;i<=n;i++)
{
id[a[i]]=i;
}
cnt=0;
for(int i=1;i<=n;i++)
{
if(a[i]==i)
{
nex[i]=0;
}
else
{
nex[i]=a[i];
cnt++;
}
}
printf("%d ",cnt/2);
for(int i=1;i<=n;i++)
{
if(nex[i])
{
printf("%d %d ",i,nex[i]);
nex[nex[i]]=0;
nex[i]=0;x
}
}
}

浙公网安备 33010602011771号