Huff曲线
题目:
from Crypto.Util.number import *
from random import randint
from secret import flag,order
class CB_curve:
def __init__(self):
self.p = 1141741939958844590498346884870015122543626602665954681008204697160652371664923
self.a = 727131475903635498678013730344448225340496007388151739960305539398192321065043
self.b = 840714623434321649308065401328602364673881568379142278640950034404861312007307
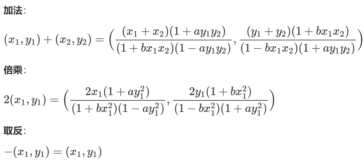
def add(self, P, Q):
if P == -1:
return Q
(x1, y1) = P
(x2, y2) = Q
x3 = (x1+x2)*(1+self.a*y1*y2)*inverse((1+self.b*x1*x2)*(1-self.a*y1*y2),self.p)% self.p
y3 = (y1+y2)*(1+self.b*x1*x2)*inverse((1-self.b*x1*x2)*(1+self.a*y1*y2),self.p)% self.p
return (x3, y3)
def mul(self, x, P):
Q = -1
while x > 0:
if x & 1:
Q = self.add(Q, P)
P = self.add(P, P)
x = x >> 1
return Q
def negG(self,G):
return self.mul(order-1,G)
ecc = CB_curve()
G = (586066762126624229327260483658353973556531595840920560414263113786807168248797, 66727759687879628160487324122999265926655929132333860726404158613654375336028)
P = (ecc.mul(bytes_to_long(flag),G)[0],randint(1,ecc.p))
Q = (460843895959181097343292934009653542386784127282375019764638432240505304648101, 739422832583403823403837831802136107593509589942947902014204968923412689379907)
e = randint(1,p)
pl = [ecc.add(P,ecc.mul(10-i,ecc.negG(Q)))[0] + e for i in range(10)]
ph = [ecc.add(P,ecc.mul(10-i,Q))[0] + e for i in range(10)]
print(pl)
print(ph)
#pl = [908996880816674413953945844149350915331956247471480600840221415119794882139724, 971918808384910355828135603762747020183688585728289421786279444571287619529246, 1285550352531583269956802123237391199017403081800977678246201935580429758051904, 1551774945769448705387900437472951015954157193946719575845523359198154668857591, 676185408751480221545400062950292727848016906516506232986883519673765317932582, 1250300209784131850574858927023046353058343552115735540789593580037130054384362, 1298409778422699298367007023890818793557023853717180295526932023194697263501748, 1332552452292482549702793642987623159617988974910321945878093492007278710993114, 1030239404875082841481045525469865919289388171602293245905162820968158543176773, 1154148024180033719999293176590867264297899817449945744942661351655533433871621]
#ph = [584297112520340495757457954416165393828472756298945167299482077258411155766756, 886432149227960827335266910774569034430464592640209168563805700117347063152246, 613528590036968449893421430816319461615130635882647544978722093413694101540550, 576162106332135829961234799085370038425761945928004579456101802617485243023987, 627570890346195626159365118862437334953500165050236216404858019114288681512171, 1015503424232985454098149884321288932492551183126601131968495641510550575005042, 1532737675157046782602115678180407262847166210963507805526455422934164759886583, 1540047002602145805476906585925538790245968214992837106009502002588479779602195, 505097517314409449404205152068185149808364887623922221197462411159844816865696, 873498218680784138428154510303205366133389839886911286745954821800632158315951]
解题思路:
分析曲线
-
其曲线一般方程为
 -
分析曲线结构

分析代码
**p**:模数,表示椭圆曲线定义在有限域Fp上**a**和**b**:椭圆曲线的参数,用于定义曲线的方程**P**:是通过flag转换为整数后与生成元G相乘得到的点**Q**:是一个固定的点**e**:随机数,用于混淆**negG(self, G)**:计算生成元G的负点- 通过
order - 1与G相乘来得到G的负点
- 通过
**pl**和**ph**:通过椭圆曲线操作生成两组混淆后的点**pl**是通过P+(10−i)×(−Q)计算得到的点的x坐标,加上随机数e**ph**是通过P+(10−i)×Q计算得到的点的x坐标,加上随机数e
解答:
- 首先这个式子有
3个未知数x,y,e - 通过
ph可以得到10组关于P和e的等式,可以用Groebner基直接出,但是发现这样求的P却不符合曲线方程,求得y是不对的,得将x带入曲线方程再解出y
Q = (460843895959181097343292934009653542386784127282375019764638432240505304648101, 739422832583403823403837831802136107593509589942947902014204968923412689379907)
ph = [584297112520340495757457954416165393828472756298945167299482077258411155766756, 886432149227960827335266910774569034430464592640209168563805700117347063152246, 613528590036968449893421430816319461615130635882647544978722093413694101540550, 576162106332135829961234799085370038425761945928004579456101802617485243023987, 627570890346195626159365118862437334953500165050236216404858019114288681512171, 1015503424232985454098149884321288932492551183126601131968495641510550575005042, 1532737675157046782602115678180407262847166210963507805526455422934164759886583, 1540047002602145805476906585925538790245968214992837106009502002588479779602195, 505097517314409449404205152068185149808364887623922221197462411159844816865696, 873498218680784138428154510303205366133389839886911286745954821800632158315951]
p = 1141741939958844590498346884870015122543626602665954681008204697160652371664923
a = 727131475903635498678013730344448225340496007388151739960305539398192321065043
b = 840714623434321649308065401328602364673881568379142278640950034404861312007307
class CB_curve:
def __init__(self, p, a, b):
self.p = p
self.a = a
self.b = b
def add(self, P, Q):
if P == -1:
return Q
(x1, y1) = P
(x2, y2) = Q
x3 = (x1 + x2) * (1 + self.a * y1 * y2) * inverse_mod((1 + self.b * x1 * x2) * (1 - self.a * y1 * y2), self.p) % self.p
y3 = (y1 + y2) * (1 + self.b * x1 * x2) * inverse_mod((1 - self.b * x1 * x2) * (1 + self.a * y1 * y2), self.p) % self.p
return (x3, y3)
def mul(self, x, P):
Q = -1
while x > 0:
if x & 1:
Q = self.add(Q, P)
P = self.add(P, P)
x = x >> 1
return Q
ecc = CB_curve(p, a, b)
Ql=[]
for i in range(10):
Ql.append(ecc.mul(10-i,Q))
R.<x1,y1,e>=Zmod(p)[]
f=[]
for i in range(len(Ql)):
x2,y2=Ql[i]
fi=(ph[i]-e)*(1+b*x1*x2)*(1-a*y1*y2)-(x1+x2)*(1+a*y1*y2)
f.append(fi)
Ideal(f).groebner_basis()
'''
[x1 + 239643535167901657800210470774814532510308869595840873642845564328410464397042, y1 + 146109242247186884695587727086539555907710369392694609972293964300672819401615, e + 716700711017198421972376297958894204723153539777056104579499803899129208364755]
x = 239643535167901657800210470774814532510308869595840873642845564328410464397042√
y = 146109242247186884695587727086539555907710369392694609972293964300672819401615×
e = 716700711017198421972376297958894204723153539777056104579499803899129208364755√
'''
p = 1141741939958844590498346884870015122543626602665954681008204697160652371664923
a = 727131475903635498678013730344448225340496007388151739960305539398192321065043
b = 840714623434321649308065401328602364673881568379142278640950034404861312007307
Q = (460843895959181097343292934009653542386784127282375019764638432240505304648101, 739422832583403823403837831802136107593509589942947902014204968923412689379907)
pl = [908996880816674413953945844149350915331956247471480600840221415119794882139724, 971918808384910355828135603762747020183688585728289421786279444571287619529246, 1285550352531583269956802123237391199017403081800977678246201935580429758051904, 1551774945769448705387900437472951015954157193946719575845523359198154668857591, 676185408751480221545400062950292727848016906516506232986883519673765317932582, 1250300209784131850574858927023046353058343552115735540789593580037130054384362, 1298409778422699298367007023890818793557023853717180295526932023194697263501748, 1332552452292482549702793642987623159617988974910321945878093492007278710993114, 1030239404875082841481045525469865919289388171602293245905162820968158543176773, 1154148024180033719999293176590867264297899817449945744942661351655533433871621]
ph = [584297112520340495757457954416165393828472756298945167299482077258411155766756, 886432149227960827335266910774569034430464592640209168563805700117347063152246, 613528590036968449893421430816319461615130635882647544978722093413694101540550, 576162106332135829961234799085370038425761945928004579456101802617485243023987, 627570890346195626159365118862437334953500165050236216404858019114288681512171, 1015503424232985454098149884321288932492551183126601131968495641510550575005042, 1532737675157046782602115678180407262847166210963507805526455422934164759886583, 1540047002602145805476906585925538790245968214992837106009502002588479779602195, 505097517314409449404205152068185149808364887623922221197462411159844816865696, 873498218680784138428154510303205366133389839886911286745954821800632158315951]
xq = Q[0]
class CB_curve:
def __init__(self):
self.p = 1141741939958844590498346884870015122543626602665954681008204697160652371664923
self.a = 727131475903635498678013730344448225340496007388151739960305539398192321065043
self.b = 840714623434321649308065401328602364673881568379142278640950034404861312007307
def add(self, P, Q):
if P == -1:
return Q
(x1, y1) = P
(x2, y2) = Q
x3 = (x1+x2)*(1+self.a*y1*y2)*inverse_mod((1+self.b*x1*x2)*(1-self.a*y1*y2),self.p)% self.p
y3 = (y1+y2)*(1+self.b*x1*x2)*inverse_mod((1-self.b*x1*x2)*(1+self.a*y1*y2),self.p)% self.p
return (x3, y3)
def mul(self, x, P):
Q = -1
x = x % self.p
while x > 0:
if x & 1:
Q = self.add(Q, P)
P = self.add(P, P)
x = x >> 1
return Q
def negG(self,G):
return self.mul(order-1,G)
ecc = CB_curve()
PR.<e,k,P0> =PolynomialRing(Zmod(p))
f = []
for i in range(10):
x1 = P0
x2 = ecc.mul(10-i,Q)[0]
f.append(x1^2-x2^2-(1-b^2*x1^2*x2^2)*(ph[i]-e)*(pl[i]-e))
ans=Ideal(f).groebner_basis()
print(ans)
'''
[P0^2 + 219493165434454878473973957507132663767650700404392831423708684433961924200902, e + 716700711017198421972376297958894204723153539777056104579499803899129208364755]
y = 219493165434454878473973957507132663767650700404392831423708684433961924200902
e = 716700711017198421972376297958894204723153539777056104579499803899129208364755
'''
- 现在知道了
y和e,我们可求P[0]和x
R.<P0> = PolynomialRing(GF(p))
f = P0^2+219493165434454878473973957507132663767650700404392831423708684433961924200902
print(f.roots())
'''
[(902098404790942932698136414095200590033317733070113807365359132832241907267881, 1), (239643535167901657800210470774814532510308869595840873642845564328410464397042, 1)]
P[0] = 902098404790942932698136414095200590033317733070113807365359132832241907267881
x = 239643535167901657800210470774814532510308869595840873642845564328410464397042
'''
- 知道
P[0]后可以求P[1]
p = 1141741939958844590498346884870015122543626602665954681008204697160652371664923
a = 727131475903635498678013730344448225340496007388151739960305539398192321065043
b = 840714623434321649308065401328602364673881568379142278640950034404861312007307
G = (460843895959181097343292934009653542386784127282375019764638432240505304648101, 739422832583403823403837831802136107593509589942947902014204968923412689379907)
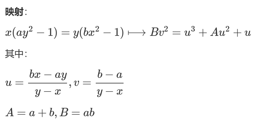
E = EllipticCurve(GF(p),[0,a+b,0,a*b,0])
def mapping(G):
x,y = G
x,y = ((b*x-a*y)*inverse_mod(y-x,p)%p,(b-a)*inverse_mod(y-x,p)%p)
G = E(x,y)
return G
x = 902098404790942932698136414095200590033317733070113807365359132832241907267881
R.<y> = PolynomialRing(GF(p))
f = x*(a*y^2-1)-y*(b*x^2-1)
y = int(f.roots()[1][0])
P = (x,y)
print(P)
#(902098404790942932698136414095200590033317733070113807365359132832241907267881, 672929595307990944197873882889709005621738844588134711458648048321447534353147)
-
再换元映射,将huff映射到Weierstrass上来

class CB_curve:
def __init__(self):
self.p = 1141741939958844590498346884870015122543626602665954681008204697160652371664923
self.a = 727131475903635498678013730344448225340496007388151739960305539398192321065043
self.b = 840714623434321649308065401328602364673881568379142278640950034404861312007307
def add(self, P, Q):
if P == -1:
return Q
(x1, y1) = P
(x2, y2) = Q
x3 = (x1+x2)*(1+self.a*y1*y2)*inverse_mod((1+self.b*x1*x2)*(1-self.a*y1*y2),self.p)% self.p
y3 = (y1+y2)*(1+self.b*x1*x2)*inverse_mod((1-self.b*x1*x2)*(1+self.a*y1*y2),self.p)% self.p
return (x3, y3)
def mul(self, x, P):
Q = -1
while x > 0:
if x & 1:
Q = self.add(Q, P)
P = self.add(P, P)
x = x >> 1
return Q
def negG(self,G):
return self.mul(order-1,G)
ecc = CB_curve()
p = 1141741939958844590498346884870015122543626602665954681008204697160652371664923
a = 727131475903635498678013730344448225340496007388151739960305539398192321065043
b = 840714623434321649308065401328602364673881568379142278640950034404861312007307
G = (586066762126624229327260483658353973556531595840920560414263113786807168248797, 66727759687879628160487324122999265926655929132333860726404158613654375336028)
P=(902098404790942932698136414095200590033317733070113807365359132832241907267881, 672929595307990944197873882889709005621738844588134711458648048321447534353147)
Q = (460843895959181097343292934009653542386784127282375019764638432240505304648101, 739422832583403823403837831802136107593509589942947902014204968923412689379907)
E = EllipticCurve(GF(p),[0,a+b,0,a*b,0])
print(E)
g = ((b*G[0] - a*G[1]) * inverse_mod(G[1]-G[0],p)%p,(b-a)*inverse_mod(G[1]-G[0],p)%p)
q = ((b*P[0] - a*P[1]) * inverse_mod(P[1]-P[0],p)%p,(b-a)*inverse_mod(P[1]-P[0],p)%p)
G = E(g)
Q = E(q)
print(G)
print(Q)
print(E.order())
'''
Elliptic Curve defined by y^2 = x^3 + 426104159379112557487732246803035467470750973101339337593050876642401261407427*x^2 + 91530605704782235055514790954057524984830206414334253565339948144004385061851*x over Finite Field of size 1141741939958844590498346884870015122543626602665954681008204697160652371664923
(401213088171030363584018990938949410304970540667112434451319358778028859051677 : 460349217535465024866281884380031233781318971872151051532892035527496595213976 : 1)
(682175555764551614570209880595883272089203931371422247526144450729748330692873 : 60260596347572319335133090468745331889659221772219926730100143329656081251910 : 1)
1141741939958844590498346884870015122544171009688372185479632675211885925945760
'''
- 阶光滑,直接
ph就差解出m
n = G.order()
factors, exponents = zip(*factor(n))
primes = [factors[i] ^ exponents[i] for i in range(len(factors))][:-1]
print(primes)
logs=[]
for fac in primes:
t=int(n)//int(fac)
log=discrete_log(t*Q,t*G,operation='+')
logs+=[log]
m = crt(logs,primes)
print(bytes.fromhex(hex(m)[2:]))
'''
[16, 3, 5, 37, 271, 4297, 6983, 9679, 52631, 139571, 84666937, 558977989]
b'DASCTF{goodathuff}'
'''
类似的解法
脚本来自https://www.cnblogs.com/ZimaBlue/articles/17780216.html
from random import randint
class CB_curve:
def __init__(self):
self.p = 1141741939958844590498346884870015122543626602665954681008204697160652371664923
self.a = 727131475903635498678013730344448225340496007388151739960305539398192321065043
self.b = 840714623434321649308065401328602364673881568379142278640950034404861312007307
def add(self, P, Q):
if P == -1:
return Q
(x1, y1) = P
(x2, y2) = Q
x3 = (x1+x2)*(1+self.a*y1*y2)*inverse_mod((1+self.b*x1*x2)*(1-self.a*y1*y2),self.p)% self.p
y3 = (y1+y2)*(1+self.b*x1*x2)*inverse_mod((1-self.b*x1*x2)*(1+self.a*y1*y2),self.p)% self.p
return (x3, y3)
def mul(self, x, P):
Q = -1
x = x % self.p
while x > 0:
if x & 1:
Q = self.add(Q, P)
P = self.add(P, P)
x = x >> 1
return Q
def negG(self,G):
return self.mul(570870969979422295249173442435007561272085504844186092739816337605942962972880-1,G)
ecc = CB_curve()
G = (586066762126624229327260483658353973556531595840920560414263113786807168248797, 66727759687879628160487324122999265926655929132333860726404158613654375336028)
G_ = (-586066762126624229327260483658353973556531595840920560414263113786807168248797, -66727759687879628160487324122999265926655929132333860726404158613654375336028)
Q = (460843895959181097343292934009653542386784127282375019764638432240505304648101, 739422832583403823403837831802136107593509589942947902014204968923412689379907)
# test
test = (ecc.add(G,G_))
print(test)
q1 = ecc.mul(5,G)
q2 = ecc.mul(5,G_)
print(ecc.add(q1,q2))
# attack
order = 570870969979422295249173442435007561272085504844186092739816337605942962972880
pl = [908996880816674413953945844149350915331956247471480600840221415119794882139724, 971918808384910355828135603762747020183688585728289421786279444571287619529246, 1285550352531583269956802123237391199017403081800977678246201935580429758051904, 1551774945769448705387900437472951015954157193946719575845523359198154668857591, 676185408751480221545400062950292727848016906516506232986883519673765317932582, 1250300209784131850574858927023046353058343552115735540789593580037130054384362, 1298409778422699298367007023890818793557023853717180295526932023194697263501748, 1332552452292482549702793642987623159617988974910321945878093492007278710993114, 1030239404875082841481045525469865919289388171602293245905162820968158543176773, 1154148024180033719999293176590867264297899817449945744942661351655533433871621]
ph = [584297112520340495757457954416165393828472756298945167299482077258411155766756, 886432149227960827335266910774569034430464592640209168563805700117347063152246, 613528590036968449893421430816319461615130635882647544978722093413694101540550, 576162106332135829961234799085370038425761945928004579456101802617485243023987, 627570890346195626159365118862437334953500165050236216404858019114288681512171, 1015503424232985454098149884321288932492551183126601131968495641510550575005042, 1532737675157046782602115678180407262847166210963507805526455422934164759886583, 1540047002602145805476906585925538790245968214992837106009502002588479779602195, 505097517314409449404205152068185149808364887623922221197462411159844816865696, 873498218680784138428154510303205366133389839886911286745954821800632158315951]
a = ecc.a
b = ecc.b
p = ecc.p
R.<xp,e>=PolynomialRing(Zmod(p))
F = []
for i in range(10):
f = (pl[i] - e) * (ph[i] - e) * (1-b^2*xp^2 * ecc.mul(10-i,Q)[0] ^2) - (xp^2 - ecc.mul(10-i,Q)[0] ^2)
F.append(f)
res=Ideal(F).groebner_basis()
print(res)
c = -219493165434454878473973957507132663767650700404392831423708684433961924200902
xp = Zmod(p)(c).nth_root(2,all=True)[1]
RR.<yp> = PolynomialRing(Zmod(p))
f = xp*(a*yp^2-1) - yp*(b*xp^2-1)
yp = f.roots()[1][0]
P = (int(xp),int(yp))
E = EllipticCurve(GF(p),[0,a+b,0,a*b,0])
print(E)
g = ((b*G[0] - a*G[1]) * inverse_mod(G[1]-G[0],p)%p,(b-a)*inverse_mod(G[1]-G[0],p)%p)
q = ((b*P[0] - a*P[1]) * inverse_mod(P[1]-P[0],p)%p,(b-a)*inverse_mod(P[1]-P[0],p)%p)
g = E(g)
q = E(q)
# 做映射之后的阶是不会变的
primes = [3 , 5 , 16, 37 , 271 , 4297 , 6983 , 9679 , 52631 , 139571 , 84666937 , 558977989]
logs=[]
for fac in primes:
t=int(order)//int(fac)
print('ok')
log=discrete_log(t*q,t*g,operation='+')
logs+=[log]
m = crt(logs,primes)
print(bytes.fromhex(hex(m)[2:]))
'''
(0, 0)
(0, 0)
[xp^2 + 219493165434454878473973957507132663767650700404392831423708684433961924200902, e + 716700711017198421972376297958894204723153539777056104579499803899129208364755]
Elliptic Curve defined by y^2 = x^3 + 426104159379112557487732246803035467470750973101339337593050876642401261407427*x^2 + 91530605704782235055514790954057524984830206414334253565339948144004385061851*x over Finite Field of size 1141741939958844590498346884870015122543626602665954681008204697160652371664923
ok
ok
ok
ok
ok
ok
ok
ok
ok
ok
ok
ok
b'DASCTF{goodathuff}'
'''


浙公网安备 33010602011771号