Edwards曲线
题目:
from Crypto.Util.number import *
from secret import flag, Curve
def ison(C, P):
c, d, p = C
x, y = P
return (x**2 + y**2 - c**2 * (1 + d * x**2*y**2)) % p == 0
def teal(C, P, Q):
c, d, p = C
x1, y1 = P
x2, y2 = Q
assert ison(C, P) and ison(C, Q)
x3 = (x1 * y2 + y1 * x2) * inverse(c * (1 + d * x1 * x2 * y1 * y2), p) % p
y3 = (y1 * y2 - x1 * x2) * inverse(c * (1 - d * x1 * x2 * y1 * y2), p) % p
return (int(x3), int(y3))
def peam(C, P, m):
assert ison(C, P)
c, d, p = C
B = bin(m)[2:]
l = len(B)
x, y = P
PP = (-x, y)
O = teal(C, P, PP)
Q = O
if m == 0:
return O
elif m == 1:
return P
else:
for _ in range(l-1):
P = teal(C, P, P)
m = m - 2**(l-1)
Q, P = P, (x, y)
return teal(C, Q, peam(C, P, m))
c, d, p = Curve
flag = flag.lstrip(b'CCTF{').rstrip(b'}')
l = len(flag)
lflag, rflag = flag[:l // 2], flag[l // 2:]
s, t = bytes_to_long(lflag), bytes_to_long(rflag)
assert s < p and t < p
P = (398011447251267732058427934569710020713094, 548950454294712661054528329798266699762662)
Q = (139255151342889674616838168412769112246165, 649791718379009629228240558980851356197207)
print(f'ison(C, P) = {ison(Curve, P)}')
print(f'ison(C, Q) = {ison(Curve, Q)}')
print(f'P = {P}')
print(f'Q = {Q}')
print(f's * P = {peam(Curve, P, s)}')
print(f't * Q = {peam(Curve, Q, t)}')
'''
ison(C, P) = True
ison(C, Q) = True
P = (398011447251267732058427934569710020713094, 548950454294712661054528329798266699762662)
Q = (139255151342889674616838168412769112246165, 649791718379009629228240558980851356197207)
s * P = (730393937659426993430595540476247076383331, 461597565155009635099537158476419433012710)
t * Q = (500532897653416664117493978883484252869079, 620853965501593867437705135137758828401933)
'''
解题思路:
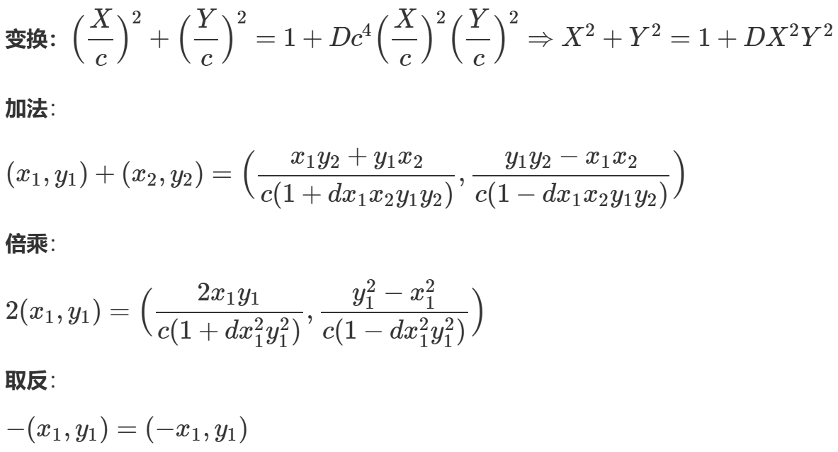
分析曲线
- 我们首先分析这个曲线方程的形式为一个标准爱德华曲线方程

- 分析曲线结构

分析代码
**p**:模数,表示椭圆曲线定义在有限域Fp上**d**:椭圆曲线的参数,用于定义曲线的方程**c**:缩放因子,用于调整曲线的形状
(上面的参数都在元组里(就是没给,只知道个点))
ison(C,P)函数
- 这个函数的作用是判断一个点
P是否在给定的爱德华曲线上 - 输入:曲线参数
C=(c,d,p)和点P=(x,y) - 输出:布尔值,表示点
P是否满足爱德华曲线的方程 - 函数的实现是将点
P的坐标代入曲线方程:x^2+y^2-c^2(1+dx^2y^2)≡0(mod p)如果结果为0,则 点P在曲线上,返回True;否则返回False
teal(C,P,Q)函数
- 这个函数的作用是计算爱德华曲线上两个点
P和Q的加法运算 - 输入:曲线参数
C=(c,d,p)和两个点P=(x1,y1)和Q=(x2,y2) - 输出:点
R=(x3,y3),表示P+Q

peam(C,P,m)函数
- 这个函数的作用是计算爱德华曲线上点
P的标量乘法,即m×P,标量乘法是椭圆曲线密码学中的核心运算,用于生成公钥和签名等 - 输入:曲线参数
C=(c,d,p),点P=(x,y)和标量m - 输出:点
R,表示m×P - 函数的实现采用了双倍加法算法(Double-and-Add),这是一种高效的标量乘法算法,具体步骤如下:
将标量m转换为二进制表示
从最高位开始,逐位处理m的每一位
- 先将当前点`P`自身相加(即`P=P+P`)
- 如果当前位为`1`,则将`P`加到结果`Q`上
最终返回结果Q
(该代码计算了s×P和t×Q,并输出结果)
flag是一个需要加密的标志,被分割为两部分lflag和rflag,分别转换为整数s和t- 点
P和Q是爱德华曲线上的两个已知点
解密思路1
- 解密过程需要找到私钥
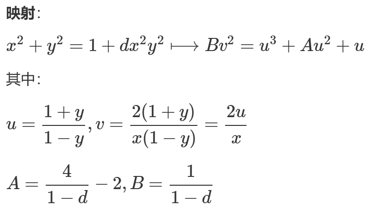
<font style="color:rgb(6, 6, 7);">d</font>,使得<font style="color:rgb(6, 6, 7);">d × e ≡ 1 (mod n)</font>,其中<font style="color:rgb(6, 6, 7);">n</font>是椭圆曲线的阶 - 那么如何求阶呢,似乎没有办法直接求这种圆锥曲线的阶,不过我们可以将
Edcurve通过换元映射,变换为常见的椭圆曲线的形式
换元映射
-
第一步:转化为蒙哥马利曲线方程(Montgomery)
 -
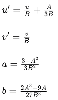
第二步:转化为椭圆曲线方程(Weierstrass)

-
此时蒙哥马利曲线就变成了椭圆曲线方程形式
 -
然后求该曲线的阶,并且重新逆变换回
Edcurve,得到的横坐标即为flag
解密思路2
求解参数
- 我们可以直接把曲线的参数求出来
- 我们的目标是恢复
(c,d,p),以便我们可以重建曲线并解决离散对数问题,我们首先将获得p,这将使我们能够进行模p的求逆,从而恢复c,d - 求参数的原理参考https://blog.cryptohack.org/cryptoctf2021-hard#rohald
换元映射
- 参考方法1
解答:
解法1:
def to_elliptic_2(P, p, c, d):
Zp = Zmod(p)
x, y = P
x, y = Zp(x), Zp(y)
c, d = Zp(c), Zp(d)
x, y = x * c ** -1, y * c ** -1
d = d * c ** 4
u, v = (1 + y) / (1 - y), (2 * (1+y)) / (x * (1-y))
# Montgomery
B = 1 / (1-d)
A = 2 * (1+d) / (1-d)
# Weierstrass
x = u / B + A / (3*B)
y = v / B
a = (3 - A**2) / (3 * B**2)
b = (2 * A**3 - 9*A) / (27 * B**3)
return (x, y), a, b
p = 903968861315877429495243431349919213155709
c = 662698094423288904843781932253259903384619
d = 540431316779988345188678880301417602675534
P = (398011447251267732058427934569710020713094, 548950454294712661054528329798266699762662)
Q = (139255151342889674616838168412769112246165, 649791718379009629228240558980851356197207)
S = (730393937659426993430595540476247076383331, 461597565155009635099537158476419433012710)
T = (500532897653416664117493978883484252869079, 620853965501593867437705135137758828401933)
P1, a, b = to_elliptic_2(P, p, c, d)
Q1, a, b = to_elliptic_2(Q, p, c, d)
S1, a, b = to_elliptic_2(S, p, c, d)
T1, a, b = to_elliptic_2(T, p, c, d)
EC = EllipticCurve(Zmod(p), [a, b])
P1 = EC(P1)
Q1 = EC(Q1)
S1 = EC(S1)
T1 = EC(T1)
s = P1.discrete_log(S1)
t = Q1.discrete_log(T1)
print(s)
print(t)
print(bytes.fromhex(hex(s)[2:])+bytes.fromhex(hex(t)[2:]))
'''
37536673610448804706158374243358240879730
23292556478798423635566146051309141390899
b'nOt_50_3a5Y_Edw4rDs_3LlipT!c_CURv3'
'''
#CCTF{nOt_50_3a5Y_Edw4rDs_3LlipT!c_CURv3}
解法2:
求参数
from math import gcd
def ison(C, P):
"""
Verification points are on the curve
"""
c, d, p = C
u, v = P
return (u**2 + v**2 - cc * (1 + d * u**2*v**2)) % p == 0
def a_and_b(u1,u2,v1,v2):
"""
Helper function used to simplify calculations
"""
a12 = u1**2 - u2**2 + v1**2 - v2**2
b12 = u1**2 * v1**2 - u2**2 * v2**2
return a12, b12
def find_modulus(u1,u2,u3,u4,v1,v2,v3,v4):
"""
Compute the modulus from four points
"""
a12, b12 = a_and_b(u1,u2,v1,v2)
a13, b13 = a_and_b(u1,u3,v1,v3)
a23, b23 = a_and_b(u2,u3,v2,v3)
a24, b24 = a_and_b(u2,u4,v2,v4)
p_almost = gcd(a12*b13 - a13*b12, a23*b24 - a24*b23)
for i in range(2,1000):
if p_almost % i == 0:
p_almost = p_almost // i
return p_almost
def c_sq_d(u1,u2,v1,v2,p):
"""
Helper function to computer c^2 d
"""
a1,b1 = a_and_b(u1,u2,v1,v2)
return a1 * pow(b1,-1,p) % p
def c(u1,u2,v1,v2,p):
"""
Compute c^2, d from two points and known modulus
"""
ccd = c_sq_d(u1,u2,v1,v2,p)
cc = (u1**2 + v1**2 - ccd*u1**2*v1**2) % p
d = ccd * pow(cc, -1, p) % p
return cc, d
P = (398011447251267732058427934569710020713094, 548950454294712661054528329798266699762662)
Q = (139255151342889674616838168412769112246165, 649791718379009629228240558980851356197207)
sP = (730393937659426993430595540476247076383331, 461597565155009635099537158476419433012710)
tQ = (500532897653416664117493978883484252869079, 620853965501593867437705135137758828401933)
u1, v1 = P
u2, v2 = Q
u3, v3 = sP
u4, v4 = tQ
p = find_modulus(u1,u2,u3,u4,v1,v2,v3,v4)
cc, d = c(u1,u2,v1,v2,p)
C = cc, d, p
assert ison(C, P)
assert ison(C, Q)
assert ison(C, sP)
assert ison(C, tQ)
print(f'Found curve parameters')
print(f'p = {p}')
print(f'c^2 = {cc}')
print(f'd = {d}')
'''
Found curve
p = 903968861315877429495243431349919213155709
c^2 = 495368774702871559312404847312353912297284
d = 540431316779988345188678880301417602675534
'''
换元映射
def to_elliptic_2(P, p, c, d):
Zp = Zmod(p)
x, y = P
x, y = Zp(x), Zp(y)
c, d = Zp(c), Zp(d)
x, y = x / c , y / c
d = d * c ** 4
# Montgomery
u = (1 + y) / (1 - y)
v = (2 * (1+y)) / (x * (1-y))
B = 1 / (1-d)
A = 2 * (1+d) / (1-d)
# Weierstrass
x = u / B + A / (3*B)
y = v / B
a = (3 - A**2) / (3 * B**2)
b = (2 * A**3 - 9*A) / (27 * B**3)
return (x, y), a, b
p = 903968861315877429495243431349919213155709
c = 662698094423288904843781932253259903384619
d = 540431316779988345188678880301417602675534
P = (398011447251267732058427934569710020713094, 548950454294712661054528329798266699762662)
Q = (139255151342889674616838168412769112246165, 649791718379009629228240558980851356197207)
S = (730393937659426993430595540476247076383331, 461597565155009635099537158476419433012710)
T = (500532897653416664117493978883484252869079, 620853965501593867437705135137758828401933)
P1, a, b = to_elliptic_2(P, p, c, d)
Q1, a, b = to_elliptic_2(Q, p, c, d)
S1, a, b = to_elliptic_2(S, p, c, d)
T1, a, b = to_elliptic_2(T, p, c, d)
EC = EllipticCurve(Zmod(p), [a, b])
P1 = EC(P1)
Q1 = EC(Q1)
S1 = EC(S1)
T1 = EC(T1)
s = P1.discrete_log(S1)
t = Q1.discrete_log(T1)
print(s)
print(t)
print(bytes.fromhex(hex(s)[2:])+bytes.fromhex(hex(t)[2:]))
'''
Share
37536673610448804706158374243358240879730
23292556478798423635566146051309141390899
b'nOt_50_3a5Y_Edw4rDs_3LlipT!c_CURv3'
'''
#CCTF{nOt_50_3a5Y_Edw4rDs_3LlipT!c_CURv3}

浙公网安备 33010602011771号