NNDL 神经网络与深度学习 第3章 线性模型(上)——学习笔记
现在我们才算正式开始学习 神经网络与深度学习 的内容

线性模型
线性模型(Linear Model)是机器学习中应用最广泛的模型,指通过样本特征的线性组合来进行预测的模型.给定一个 𝐷 维样本 𝒙 = [𝑥1, ⋯ , 𝑥𝐷]T,其线性组合函数为:

我们先以典型的线性模型——线性回归来讲解
线性回归(Linear Regression)
回归 (Regression)
回归问题的输入 x 为 𝐷 维向量,输出 y 为 一个连续变量。主要表示的是求解 x,y之间的映射关系。
模型
线性回归的模型为:

b 为什么叫偏置,因为如果没有 b 整个模型其实是过原点的。而我们可以通过方法将偏置消除掉,那么我们就要介绍 增广权重向量 和 增广特征向量(如下图):

通过增广向量可以将线性回归的偏置消除
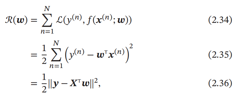
经验风险最小化(ERM)
经验风险
上一章我们介绍到,平方损失函数适合于预测标签 y 为实数值的任务中,而线性回归预测标签 y 为连续实数值,因此平方损失函数非常合适衡量真实标签和预测标签之间的差异。所以我们可以定义训练集 D 上的经验风险为:

其中最后一个式子,是我们对其进行的简化:
其中 𝒚 = [𝑦(1), ⋯ , 𝑦(𝑁)]T ∈ ℝ𝑁 是由所有样本的真实标签组成的列向量。
而 𝑿 ∈ ℝ(𝐷+1)×𝑁 是由所有样本的输入特征 𝒙(1), ⋯ , 𝒙(𝑁) 组成的矩阵:

风险最小化
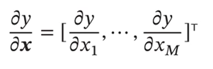
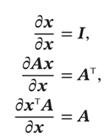
我们得到了经验风险的式子,那么我们需要对其进行最小化,这里就需要涉及求矩阵偏导的基础知识。
矩阵微积分
标量关于向量的偏导数:

向量关于向量的偏导数:

向量函数及其导数:

求解
风险函数 ℛ(𝒘) 是关于 𝒘 的凸函数,其对 𝒘 的偏导数为:


这种求解线性回归参数的方法也叫最小二乘法(Least Square Method,LSM)
结构风险最小化
结构风险
最小二乘法的基本要求是各个特征之间要互相独立,保证 \(𝑿𝑿^T\) 可逆。但即使 \(𝑿𝑿^T\) 可逆,如果特征之间有较大的多重共线性(Multicollinearity),也会使得 \(𝑿𝑿^T\) 的逆在数值上无法准确计算。数据集 \(𝑿\) 上一些小的扰动就会导致 \({{(𝑿𝑿^T)}^{−1}}\) 发生大的改变,进而使得最小二乘法的计算变得很不稳定。于是提出了岭回归(Ridge Regression),加上一个常数 \(𝜆\) 使得 \((𝑿𝑿^T + 𝜆𝐼)\) 满秩,即其行列式不为 \(0\) 得到:

岭回归的解 \(𝒘^∗\) 可以看作结构风险最小化准则下的最小二乘法估计,其目标函数可以写为

线性回归的概率视角
基本概念
-
概率(Probability):一个随机事件发生的可能性大小,为0到1之间的实数。
-
随机变量(Random Variable):比如随机掷一个骰子,得到的点数就可以看成一个随机变量X,其取值为{1,2,3,4,5,6}。
-
概率分布(Probability Distribution):一个随机变量 \(X\) 取每种可能值的概率。
- \({P(X = x_i) = p(x_i)}\) \({\forall{i}\in{\{1,...,n\}}}\)
- 满足 \(\sum\limits_{i=1}^{n}p(x_i) = 1\), \({p(x_i)\geqslant0}\),\({\forall{i}\in{\{1,...,n\}}}\)
-
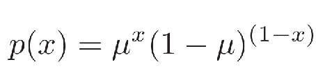
伯努利分布(Bernoulli Distribution):在一次试验中,事件A出现的概率为µ,不出现的概率为1 − µ。若用变量X 表示事件A出现的次数,则X 的取值为0和1,其相应的分布为:

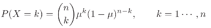
- 二项分布(Binomial Distribution):在n次伯努利分布中,若以变量X 表示事件A出现的次数,则X 的取值为 \(\{0,… ,n\}\),分布为:

二项式系数,表示从n个元素中取出k个元素而不考虑其顺序的组合的总数。
- 连续随机变量 𝑌 的概率分布一般用概率密度函数( Probability Density Function , PDF )p(x) 来描述。

- 高斯分布(Gaussian Distribution):统计学上又叫正态分布,高斯函数是正态分布的密度函数,分布为:


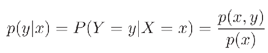
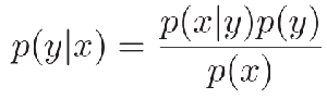
- 贝叶斯公式:两个条件概率p(y|x)和p(x|y)之间的关系:


最大似然估计
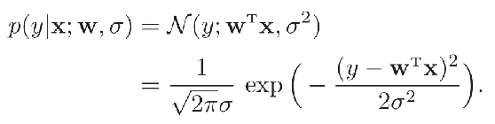
从概率的角度来看线性回归,本来标签 \({y = f(x;w)}\),但是我们加入一个噪声\({\varepsilon\sim{N(0,\sigma^2)}}\),那么\({y = f(x;w)+\varepsilon}\),我们就可以将 \(y\) 看作一个随机变量,其服从以均值为\(f(x;w) = w^Tx\),方差为 \(σ^2\) 的高斯分布。


有了概率模型之后,我们就需要求解模型参数,我们引入了似然这个概念。
似然
似然函数是关于统计模型 \({p(x;w)}\) 的参数 \(w\) 的函数。
- \(w\) 固定时,我们称 \({p(x;w)}\) 为概率,它描述固定参数 \(w\) 时,随机变量 \(x\) 的分布情况。
- \(w\) 变动时,我们称 \({p(x;w)}\) 为似然,它描述已知随机变量 \(x\) 时,不同参数 \(w\) 对其分布的影响。
机器学习一般是求解 \(w\) ,所以提出了似然,它其实和概率只是变量不同,研究对象不同。
线性回归中的似然
参数w在训练集D上的似然函数(Likelihood)为:

机器学习都假设数据独立同分布的。
最大似然估计(Maximum Likelihood Estimate,MLE)
定义了似然函数,我们还需要一个方法来优化参数 \(w\)。即是指找到一组参数 \(w\) 使得似然函数 \(p(y|X;w,σ)\) 最大。也就是给定 \(x\) 找到一个 \(w\) ,让 \(y\) 的正确概率最大。
由于概率一般都比较小,所以进行了一定的对数处理。然后得到解,神奇的发现其实就是最小二乘法的解。


贝叶斯学习
我们用似然函数,将 \(w\) 作为研究对象,来求解它。但实际上 \(w\) 和 \(x\) 都是随机变量,于是我们使用贝叶斯学习,将两个都看成随机变量来研究。它的目标是,给定一组观测数据 \(X\) 求参数 \(w\) 的分布 \(p(w|X)\),\(p(w|X)\) 也称为后验分布(posterior)
于是我们得到了,他们之间的关系。

最大后验估计(Maximum A Posterior Estimate,MAP)
找到一个 \(w\) 使得 后验最大。

总结
我们可以发现,平方误差角度和概率角度,它们其实都是等价的。


浙公网安备 33010602011771号