CS229:局部加权回归与逻辑斯谛回归
当数据的规律不能很好的用直线拟合,我们使用局部加权回归来处理各种其他拟合方式。
参数学习与非参数学习
参数学习:参数是固定的,只需要通过学习确定即可
非参数学习:参数不确定,需要保持改变,通常参数数目与数据规模线性相关。(对大规模数据不太友好)
对某个训练集提出假设的方式:
线性回归:使θ适应为成本函数最小的参数值。成本函数中所有训练集的权值相同。
局部加权回归:集中注意力在预测点周围的训练集,而对其他值给予较小的权值。性质数较少。
修正成本函数为:

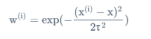
其中wi是每个训练组的权重,由此公式给出:

可以看出,离当前预测值越近的训练组,具有越高的权值。最远的则接近于0。其中的τ是带宽,影响着选取主要数据的宽度。
使用平方误差的原因:概率解释
假设目标变量取值和输入值之间存在如下等量关系:

其中的ε代表随机误差向量,服从以下规律:

从而意味着存在如下等量关系:

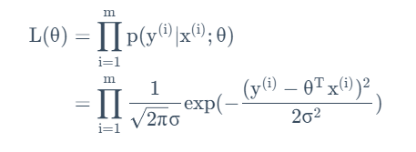
其中θ是参数,但不是随机变量。当我们将θ视为自变量时,这一等量关系将被称为一个似然函数,描述的是对xi,yi的某种给定分布,参数取值的可能。改写为如下形式:

根据极大似然法,我们只需要通过类似求导的方法来找到最有可能的参数取值,便证明了这一参数是最有可能取得的,自然是与事实情况符合的最好的,与成本函数的初衷不谋而合。对上述函数的对数求导得,对该函数取得最大值即等价为原成本函数取最小值。

从而给出了选择最小二乘法的原因。
分类问题:线性回归表现不好,决策边界很容易受某些极端训练数据影响。
逻辑回归:改变假设函数的形式:

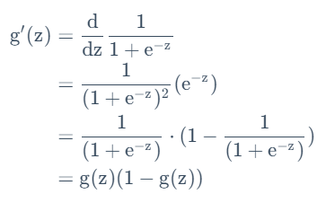
这个函数叫做逻辑函数(Logistic Function)

它的导数具有如下性质:

同样采取最大似然法推成本函数
根据0-1分布和取对数得:

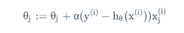
以此作为成本函数。不同的是,此时希望使该函数值最大,为此我们应用梯度上升法,对该函数求偏导来确定更新规则:

从而得到的更新规则为:

可以看出来,形式与LMS方法中的更新模式是类似的,只不过假设的形式不同。实际上,对这种无局部最优,有统一思路为广义线性回归。
逻辑回归没有法方程。
牛顿法:寻找方程根(在此处即一阶导数为0,即取得成本函数 最大值)
在预测点求切线,迭代为切线和横轴的交点。

精度值二次收敛,故而结果十分迅速。
但是在过高维度的问题中,牛顿法的矩阵开销将会变得非常巨大。

浙公网安备 33010602011771号