组合数学相关
二项式反演
若有两个长度均为\(n\)的数列\(f\),\(g\),满足
\[g_m=\sum_{i=0}^m\dbinom{m}{i}f_i
\]
则有
\[f_m=\sum_{i=0}^m(-1)^{m-i}\dbinom{m}{i}g_i
\]
用途:有时对于较难求出的\(f\),可利用其性质先求出\(g\),进而较为简单的求出\(f\)
至少形式(一般用的多)
若
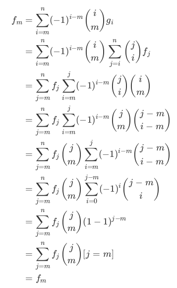
\[g_m=\sum_{i=m}^{n}\dbinom{m}{i}f_i
\]
就有
\[f_m=\sum_{i=m}^n(-1)^{i-m}\dbinom{m}{i}g_i
\]
对第二个证明:(直接嫖学长的)

简单例题:
Bill的挑战
当时想了半天,把它换成至少然后反演一下随便切
范德蒙恒等式
\[C_{m+n}^k=\sum_{i=0}^mC_{m}^i\times C_{n}^{k-i}
\]
作用:化简式子
特别说明:当求和项大于\(m\)时也成立,因为多出来的组合数不合法贡献为\(0\)
剩下各种反演咕了,因为根本不会
予明日所有失败者 赋万千不灭颂歌

浙公网安备 33010602011771号