Acwing 数论打卡(2)
873. 欧拉函数
https://www.acwing.com/video/298/
欧拉函数定义有f(x)=n 表示1到x中与x互质的数有n个

#include <iostream>
#include<algorithm>
#include<cstdio>
#include<vector>
#include<queue>
#include<stack>
#include<cstring>
using namespace std;
int fun(int x){
int res=x;
for(int i=2;i<=x/i;i++){
if(x%i==0){
res=res/i*(i-1);//先除后乘 避免数据溢出
while(x%i==0) x/=i;
}
}
if(x>1) res=res/x*(x-1);
return res;
}
int main(){
int n;
cin>>n;
while(n--){
int a;
scanf("%d",&a);
cout<<fun(a)<<endl;
}
return 0;
}
// freopen("testdata.in", "r", stdin);
874. 筛法求欧拉函数
https://www.acwing.com/problem/content/876/
#include <iostream>
using namespace std;
typedef long long LL;
const int N = 1000010;
int primes[N], cnt;
int euler[N];
bool st[N];
void get_eulers(int n)
{
euler[1] = 1;
for (int i = 2; i <= n; i ++ )
{
if (!st[i])
{
primes[cnt ++ ] = i;
//如果p是素数 那么欧拉函数值为p-1
euler[i] = i - 1;
}
for (int j = 0; primes[j] <= n / i; j ++ )
{
int t = primes[j] * i;
st[t] = true;
if (i % primes[j] == 0)
{
euler[t] = euler[i] * primes[j];
//因为pj是i的一个质因数 所以pj*i的质因数和i的质因数完全一样
//欧拉函数f(n)=n*(1-1/p1)---(1-1/pn);
//f(i)=i*(1-1/p1)---(1-1/pn);
//f(pj*i)=pj*i*(1-1/p1)---(1-1/pn);
//由于p1-pn完全相同 所以有f(pj*i)=pj*f(i);
break;
}
//i%pj!=0
//i*pj比i多了一个pj质因数
euler[t] = euler[i] * (primes[j] - 1);
}
}
}
int main()
{
int n;
cin >> n;
get_eulers(n);
LL res = 0;
for (int i = 1; i <= n; i ++ ) res += euler[i];
cout << res << endl;
return 0;
}
875. 快速幂
https://www.acwing.com/problem/content/877/
#include <iostream>
#include<algorithm>
#include<cstdio>
#include<vector>
#include<queue>
#include<stack>
#include<cstring>
using namespace std;
int n;
int a,b,p;
//a的b次方%p
long long fun(int a,int b,int p){
long long ans=1;
long long temp=a;
while(b){
if(b&1) ans=ans*temp%p;
temp=temp*temp%(long long )p;
b>>=1;
}
return ans;
}
int main(){
cin>>n;
while(n--){
scanf("%d%d%d",&a,&b,&p);
printf("%lld\n",fun(a,b,p));
}
return 0;
}
// freopen("testdata.in", "r", stdin);
876. 快速幂求逆元
https://www.acwing.com/problem/content/878/

乘法逆元简单来说就是对于一个数b,找到一个数x。有b*x同余与1%p 则x为b在1%p条件下的逆元。
题目条件b与p互质。 由费马定理有b的p-1次方 同余与1%p.
所以在这种条件下b的逆元就是b的p-2次方。
#include <iostream>
#include<algorithm>
#include<cstdio>
#include<vector>
#include<queue>
#include<stack>
#include<cstring>
using namespace std;
int n;
int a,b,p;
//a的b次方%p
long long fun(int a,int b,int p){
long long ans=1;
long long temp=a;
while(b){
if(b&1) ans=ans*temp%p;
temp=temp*temp%(long long )p;
b>>=1;
}
return ans;
}
int main(){
cin>>n;
while(n--){
scanf("%d%d",&b,&p);
long long res=fun(b,p-2,p);
if(b%p) cout<<res<<endl;
else puts("impossible");
}
return 0;
}
// freopen("testdata.in", "r", stdin);
AcWing 877. 扩展欧几里得算法
https://www.acwing.com/activity/content/problem/content/946/1/
#include <iostream>
#include<algorithm>
#include<cstdio>
#include<vector>
#include<queue>
#include<stack>
#include<cstring>
using namespace std;
int exgcd(int a,int b,int &x,int &y){
if(b==0){
//gcd(a,b) b==0 return a
//有ax+by=a; x=1 y规定为0
x=1;
y=0;
return a;
}
else {
int d=exgcd(b,a%b,y,x);
y-=a/b*x;
return d;
}
}
int main(){
int n;
cin>>n;
while(n--){
int a,b;
cin>>a>>b;
int x,y;
exgcd(a,b,x,y);
printf("%d %d\n",x,y);
}
return 0;
}
// freopen("testdata.in", "r", stdin);

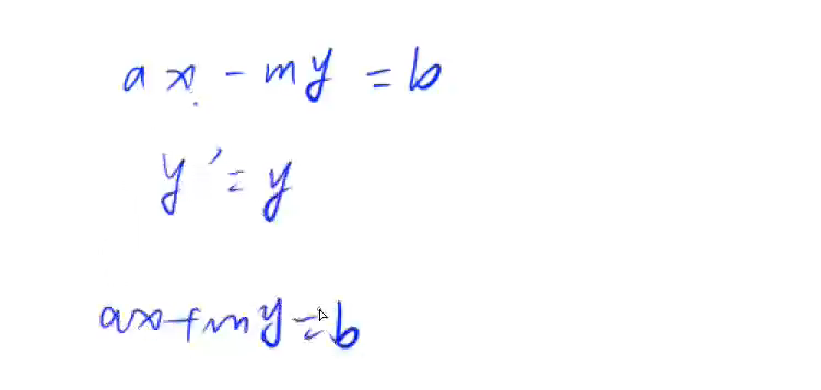
根据上图推出y-=a/b*x
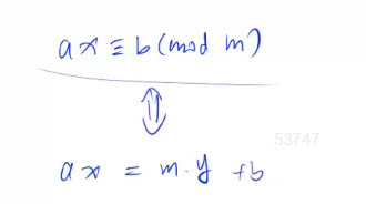
878. 线性同余方程
https://www.acwing.com/problem/content/880/

ax除m 余数是b 可以转化为ax=y倍的m+b

吧符号取到y里面,就变成扩展欧几里得了 当然前提是b是gcd(a,m)的倍数
#include <iostream>
#include<algorithm>
#include<cstdio>
#include<vector>
#include<queue>
#include<stack>
#include<cstring>
using namespace std;
int exgcd(int a,int b,int &x,int &y){
if(b==0){
//gcd(a,b) b==0 return a
//有ax+by=a; x=1 y规定为0
x=1;
y=0;
return a;
}
else {
int d=exgcd(b,a%b,y,x);
y-=a/b*x;
return d;
}
}
int main(){
int n;
cin>>n;
while(n--){
int a,b,m;
cin>>a>>b>>m;
int x,y;
int d=exgcd(a,m,x,y);
if(b%d!=0) puts("impossible");
else printf("%d\n",(long long )(b/d)*x%m);
}
return 0;
}
// freopen("testdata.in", "r", stdin);

浙公网安备 33010602011771号