栈&队列
单调栈:维护单调性,保证单调性维护最小/大弹出
- 主要是压栈和弹出的顺序性
![截屏2025-09-08 19.28.38]()
模版题P5788 :
点击查看代码
for(int i = n; i >= 1; -- i) {
while(!s.empty() && a[i] >= a[s.top()]) {//栈顶与当前比较,维护单调
s.pop();
}
b[i] = s.empty() ? 0 : s.top();//某些题可开记录数组
s.push(i);
}
栈中存下标维护了位置信息,通过a[s.top()]取值,题目要求输出下标
P2866
思路:同理P5788,维护将序,输入>栈顶(弹出),b[i] = i - 1 - s.top()(看到的最大距离 = 比我高元素的前一个元素即i-1 - 我的位置)
中缀表达式用栈转后缀表达式,后缀表达式用栈转表达式树
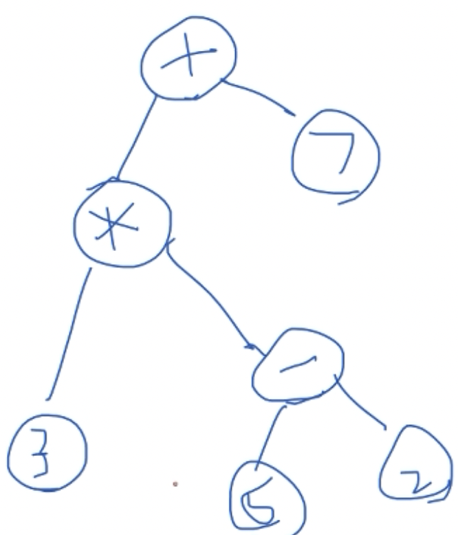
表达式树
如:
画一个加号,然后其右边连接7,它的左边连接3*(5-2)这一坨东西(先画一个乘号,连接执行它的元素,左边连3,右边连5-2(先写减号,然后连接其两个元素 ))
表达式树即由底向上算值

这坨东西即左边这坨+7,左边这坨即3乘上右边这坨(5 -2)

即只有叶节点为数,其他都为符号
表达式树对比栈求值好处:表达式可支持未知数
假设3*(5-x)+7,算出表达式值:
即不知道x多少,也要将x分析,则可用过表达式树(x为叶子节点),当值知道后代入即可
中缀转后缀: 维护运算符栈,有数直接输出,将预算符存到栈中维护
后缀表达式求值: 维护数栈,遇到运算符进行弹出运算再插入的过程
循环队列: 采用[下标%n]方法,将队列空间限制在一个区域内,解决空间被浪费的问题
这里采用&上什么东西-1(卡常写法),且要求MAXN一定是2的某次幂
const int MAXN = 1 << 20;//一定为2的某次幂
struct Queue {
int l, r, q[MAXN];
Queue(): l(1), r(0) {}
inline void push(int x) {
q[++ r & MAXN - 1] = x;//MAXN-1使得为011····111
}
inline void pop() {
++ l;
}
inline int front() {
return q[l & MAXN - 1];
}
inline bool size() {
return l <= r;
}
};
Queue Q;
int main() {
Q.push();//.pop()/.front()/.size()
return 0;
}
单调队列:滑动窗口:发现对于动态区间问题,某些元素一定不是解,则通过双端队列通过插入弹出维护单调性
//维护单调
if(!Q.empty() && i - k + 1 > Q.front())//已经脱离窗口,弹出
Q.pop_front();
while(!Q.empty() && a[Q.back()] >= a[i])//新插入<队尾,维护单调弹出
Q.pop_back();
通过比较新元素和back元素来维护单调性,从而优化题目
模拟版:
hh = 1, tt = 0;
for(int i = 1; i <= n; ++ i) {
if(hh <= tt && i - k + 1 > q[hh]) ++ hh;
while(hh <= tt && a[q[tt]] >= a[i]) -- tt;
q[++ tt] = i;
if(i >= k) cout << a[q[hh]] << ' ';
}

浙公网安备 33010602011771号