《非正交多址接入中的资源调度技术研究》——阅读笔记
题目:《非正交多址接入中的资源调度技术研究》
作者:闫继鹏
类型:北京邮电大学 硕士论文 
关键词:NOMA,用户选择,功率分配,频谱效率
第一章 绪论
- 多址接入概述
 多址接入:为了区分公共传输介质中的多个用户,需要给每个用户信号赋予不同的特征,
 不同特征的不同形式就是不同的多址技术。
 例:当建立多址接入的特征为传输信号的载波频率时,多址方式就为频分多址
 此外还有,时分多址、码分多址、空分多址
- 非正交多址技术(NOMA)的基本思想:
 在发送端主动引入干扰信息,将多用户信号融合在一起,采用非正交的方式发送;
 接收端对接收到的信号进行串型干扰删除(SIC),接收机正确解调。
- NOMA技术的本质,以接收机的复杂度换取频谱效率。
- NOMA的核心,利用多路复用的功率域/码域来支持同一个资源块中更多用户。
- NOMA技术可以主要分为两类:代码域+功率域
第二章 相关知识介绍
2.1非正交多址技术(NOMA)原理及特性
    
   
- BS基站
 UE用户设备
 假设:单个发射天线和接收天线,系统发射带宽为1HZ;
 基站想用户发送信号:xi(i=1,2);
 E[|xi|^2]=1;
 Pi为发射功率,
- 则NOMA下信号x1和x2在功率域叠加如下:![]() 
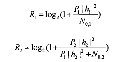
 在用户UEi接受信号可以表示为: ![]() 
- 接收端SCI解码的最佳顺序是,噪声和小区干扰功率归一化的信道增益递减的顺序,![]() ,简称为信道增益。 ,简称为信道增益。
 给定解码顺序,并假设任何用户都可以正确解码,当![]() 时,任何UEi用户都可以除去第j个用户的用户干扰。 时,任何UEi用户都可以除去第j个用户的用户干扰。
- 假设![]() ,则 ,则
 UE1不执行SIC
 UE2先对x2进行解码并从接收信号y1中减去其分量,然后对x1进行解码而不受x2的干扰。
 假设成功解码并且没有传输错误,用户UEi的吞吐量Ri可以表示为:![]() 
 由吞吐量的公式可以看出,每个用户的功率分配会影响用户的吞吐量性能,从而影响每个用户数据传输所使用的调制编码(MCS)方式。
 通过调整功率分配比例P1/P2,基站BS可以灵活控制每个用户的吞吐量,同时也优化系统的容量和用户公平性。
- NOMA与OMA对比
 α(0<α<1)Hz带宽分配给UE1
 (1-α)Hz带宽分配给UE2
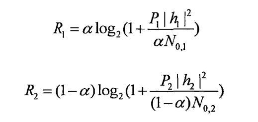
 则用户UEi的吞吐量Ri可以表示为![]() 
 当信增益差异较大时,与OMA相比NOMA的性能增益得到提升。 
 1.设:OAM系统中
 ![]() 分别为20dB和0dB 分别为20dB和0dB
 α=0.5
 P1=P2=1/2P
 则:OMA系统 R1=3.33bps R2=0.50bps
 2.设:NOAM系统中
 P1=1/5P P2=4/5P
 则:OMA系统 R1=4.39bps R2=0.74bps
- 
NOMA多址接入技术的特点 
 1.高频谱效率:NOMA允许许多个用户利用每个资源块RB(例:时间/频率)
 2. 公平性:弱用户分配更多的权力。
 NOMA保证用户在吞吐量和公平性之间的折中。
 3. 超高连接:NOMA利用非正交特性有效解决,5G系统数十亿智能设备的连接。
 4. 兼容性:鉴于SC和SIC技术的成熟,NOMA可以与现有的MA技术相结合。
 5. 灵活性:与其他现有的NOMA技术(MUSA、PDMA、SCMA)相比,NOMA设计的复杂度低。
2.3 NOMA接收端的关键技术(SIC)
- 为了解决NOMA在发送端引入的干扰信息,即多址干扰(MAI)问题。NOMA在接收端采用连续干扰删除(SIC)技术解决此问题。
- 
靠近基站(BS)的用户和远离(BS)的用户形成组或集群。前者和后者的用户分别被称为强用户和弱用户。 基站预计将向弱用户传送比强用户更高的功率,如果它们共享相同的无线资源块,则 
 在弱用户处接收到的强用户信号的SNR > 在强用户处接收到的强用户信号的SNR。
 弱用户能够使用SIC技术删除它所造成的多址干扰,并且将删除多址干扰的信号解码给强用户。
 对于强用户来说,可以在不使用SIC,的情况下解码得到期望的信号,此时多址干扰己经被消除。
- 
SIC基本原理 
 逐级解调,每解调出一个用户的同时删除该用户造成的多址干扰,直到消除所有的多址干扰为止。
- SIC解调步骤
 首先,通过用户的功率检测,具有最强信号的用户首先被检测到,解调得到该信号。
 然后,最强的用户重新编码并调制其信号,从复合信号中减去该信号造成的多址干扰。
 之后,检测信号强度排在第二位的信号,实际上在消除最强信号的干扰后它己成为最强的信号,执行同样的过程。
 最后,当只有一个信号被检测到的时候,此时对最弱的用户进行信息解码时不受任何其他信号干扰。
- 
1.采用SIC接收机会提高接收机的复杂度,要求接收机具备更强的信号处理能力。 
 2.在每一级处理中都会产生一定的时延,可能会影响系统的性能。
 3.SIC接收顺序是根据用户的信号功率决定的,但在实际的信号传输过程中,用户的功率是发生变化的,需要SIC接收机能够一直对用户功率进行排序以决定SIC接收顺序。
2.4 NOMA发送端的关键技术(叠加编码、功率分配技术、用户选择技术)
- 
叠加编码 
 以较低的速率给较差信道条件相关的用户编码消息,然后将具有较好信道条件的用户的信号叠加在其上。
- 功率分配技术
 在NOMA系统中规定,信道条件较差的用户需要分配较多的功率,信道条件较好的用户需要分配较少的功率,这保证了NOMA系统中用户之间的公平性。
 NOMA功率分配与公平性问题的研究贡献概括如下:
 1.有序功率分配
 2.最大-最小速率公平性功率分配
 3.比例公平功率分配
- 用户选择技术
 在NOMA系统中,涉及多个用户的配对选择问题,需要制定合理的规则来实现用户对的最佳配对。
 1.轮询算法
 认为小区内所有用户的调度优先级都是一样的,将资源块周期性地分配给每一个用户而不管用户的实际信道状态,保证每隔一段时间用户会被周期性地调用。
 轮询算法追求公平最大化,保证每个用户公平性一致,但降低系统的吞吐量。
 2.最大载干比算法
 在每一个调度时隙中,计算所有用户的载干比(瞬时传输速率)并且对其进行排序,
 在调度的选择上采用用户载干比最大的用户,该用户同时也是此时信道状态最好的用户。
 这样系统实现了始终调用信道状态好的用户,使系统吞吐量达到最大,保证系统效率最高。![]() 
 但信道质量不好的用户,比如小区边缘用户会长时间得不到调度,一直分配不到资源,完全保证不了用户之间的公平性。
         3.比例公平(PF)调度算法
            在最大化整个单元的吞吐量和最大限度地提高用户之间的公平性之间达成折中。
            NOMA系统下,每个子载波都可能复用多个用户,所以PF也要相应选择用户集合,
            为此,调度器选择在给定时隙中子载波上最大化PF度量的用户集合。
            但是在选择最佳用,户集合时往往需要遍历所有用户集合,互相比较从中选取PF度量最大的用户集,
             当用户数目比较大时,会造成较高的计算复杂度。 
             依据比例公平调度准则,最大化在子载波S上的用户集合 度量值如下:
度量值如下:
              
               用户k在子载波上可达到的速率 
               用户k在时隙t以前平均可达速率 (实时跟新)
(实时跟新)  
               用户前一个时隙总吞吐量 
              这样比例公平调度算法通过分子与分母的权值,实现系统吞吐量和用户间公平性的折中。
              当一个用户信道条件好时,用户实时速率较高,此时分子权值大,总的比例公平度量值大,
              拥有较高的优先级,体现比例公平准则的效率性。
              当一个用户由于其信道条件差一段时间得不到调用时,其一段时间累积的平均速率变小,
              其分母权值变小,同样总的比例公平度量值变大,
              赋予该用户得到调用的权利,体现比例公平准则。
2.5 MCS选择技术
- 自适应调制和编码方案(MCS),时信号传输适应时变无线信道。
- 
由于信道条件变化迅速,如果MCS没有足够快地改变以适应信道条件,则信道吞吐量可能会丢失。 
2.6 S-PF算法与D-PF算法
- S-PF算法与D-PF算法可以优化用户配对过程,逐一选择两个配对用户减少比例公平比较次数,从而降低计算复杂度。
- S-PF算法
 第一步:根据比例公平度量值去选择第一个用户u1
 第二步:根据用户对吞吐量最大原则选择配对用户u2
 以优化总的吞吐量为目标
- D-PF算法
 第一步:根据比例公平度量值去选择第一个用户u1
 第二步:根据用户对总比例公平度量值最大原则选择配对用户u2
 总比例公平度为优化目标
- 用户的公平性和系统吞吐量相互矛盾
第三章  非正交多址接入中功率分配算法研究
3.1引言
- 本文研究一种在NOMA系统下提高系统容量的改进型功率分配方法。牺牲部分公平性的情况下显著提高用户的传输速率,从而提高系统容量。
 本文改进一种基于用户数目的比例公平调度算法。
 子载波之间进行迭代注水算法,实现子载波之间非等功率分配,子载波内的用户进行FTPA功率分配,以此提升系统性能。
 针对复杂环境下小区用户数量改变的情况,本文改进传统比例公平调度技术,在现有算法上增加了一个调节因子。
3.2系统模型
- 发送端
 SISO—NOMA下行链路系统
 总带宽:B
 子载波总数:S
 小区内用户数:K
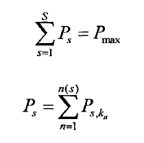
 基站最大功率:Pmax
 子载波上用户集合:Us={k1,k2,...kn,...kn(s)}
 n(s)子载波s上调度的非正交用户的数目
- 接收端(SIC处理)
 解码顺序:用户信道增益的升序
 用户信道归一化表示:![]() 
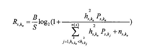
 子载波S 上用户kn和基站之间的信道增益:![]() 
 子载波S上用户kn接收到的高斯噪声的平均功率+小区间干扰: ![]() 
- 
假设接收端成功解码没有SIC误差传播,小区间干扰为随机白噪声, 用户kn在子载波上的可达速率为: ![]() (信道增大的信道才会产生干扰) (信道增大的信道才会产生干扰)
 且![]() 
3.3算法介绍
3.3.1用户选择算法
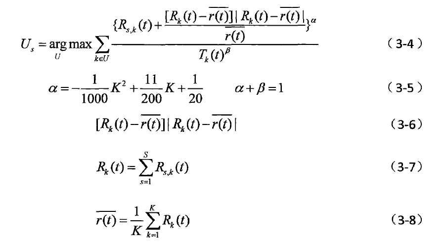
- 基于用户数目的比例公平调度算法![]() ![]() 
- 小区内用户数量发生变化时,公式(3-5)起到调节比例公平等式分子分母权重的作用。
 在用户数量增加时,α增加,分子权重变大,分母权重变小,
 用户实时速率占比大于用户平均速率,比例公平等式更加倾向于效率,
 因此,可提高系统吞吐量,使算法在用户数目发生改变时可以追求更高的频谱效率。
- 
公式(3-6)用来改变用户间实时速率分布。 
 比平均传输速率高的用户此项的数值 > 比平均传输速率低的用户,
 分子权重变大,优先级相对更高,
 因此,可以保证信道状态较好的用户,被调度的优先级提高,
 信道状态较差的用户,被调度的优先级降低。
- 
公式(3-4)实现在用户数量增加的情况下提髙系统吞吐量的目的, 
 同时兼顾了小区内用户数量变化与用户实时速率分布两方面。
3.3.2功率分配算法
- 用户选择算法在NOMA系统下的性能,需要结合功率分配算法来实现NOMA系统下的用户间功率分配算法。
子载波间功率分配算法
- 分配阶段i已经分配的子载波集合:![]()  阶段i的注水线: ![]() 
 用户k^*的信道增益:![]() 
- 迭代注水分配总发射功率来实现吞吐量的最大化:
            
- 分配过程中,总发生功率Pmax在每个阶段,根据公式(3-10) ,在分配的子载波之中分配:
         
- 在分配过程中,每当调度器分配一个新的子载波时(Snew),总功率将被重新分配:
- 注水线更新条件:
            
- 注水线更新
 总发射功率Pmax在分配阶段i+1的分配:![]() 
 在总发射功率一定的情况下,在分配阶段i+1的注水线: ![]() 
 其中N(i)代表集合SA(i)的子载波数目。
- 
当阶段(i+1)注水线确定后,分配给用户结合U的功率: ![]() 
- 
之后采用子载波内功率分配技术,即FTPA将功率分(3-14)配给集合U中的所有用户, 
 用公式(3-4)计算每个用户集合U的比例公平度量值,从中选出最佳的用户集合。
子载波内功率分配算法
   

 
                    
                     
                    
                 
                    
                


 ,简称为信道增益。
,简称为信道增益。 时,任何UEi用户都可以除去第j个用户的用户干扰。
时,任何UEi用户都可以除去第j个用户的用户干扰。 ,则
,则

 分别为20dB和0dB
分别为20dB和0dB



 (信道增大的信道才会产生干扰)
(信道增大的信道才会产生干扰)


 





 
                
            
         
         浙公网安备 33010602011771号
浙公网安备 33010602011771号